17372  documentos en la base de datos
Convenios por Federación
♦ FICA
♦ FeSMC
♦ FeSP
 

CONVENIO COLECTIVO DE LA UNIÓN TEMPORAL DE EMPRESAS PONIENTE ALMERIENSE DE FOMENTO DE CONSTRUCCIONES Y CONTRATAS, S.A. Y BEFESA GESTIÓN DE RESIDUOS INDUSTRIALES, S.L. PARA LOS AÑOS 2013, 2014 Y 2015

 

Visto el texto del Convenio Colectivo de Trabajo de la empresa UTE PONIENTE ALMERIENSE, CENTRO DE TRABAJO DE GÁDOR para los años 2013-2015, Código Convenio 04001683012006, suscrito con fecha 16 de octubre de 2013 de una parte por el gerente de la UTE y dos asesores por la parte empresarial y de otra por el comité de empresa como representación legal de los trabajadores y asesores de la FSP-UGT y CSI-CSIF por la parte social, de conformidad con el Art. 90 del Real Decreto Legislativo 1/1995, de 24 de marzo, por el que se aprueba el Texto Refundido de la Ley del Estatuto de los Trabajadores, el Real Boletín Oficial de la Provincia de Almería. Edición Oficial en formato electrónico de conformidad con el art. 6 de su Reglamento de Gestión (publicado en B.O.P. nº240 de 16/12/2009)

Firmado de conformidad con el art. 13 del Reglamento Regulador de la Administración Electrónica de la Diputación Provincial de Almería (B.O.P. nº 57 de 24/03/2009)

Decreto 713/2010, de 28 de mayo, sobre registro y depósito de Convenios Colectivos de Trabajo, conforme el Art. 63.1.8 del Estatuto de Autonomía de Andalucía, Decreto 149/2012, de 5 de junio, por el que se regula la estructura orgánica de la Consejería de Economía, Innovación, Ciencia y Empleo y Decreto 342/2012, de 31 de julio, por el que se regula la organización territorial provincial de la Administración de la Junta de Andalucía.

Esta Delegación Territorial de Economía, Innovación, Ciencia y Empleo.

 

A C U E R D A

 

PRIMERO.- Proceder a la inscripción del citado Acuerdo en el correspondiente Registro de Convenios y Acuerdos Colectivos de Trabajo con funcionamiento a través de medios electrónicos de este Centro Directivo, con notificación a las partes integrantes de la Comisión Negociadora.

 

SEGUNDO.- Disponer su publicación en el Boletín Oficial de la Provincia de Almería.

Almería, 11 de noviembre de 2013.

 

LA DELEGADA TERRITORIAL DE ECONOMÍA, INNOVACIÓN, CIENCIA Y EMPLEO, Adriana Valverde Tamayo.

 

CONVENIO COLECTIVO DE LA UNIÓN TEMPORAL DE EMPRESAS PONIENTE ALMERIENSE DE FOMENTO DE CONSTRUCCIONES Y CONTRATAS, S.A. Y BEFESA GESTIÓN DE RESIDUOS INDUSTRIALES, S.L. PARA LOS AÑOS 2013, 2014 Y 2015

 

Capítulo I. Condiciones Generales

 

Artículo 1. Partes Signatarias

Son partes firmantes del presente Convenio Colectivo:

Por la parte empresarial:

D. Oscar Porcel Sánchez (Gerente de la UTE)

D. Amadeo Mediavilla López (Asesor)

D. Florencio Sánchez Martínez (Asesor)

Por la parte de la representación legal de los trabajadores:

D. Juan Antonio Esteban Díaz (Presidente del Comité de Empresa)

D. Juan Luis Ortega Marín (Secretario del Comité de Empresa)

D. Francisco Iván Perez Camacho (Comité de Empresa)

D. José Miguel Romero Gómiz (Comité de Empresa)

D. Manuel Trujillo Herrada (Comité de Empresa)

D. Francisco Cazorla Marín (Asesor FSP-U.G.T.)

D. José Mauricio Belastegui Simón (Asesor FSP-U.G.T.)

D. Miguel Ángel Sánchez Garrido (Asesor CSI-CSIF)

Ambas partes se reconocen como interlocutores, legitimados para negociar el presente Convenio, de conformidad a los términos contenidos en el Artículo 87.1 del Texto Refundido de la Ley del Estatuto de los Trabajadores.

 

Artículo 2. Ámbito de Aplicación

El presente Convenio Colectivo regulará las relaciones laborales de la Unión Temporal de Empresas Fomento de Construcciones y Contratas, S.A. y Befesa Gestión de Residuos Industriales, S.L. con sus trabajadores en los servicios de explotación de la planta de tratamiento, eliminación y reciclaje de residuos y planta de transferencias que la empresa tiene concertado en la comarca del Poniente Almeriense. Este Convenio Colectivo será igualmente de aplicación a los trabajadores de la UTE Selectiva Poniente.

 

Artículo 3. Duración y Vigencia

1. La duración y vigencia será de tres años y se extenderá desde el 1 de enero de 2013 hasta el 31 de diciembre de 2015.

 

Artículo 4. Denuncia

El presente Convenio Colectivo se considerará automáticamente denunciado una vez terminada la vigencia prevista en el artículo anterior, sin necesidad de preaviso.

Transcurridos dos años desde la denuncia automática del convenio colectivo, sin que se haya acordado un nuevo convenio, éste perderá su vigencia y se aplicará el convenio colectivo de ámbito nacional de aplicación de conformidad con lo establecido en el art. 86.3 del Estatuto de los Trabajadores.

 

Artículo 5. Absorción y Compensación

Los aumentos de retribuciones que pudieran producirse en el futuro por disposiciones legales sólo serán aplicables cuando, considerados globalmente en computo anual, superen los aquí pactados. En caso contrario serán compensados y absorbidos manteniéndose el presente convenio en sus propios términos.

 

Artículo 6. Comisión Mixta Paritaria

1. Ambas partes negociadoras acuerdan establecer una Comisión Paritaria Mixta que estará compuesta por tres Representantes de la parte empresarial y tres de la parte social. Ambas partes podrán contar con Asesores.

2. La Comisión se reunirá a petición de cualquiera de las partes previa comunicación a la otra con siete días de antelación máxima de la fecha, el lugar y la hora de reunión, así como de su motivo, y quedará válidamente constituida.

3. Sus funciones serán las siguientes:

- Interpretación de la totalidad de los artículos de este convenio.

- Vigilancia y cumplimiento de lo pactado.

- Estudio y valoración de nuevas disposiciones legales de promulgasen posterior a la entrada en vigor del presente convenio, que pueda afectar a su contenido.

- Cuantas funciones tiendan a la mayor eficacia del presente convenio y una mayor solución interna de los conflictos.

 

Artículo 7. Interpretación y Aplicación del Convenio Colectivo.

1. Ambas partes convienen que cualquier duda de contenido o de vigencia que pueda surgir sobre la interpretación o aplicación de este Convenio Colectivo, sea sometida, antes de establecer reclamación ante los órganos competentes, a informe previo de la Comisión Mixta Paritaria.

2. La Comisión Mixta Paritaria deberá emitir su informe en el plazo máximo de siete días, a partir del día siguiente en que fuera solicitado.

3. Cualquier conflicto colectivo que se suscite en el ámbito de aplicación o interpretación del presente convenio, requerirá para su consideración de licitud, el previo conocimiento de la comisión mixta paritaria, la cual intentara llegar a una solución. De no ser así se enviará al SERCLA para que actúe de mediador.

4. Las funciones de la Comisión no obstruirán en ningún caso, el libre acceso a la jurisdicción competente prevista en la ley.

 

Capítulo II. Condiciones de Trabajo

 

Artículo 8. Jornada de Trabajo

La duración de la jornada laboral será de cuarenta horas semanales que en cómputo anual supone una jornada anual efectiva de 1.811,50 horas.

Cada trabajador que realice jornada continuada dispondrá diariamente de veinte minutos para el bocadillo, siendo computable como jornada efectiva de trabajo.

Todos los años la Dirección de la Empresa confeccionará el Calendario Laboral del que entregará copia a la Representación Legal de los Trabajadores.

 

Artículo 8 Bis. Jornada de Trabajo - Flexibilidad Coyuntural

En situaciones excepcionales, imprevistas o sobrevenidas y con el fin de adecuar la capacidad productiva a la carga de trabajo existente en cada momento, se reconoce a la Empresa la facultad de modificar el horario de los trabajadores, a través de las medidas previstas en los Apartados a) y b) siguientes.

Para ello, la Empresa, previa información a la Representación Legal de los Trabajadores en el centro de trabajo, preavisará con un mínimo de 5 días naturales de antelación a los trabajadores individualmente afectos y día en caso de averías urgentes.

Sin perjuicio de la variación del tiempo de trabajo que resulte por aplicación del presente, el trabajador percibirá mensualmente la retribución íntegra que le hubiera correspondido de no haberse producido la citada variación del tiempo de trabajo.

En las dos medidas citadas más adelante, y para el supuesto de que la regularización prevista en cada una de ellas no pueda realizarse dentro del año natural de que se trate, aquella no deberá superar el primer cuatrimestre del año siguiente. Si llegado el final del periodo de regularización el trabajador debiera horas a la empresa, las mismas se tendrán por trabajadas a todos los efectos sin que proceda descuento salarial alguno.

Por el contrario, si el trabajador tuviera a su favor saldo de horas, el exceso le será abonado, bajo el concepto Regularización Flexibilidad Coyuntural, con el salario vigente en el Convenio en la fecha de abono en un importe equivalente al 100% del valor de la hora extraordinaria por cada hora que resulte a su favor.

Las medidas de flexibilidad coyuntural que se acuerdan son:

a) Flexibilidad horaria.

Consistente en la facultad de la Empresa de prolongar o reducir la jornada del trabajador hasta en 2 horas diarias y hasta un máximo de 27 jornadas laborales anuales, es decir, hasta un total de 54 horas, todo ello respetando la jornada de trabajo anual.

En ningún caso se superarán las 30 horas al mes por trabajador en la aplicación de esta media.

De igual manera, la Empresa regularizará la prolongación o reducción aplicada, dentro de las jornadas laborales semanales del trabajador, hasta en 2 horas diarias.

b) Bolsa Horaria.

La Empresa dispondrá de una bolsa horaria de 126 horas/año por trabajador, todo ello respetando la jornada de trabajo anual.

Hasta el límite de dichas horas la Empresa está facultada para realizar una variación de los días en que está distribuida la jornada ordinaria del trabajador establecida en el Calendario Laboral o modificar el número de jornadas laborales del trabajador, avisando con 5 días de antelación, salvo pacto contrario entre empresa y trabajador.

La ampliación o reducción de jornadas laborales para regularizar la variación o modificación de jornadas laborales deberá realizarse a razón de jornadas completas.

Serán días inhábiles para la aplicación de la medida acordada en el presente Apartado b) el 24 y el 31 de diciembre. La Comisión Paritaria del Convenio colectivo decidirá, en su caso respecto a la consideración de días inhábiles para la aplicación de la media respecto a fechas de especial significado en la locales de Gádor.

Cuando en aplicación del presente Apartado b), deba trabajarse en días establecidos en el Calendario Laboral como Festivo para el trabajador afectado, se le abonará, adicionalmente, en el mes que trabaje el valor del Plus Festivo.

 

Artículo 9. Fiestas y Día del Patrón

Se considerarán días festivos los doce señalados como Fiestas Nacionales, las dos Fiestas Locales y el día 3 de noviembre, día de San Martín de Porres, Patrón del Sector. En el caso de que la festividad de San Martín de Porres coincida con un domingo se atrasará al lunes inmediato siguiente.

 

Artículo 10. Vacaciones

A. Todo el personal adscrito al presente convenio disfrutará de 30 días naturales de vacaciones, o la parte proporcional que les corresponda en función al tiempo trabajado.

B. Las vacaciones se retribuirán como si de un mes de trabajo efectivo se tratara: Salario Base, Antigüedad, en su caso, Plus de Responsabilidad, en su caso, Plus Tóxico-Penoso y Nocturnidad proporcionalmente al tiempo trabajado en el año.

C. Durante el primer trimestre se acordará entre la Empresa y el Comité de Empresa el cuadrante de vacaciones para el año el cual será rotativo para los siguientes años.

D. Los trabajadores que deseen, previo acuerdo entre ellos y con la aceptación por parte de la empresa podrán permutar sus vacaciones siempre comunicándolo con un mes de antelación de que vaya a ocurrir el hecho.

 

Artículo 11. Permisos y Licencias

El personal afectado a este convenio tendrá derecho a los siguientes permisos y licencias.

Licencias: El personal tendrá derecho a disfrutar de las licencias retribuidas siguientes:

a) Por matrimonio: Quince días naturales.

b) Por alumbramiento de cónyuge: Tres días naturales, en caso de cesárea se aumentarían dos días más. Si el alumbramiento se produjera fuera de la provincia la licencia sería de cinco días.

c) Por fallecimiento o enfermedad grave del cónyuge, ascendientes o descendientes directos: Tres días naturales; si se produjera el hecho fuera de la provincia sería de cinco días naturales.

d) Por fallecimiento de hermanos o hermanos políticos: Dos días naturales.

e) Por el tiempo indispensable para el cumplimiento de un deber publico o personal.

f) Para la realización de un examen con título homologado de aquellos trabajadores que realicen estudios para la obtención

de un título, que se acreditará con certificado del centro.

g) Por matrimonio de hijos o hermano: Un día.

h) Por traslado de domicilio: Dos días.

i) Las trabajadoras, por lactancia de un hijo menor de nueve meses, tendrán derecho a una hora de ausencia del trabajo, que podrán dividir en dos fracciones. La duración del permiso se incrementará proporcionalmente en los casos de parto múltiple.

La mujer, por su voluntad, podrá sustituir este derecho por una reducción de su jornada en media hora con la misma finalidad

o acumularlo en jornadas completas en los términos previstos en la negociación colectiva o en el acuerdo que llegue con el empresario respetando, en su caso, lo establecido en aquella.

Este permiso podrá ser disfrutado indistintamente por la madre o el padre en caso de que ambos trabajen.

j) En los casos de nacimientos de hijos prematuros o que, por cualquier causa, deban permanecer hospitalizados a continuación del parto, la madre o el padre tendrán derecho a ausentarse del trabajo durante una hora. Asimismo, tendrán derecho a reducir su jornada de trabajo hasta un máximo de dos horas, con la disminución proporcional del salario. Para el disfrute de este permiso se estará a lo previsto en el apartado l) del presente artículo.

k) Quien por razones de guarda legal tenga a su cuidado directo algún menor de ocho años o una persona con discapacidad física, psíquica o sensorial, que no desempeñe una actividad retribuida, tendrá derecho a una reducción de la jornada de trabajo, con la disminución proporcional del salario entre, al menos, un octavo y un máximo de la mitad de la duración de aquélla.

Tendrá el mismo derecho quien precise encargarse del cuidado directo de un familiar, hasta el segundo grado de consanguinidad o afinidad, que por razones de edad, accidente o enfermedad no pueda valerse por sí mismo, y que no desempeñe actividad retribuida.

La reducción de jornada contemplada en el presente apartado constituye un derecho individual de los trabajadores, hombres o mujeres. No obstante, si dos o más trabajadores de la misma empresa generasen este derecho por el mismo sujeto causante, el empresario podrá limitar su ejercicio simultáneo por razones justificadas de funcionamiento de la empresa.

l) La concreción horaria y la determinación del período de disfrute del permiso de lactancia y de la reducción de jornada, previstos en los apartados i) y j) de este artículo, corresponderá al trabajador, dentro de su jornada ordinaria. El trabajador deberá preavisar al empresario con quince días de antelación la fecha en que se reincorporará a su jornada ordinaria.

Las discrepancias surgidas entre empresario y trabajador sobre la concreción horaria y la determinación de los períodos de disfrute previstos en los apartados j y k de este artículo serán resueltas por la jurisdicción competente a través del procedimiento establecido en el artículo 138 bis de la Ley de Procedimiento Laboral.

m) La trabajadora víctima de violencia de género tendrá derecho, para hacer efectiva su protección o su derecho a la asistencia social integral, a la reducción de la jornada de trabajo con disminución proporcional del salario o a la reordenación del tiempo de trabajo, a través de la adaptación del horario, de la aplicación del horario flexible o de otras formas de ordenación del tiempo de trabajo que se utilicen en la empresa.

n) Para el año 2014 todos los trabajadores dispondrán de un día de asuntos propios y a partir del año 2015 dos días de asuntos propios.

Tendrán que solicitarlo con una semana de antelación, excepto casos excepcionales debidamente justificados, no pudiéndose acumular a más del 5% de la plantilla.

Estos días de asuntos propios no se podrán hacerlos coincidir con días festivos, vacaciones, puentes y permisos. En los demás casos no previsto en este artículo se estará a previsto en la legislación vigente.

ñ) En los demás casos no previsto en este artículo se estará a previsto en la legislación vigente.

La referencia que en los apartados b) y c) se hace a la esposa y cónyuge respectivamente, se entenderán hechos, así mismo, a uniones de parejas de hecho registradas legalmente siempre que medie convivencia efectiva con el trabajador/a. Las licencias se entenderán siempre en el caso de familiares consanguíneos o afines.

Permisos Especiales: La empresa concederá al personal que tenga más de un año de antigüedad en la empresa y siempre que lo solicite y por causa justificada, hasta treinta días de excedencia pactada sin sueldo y sin cotización a la Seguridad Social, siempre que las necesidades del servicio lo permitan y sin que coincidan más de un trabajador. Los permisos especiales deberán ser solicitados con una antelación mínima de quince días salvo casos de urgente necesidad.

 

Artículo 12. Excedencias

En atención a la facultad contemplada en el apartado 6 del artículo 46 del Estatuto de los Trabajadores, se procede en el presente texto articulado a la regulación de un supuesto específico de excedencia, sin perjuicio del régimen general previsto en el citado precepto para la excedencia voluntaria y la forzosa que también serán de aplicación para los casos y supuestos en ellas previstos.

Los trabajadores podrán solicitar la excedencia especial y tendrán derecho a ella, siempre que cumplan y reúnan las siguientes condiciones:

1.- Hacer la solicitud con dos meses de antelación.

2.- Tener acreditado, como mínimo, un año de antigüedad.

3.- Que el periodo de excedencia no sea inferior a un año ni superior a cinco años.

Al acabar el periodo de excedencia, el trabajador excedente voluntario conserva sólo un derecho preferente al reingreso en las vacantes de igual o similar categoría a la suya que hubiera o se produjera en la empresa, siempre que la solicitud de reincorporación se curse dos meses antes del vencimiento de la excedencia.

 

Artículo 13. Supuestos de Jubilación

1. Jubilación

Tendrán derecho a jubilarse, en su modalidad contributiva, los trabajadores que, además de la general exigida en el apartado 1 del artículo 124 de la LGSS reúnan las condiciones establecidas en el art. 161 de la LGSS en concreto:

a) Haber cumplido 67 años de edad, o 65 años cuando se acrediten 38 años y 6 meses de cotización, sin que se tenga en cuenta la parte proporcional correspondiente a las pagas extraordinarias. (Para el cómputo de los años y meses de cotización se tomarán años y meses completos, sin que se equiparen a un año o un mes las fracciones de los mismos).

b) Tener cubierto un período mínimo de cotización de 15 años, de los cuales al menos 2 deberán estar comprendidos dentro de los 15 años inmediatamente anteriores al momento de causar el derecho. A efectos del cómputo de los años cotizados no se tendrá en cuenta la parte proporcional correspondiente por pagas extraordinarias.

 

Aplicación Paulatina de la Edad De Jubilación y Años De Cotización

Las edades de jubilación y el período de cotización a que se refiere la letra a) del apartado 1 del artículo 161 de la LGSS se aplicarán de forma gradual, en los términos que resultan del siguiente cuadro:

 

Año

Períodos Cotizados

Edad Exigida

2013

35 años y 3 meses o más.

65 años.

 

Menos de 35 años y 3 meses.

65 años y 1 mes.

2014

35 años y 6 meses o más.

65 años.

 

Menos de 35 años y 6 meses.

65 años y 2 meses.

2015

35 años y 9 meses o más.

65 años.

 

Menos de 35 años y 9 meses.

65 años y 3 meses.

2016

36 o más años.

65 años.

 

Menos de 36 años.

65 años y 4 meses.

2017

36 años y 3 meses o más.

65 años.

 

Menos de 36 años y 3 meses.

65 años y 5 meses.

2018

36 años y 6 meses o más.

65 años.

 

Menos de 36 años y 6 meses.

65 años y 6 meses.

2019

36 años y 9 meses o más.

65 años.

 

Menos de 36 años y 9 meses.

65 años y 8 meses.

2020

37 o más años.

65 años.

 

Menos de 37 años.

65 años y 10 meses.

2021

37 años y 3 meses o más.

65 años.

 

Menos de 37 años y 3 meses.

66 años.

2022

37 años y 6 meses o más.

65 años.

 

Menos de 37 años y 6 meses.

66 años y 2 meses.

2023

37 años y 9 meses o más.

65 años.

 

Menos de 37 años y 9 meses.

66 años y 4 meses.

2024

38 o más años.

65 años.

 

Menos de 38 años.

66 años y 6 meses.

2025

38 años y 3 meses o más.

65 años.

 

Menos de 38 años y 3 meses.

66 años y 8 meses.

2026

38 años y 3 meses o más.

65 años.

 

Menos de 38 años y 3 meses.

66 años y 10 meses.

A partir del año 2027

38 años y 6 meses o más.

65 años.

 

Menos de 38 años y 6 meses.

67 años.

 

 

Aplicación de los porcentajes a atribuir a los años cotizados para la pensión de jubilación.

Los porcentajes a que se refiere el número 2º del apartado 1 del artículo 163 de la LGSS serán sustituidos por los siguientes:

Durante los años 2013 a 2019. Por cada mes adicional de cotización entre los meses 1 y 163, el 0,21 por 100 y por los 83 meses siguientes, el 0,19 por 100.

Durante los años 2020 a 2022. Por cada mes adicional de cotización entre los meses 1 y 106, el 0,21 por 100 y por los 146 meses siguientes, el 0,19 por 100.

Durante los años 2023 a 2026. Por cada mes adicional de cotización entre los meses 1 y 49, el 0,21 por 100 y por los 209 meses siguientes, el 0,19 por 100.

A partir del año 2027. Por cada mes adicional de cotización entre los meses 1 y 248, el 0,19 por 100 y por los 16 meses siguientes, el 0,18 por 100.

 

2. Jubilación Parcial

1.- Los trabajadores que hayan cumplido la edad a que se refiere el artículo 161.1.a) y la disposición transitoria vigésima y reúnan los requisitos para causar derecho a la pensión de jubilación, siempre que se produzca una reducción de su jornada de trabajo comprendida entre un mínimo del 25 por 100 y un máximo del 50 por 100, podrán acceder a la jubilación parcial sin necesidad de la celebración simultánea de un contrato de relevo. Los porcentajes indicados se entenderán referidos a la jornada de un trabajador a tiempo completo comparable.

2. Asimismo, siempre que con carácter simultáneo se celebre un contrato de relevo en los términos previstos en el artículo 12.7 del Estatuto de los Trabajadores, los trabajadores a tiempo completo podrán acceder a la jubilación parcial cuando reúnan los siguientes requisitos:

a) Haber cumplido las siguientes edades sin que, a tales efectos, se tengan en cuenta las bonificaciones o anticipaciones de la edad de jubilación que pudieran ser de aplicación al interesado.

 

Año del hecho causante

Edad exigida según períodos cotizados en el momento del hecho causante

Edad exigida con 33 años cotizados en el momento del hecho causante

2013

61 y 1 mes

33 años y 3 meses o más

61 y 2 meses

2014

61 y 2 meses

33 años y 6 meses o más

61 y 4 meses

2015

61 y 3 meses

33 años y 9 meses o más

61 y 6 meses

2016

61 y 4 meses

34 años o más

61 y 8 meses

2017

61 y 5 meses

34 años y 3 meses o más

61 y 10 meses

2018

61 y 6 meses

34 años y 6 meses o más

62 años

2019

61 y 8 meses

34 años y 9 meses o más

62 y 4 meses

2020

61 y 10 meses

35 años o más

62 y 8 meses

2021

62 años

35 años y 3 meses o más

63 años

2022

62 y 2 meses

35 años y 6 meses o más

63 y 4 meses

2023

62 y 4 meses

35 años y 9 meses o más

63 y 8 meses

2024

62 y 6 meses

36 años o más

64 años

 

 

Año del hecho causante

Edad exigida según períodos cotizados en el momento del hecho causante

Edad exigida con 33 años cotizados en el momento del hecho causante

2025

62 y 8 meses

36 años y 3 meses o más

64 y 4 meses

2026

62 y 10 meses

36 años y 3 meses o más

64 y 8 meses

2027 y siguientes

63 años

36 años y 6 meses

65 años

 

La escala de edades indicada no será de aplicación a los trabajadores a que se refiere la norma 2ª del apartado 1 de la disposición transitoria tercera de la LGSS, a quienes se exigirá haber cumplido la edad de 60 años sin que, a estos efectos, se tengan en cuenta las bonificaciones o anticipaciones de la edad de jubilación que pudieran ser de aplicación a los interesados.

b) Acreditar un período de antigüedad en la empresa de, al menos, 6 años inmediatamente anteriores a la fecha de la jubilación parcial. A tal efecto se computará la antigüedad acreditada en la empresa anterior si ha mediado una sucesión de empresa en los términos previstos en el artículo 44 del Estatuto de los Trabajadores, o en empresas pertenecientes al mismo grupo.

c) Que la reducción de su jornada de trabajo se halle comprendida entre un mínimo de un 25 por 100 y un máximo del 50 por 100, o del 75 por 100 para los supuestos en que el trabajador relevista sea contratado a jornada completa mediante un contrato de duración indefinida, siempre que se acrediten el resto de los requisitos. Dichos porcentajes se entenderán referidos a la jornada de un trabajador a tiempo completo comparable.

 

Jornada residual

Las horas de trabajo correspondientes a la jornada residual serán realizadas en jornadas completas; pudiendo desarrollarse previo acuerdo con la empresa de la siguiente forma:

Sistema de prestación acumulada al inicio de la jubilación parcial, quedando el trabajador exonerado de acudir nuevamente a la empresa una vez realizada su prestación laboral equivalente al cómputo total de la jornada residual acordada Sistema de prestación periódica como máximo en un determinado periodo del año, a requerimiento de la empresa. Tal requerimiento deberá realizarse al trabajador jubilado parcialmente con una antelación mínima de un mes a la fecha en que deba producirse su incorporación.

Durante los periodos de tiempo en los que el trabajador jubilado parcialmente preste sus servicios, su jornada diaria será la establecida por el convenio colectivo aplicable para un trabajador a tiempo completo.

d) Acreditar un período de cotización de 33 años en la fecha del hecho causante de la jubilación parcial, sin que a estos efectos se tenga en cuenta la parte proporcional correspondiente por pagas extraordinarias. A estos exclusivos efectos, solo se computará el período de prestación del servicio militar obligatorio o de la prestación social sustitutoria, con el límite máximo de un año.

En el supuesto de personas con discapacidad en grado igual o superior al 33 por 100, el período de cotización exigido será de 25 años.

e) Que exista una correspondencia entre las bases de cotización del trabajador relevista y del jubilado parcial, de modo que la correspondiente al trabajador relevista no podrá ser inferior al 65 por 100 del promedio de las bases de cotización correspondientes a los seis últimos meses del período de base reguladora de la pensión de jubilación parcial.

f) Los contratos de relevo que se establezcan como consecuencia de una jubilación parcial tendrán, como mínimo, una duración igual al tiempo que le falte al trabajador sustituido para alcanzar la edad de jubilación a que se refiere el artículo 161.1

a) y la disposición transitoria vigésima.

En los casos a que se refiere la letra c), en que el contrato de relevo sea de carácter indefinido y a tiempo completo, deberá mantenerse al menos durante una duración igual al resultado de sumar dos años al tiempo que le falte al trabajador sustituido para alcanzar la edad de jubilación a que se refiere el artículo 161.1 a) y la disposición transitoria vigésima. En el supuesto de que el contrato se extinga antes de alcanzar la duración mínima indicada, el empresario estará obligado a celebrar un nuevo contrato en los mismos términos del extinguido, por el tiempo restante. En caso de incumplimiento por parte del empresario de las condiciones establecidas en el presente artículo en materia de contrato de relevo, será responsable del reintegro de la pensión que haya percibido el pensionista a tiempo parcial.

g) Sin perjuicio de la reducción de jornada a que se refiere la letra c), durante el período de disfrute de la jubilación parcial, empresa y trabajador cotizarán por la base de cotización que, en su caso, hubiese correspondido de seguir trabajando éste a jornada completa.

3. El disfrute de la pensión de jubilación parcial en ambos supuestos será compatible con un puesto de trabajo a tiempo parcial.

Las previsiones contenidas en el presente acuerdo en materia de jubilación parcial/contrato de relevo quedan asimismo condicionadas a que el Instituto Nacional de la Seguridad Social (INSS) reconozca al trabajador interesado la percepción de la correspondiente pensión de jubilación parcial

SISTEMA TRANSITORIO JUBILACIÓN PARCIAL ANTICIPADA.- Las personas que hayan accedido a la pensión de jubilación parcial con anterioridad a 1 de abril de 2013, seguirá siendo de aplicación la regulación vigente antes de la entrada en vigor de la nueva Ley.

 

Artículo 14. Reducción de Jornada por Motivos Familiares

Reducción de jornada por guarda legal de menores, disminuidos físicos o psíquicos, y para el cuidado directo de un familiar necesitado de cuidados especiales: Será de aplicación lo establecido en el apartado 5 del artículo 37 del Estatuto de los Trabajadores, complementado con:

- La reducción por guarda legal de un menor podrá utilizarse hasta que alcance la edad de diez años.

- La relación de parentesco requerida para el cuidado de familiares se entenderá de aplicación también a las parejas de hecho.

 

Artículo 15. Material de Trabajo

La empresa se compromete a dotar a los trabajadores del material más apropiado en cada momento, para que puedan desarrollar su labor de una manera eficiente. Así mismo, los trabajadores se comprometen a su cuidado y conservación.

 

Artículo 16. Incapacidad Temporal

1. En las situaciones de incapacidad temporal derivadas de enfermedad común o accidente no laboral, la empresa abonará, como complemento a la prestación económica por dichas contingencias, la cantidad necesaria para que el trabajador beneficiario de la prestación perciba:

El 85% del salario base y parte proporcional de pagas extraordinarias, en el periodo comprendido entre el 4º y 20º día ambos inclusive.

El 100% del salario base y parte proporcional de pagas extraordinarias, a partir del 21º día de la baja y mientras dure el proceso.

En estos supuestos, las empresas abonarán a los trabajadores afectados, el cincuenta por ciento del salario base y parte proporcional de pagas extraordinarias, durante los tres primeros días de dicha situación.

2. Cuando la situación obedezca a supuestos de enfermedad común o accidente no laboral en los que sea precisa la hospitalización y mientras dure dicha circunstancia, se complementará hasta el 100% del salario base, y parte proporcional de pagas extraordinarias desde el primer día. En el supuesto de accidente laboral tendrá idéntico tratamiento.

 

Capítulo III. Prevención de Riesgos Laborales

 

Artículo 17. Prevención de Riesgos Laborales

En materia de Prevención de Riesgos Laborales, dado que es un elemento reservado según el artículo 5 a la negociación colectiva del convenio general del sector, publicado en el Boletín Oficial del Estado de fecha 30 de julio de 2013, se estará a lo establecido en los artículos 68 y 69 del convenio nacional y el resto de la legislación prevista.

 

Artículo 18. Ropa de Trabajo

La empresa proveerá a sus trabajadores de equipos de ropa y calzados completos considerando un mínimo de dos equipos al año, obligándose al trabajador a su adecuada conservación.

La uniformidad de invierno se entregará en la primera quincena de octubre y la de verano en la primera quincena de abril.

 

Capítulo IV. Mejoras sociales no Salariales

 

Artículo 19. Seguro de Vida e Invalidez

La empresa suscribirá una póliza de Seguro de Vida Colectivo para la cobertura de las siguientes contingencias derivadas de accidente de trabajo:

1. Muerte.

2. Gran Invalidez.

3. Incapacidad Permanente Absoluta.

4. Incapacidad Permanente Total.

El importe de la indemnización para el trabajador afectado será de 60.000,00 euros.

 

Capítulo V. Derechos Sindicales

 

Artículo 20. De los Representantes de los Trabajadores

Los Comités de Empresa, los Delegados de Personal y los Delegados Sindicales tendrán las facultades, derechos y obligaciones señalados para los mismos por la Ley Orgánica de Libertad Sindical y Estatuto de los Trabajadores.

 

Artículo 21. Cuotas Sindicales

La empresa, previa solicitud por escrito, descontará la cuota sindical de la nómina de aquellos trabajadores que lo deseen.

 

Artículo 22. Altas y Bajas en la Empresa

Se facilitará al Comité de Empresa o en su caso a los delegados de personal el modelo de los contratos de trabajo que se usen en la empresa.

 

Capítulo VI. Régimen Disciplinario

 

Artículo 23. Régimen Disciplinario

En materia de régimen disciplinario, dado que es un elemento reservado según el artículo 5 a la negociación colectiva del convenio general del sector publicado en el

 

• Facultad sancionadora.

• Graduación de las faltas.

• Faltas leves.

• Faltas graves.

• Faltas muy graves.

• Prescripción de las infracciones y faltas.

• Sanciones-Aplicación.

 

Capítulo VII. Condiciones Económicas y Estructura Salarial

 

Artículo 24. Condiciones económicas para los años 2013, 2014 y 2015.

Para los años 2013 y 2014 quedan congelados los salarios, siendo las tablas salariales para los dos años las reflejadas en el Anexo I.

Para el año 2015 se acuerda que durante los primeros quince naturales se reunirá la Comisión Paritaria del presente Convenio

Colectivo para elaborar las Tablas Salariales de dicho año con la fórmula de cálculo que se recoge en el Artículo 37 de este texto (Incrementos salariales).

El pago de la nomina mensual se efectuara él último día hábil de cada mes, cuando este coincida en festivo o en sábado se efectuara el día anterior. La entrega de la nómina será dentro de los seis primeros días de cada mes.

Los trabajadores, previa notificación a la empresa de un mes podrán elegir cualquier entidad bancaria para el ingreso de su nomina, aportando junto a la solicitud los datos relativos a su cuenta bancaria.

 

Artículo 25. Salario Base

El Salario Base del personal afecto a este Convenio Colectivo será el que para cada Categoría se establece en la Tabla Salarial anexa.

 

Artículo 26. Plus Tóxico, Penoso y Peligroso

El personal afecto este Convenio Colectivo percibirá un complemento de puesto de trabajo denominado Plus Tóxico, Penoso

y Peligroso, abonándose un importe equivalente al 20% del Salario Base y será el recogido en las Tablas Salariales anexas.

 

Artículo 27. Plus de Responsabilidad

El personal afecto a este convenio y dependiendo de la Categoría Profesional percibirá un plus de responsabilidad siendo su importe el que fi gura en las Tabla Salarial anexas para cada año.

 

Artículo 28. Complemento de Productividad Variable

Para el año 2013 se establece un concepto salarial denominado Complemento de Productividad Variable cuyo abono se efectuará en función del rendimiento individual asociado al absentismo individual de cada trabajador. El importe en cómputo anual de este Complemento para los años 2013 y 2014 es de 944,77€, que es el que figura recogido en la Tabla Salarial anexas del año 2012.

El año 2013 su pago se efectuará en la nómina del mes de enero del año natural siguiente a todos los trabajadores incluidos en el ámbito funcional y personal de este Convenio Colectivo, conforme a los criterios que siguen:

• Si el absentismo individual en el año de que se trate no supera el número de 6 días, se abonará el 100% del importe total devengado individualmente en el año de referencia.

• Si el absentismo individual en el año de que se trate se comprende entre 7 y 8 días, se abonará el 80% del importe total devengado individualmente en el año de referencia.

• Si el absentismo individual en el año de que se trate se comprende entre 9 y 11 días, se abonará el 75% del importe total devengado individualmente en el año de referencia.

• Si el absentismo individual en el año de que se trate es superior a 11 días, se abonará el 60% del importe total devengado individualmente en el año de referencia.

A los únicos efectos de determinar los porcentajes de absentismo a los que se hace referencia en el párrafo anterior, no computarán:

• Las vacaciones anuales.

• Las ausencias por incapacidad laboral transitoria derivadas de accidente de trabajo.

• Las situaciones de maternidad y paternidad.

• Las ausencias por utilización del crédito horario sindical de la Representación Legal de los Trabajadores.

• Las ausencias por fallecimiento de familiares hasta el segundo grado por consanguinidad.

• Las ausencias por permiso por matrimonio.

Con las cantidades resultantes de las detracciones efectuadas a lo largo del año se constituirá una Bolsa cuyo remanente será repartido en el mes de enero del año natural siguiente entre todos los trabajadores que individualmente, no hayan generado absentismo superior a 7 días en el año natural anterior.

Esta Bolsa se repartirá conforme al siguiente criterio:

• El 50% del remanente se repartirá entre aquellos trabajadores con dos o menos días de absentismo.

• El 30% del remanente se repartirá entre aquellos trabajadores con absentismo comprendido entre 3 y 4 días.

• El 20% del remanente se repartirá entre aquellos trabajadores con absentismo comprendido entre 5 y 6 días.

El abono del Complemento de Productividad Variable correspondiente al año 2013 se efectuará en la nómina del mes de enero del año 2014.

Efectuados los cálculos de absentismo de cada año, conforme a los criterios antedichos, la empresa informará a la Representación Legal de los Trabajadores de los importes que procedan abonarse en cada caso manteniéndose a tal efecto una reunión entre ambas Representaciones. En dicha reunión se podrá proponer el pago del Complemento en situaciones excepcionales no contempladas en el presente acuerdo; toda excepción al presente sistema de pago requerirá la conformidad de la empresa y de la Representación Legal de los Trabajadores.

Para el año 2014 y sucesivos su pago se efectuará en la nómina del mes de enero del año natural siguiente a todos los trabajadores incluidos en el ámbito funcional y personal de este Convenio Colectivo, conforme a los criterios que siguen:

• Si el absentismo individual en el año de que se trate no supera el número de 6 días, se abonará el 100% del importe total devengado individualmente en el año de referencia.

• Si el absentismo individual en el año de que se trate se comprende entre 7 y 15 días, se abonará el 80% del importe total devengado individualmente en el año de referencia.

• Si el absentismo individual en el año de que se trate se comprende entre 16 y 20 días, se abonará el 60% del importe total devengado individualmente en el año de referencia.

• Si el absentismo individual en el año de que se trate es superior a 20 días, no tendrá derecho a la percepción de este complemento.

• A los únicos efectos de determinar los porcentajes de absentismo a los que se hace referencia en el párrafo anterior, no computarán:

• Las vacaciones anuales.

• Las ausencias por incapacidad laboral transitoria derivadas de accidente de trabajo.

• Las situaciones de maternidad y paternidad.

• Las ausencias por utilización del crédito horario sindical de la Representación Legal de los Trabajadores.

• Las ausencias por fallecimiento de familiares hasta el segundo grado por consanguinidad.

• Las ausencias por permiso por matrimonio.

• Los días de asuntos propios.

Desaparece la bolsa de las detracciones que había hasta el año 2013.

En el mes de enero se mantendrá una reunión si alguna de las partes lo solicita, para proponer el pago del Complemento en situaciones excepcionales no contempladas en el presente acuerdo; toda excepción al presente sistema de pago requerirá la conformidad de la empresa y de la Representación Legal de los Trabajadores.

Artículo 29. Plus de Nocturnidad

Los trabajadores que realicen su jornada de trabajo en horario nocturno (entre las 22:00H y las 06:00H), recibirán un Plus de Nocturnidad. Su importe para las distintas Categorías Profesionales durante los años 2013 y 2014 son las reflejadas en la tabla salarial anexo I de cada año.

Este Plus se abonará por mes efectivamente trabajado en jornada nocturna, siendo proporcional su pago aquellos trabajadores que no presten sus servicios en dicha jornada de forma habitual y la prestación sea ocasional.

 

Artículo 30. Antigüedad

Se establece un sistema de Antigüedad consistente en el abono de hasta un máximo de 5 Trienios. El pago de dicho Complemento Personal se comenzará a percibir a partir del mes siguiente al de su devengo.

El importe mensual de cada Trienio se fija para el año 2013 y 2014 en 26,58 €/mes y para el año 2015 en 26,98 €/mes.

 

Artículo 31. Trabajo en Domingos y Festivos

Los trabajadores que desarrollen su jornada en festivos percibirán un complemento salarial denominado Plus Festivo cuya cantidad se fija en 105,47 € por día trabajado para los años 2013 y 2014, y de 107,05 para el año 2015. Este Plus será de igual cuantía para todas las Categorías Profesionales.

Cuando los trabajadores presten su jornada de trabajo en domingo, disfrutarán de su descanso semanal cualquier otro día de la semana percibiendo como compensación el denominado Plus Retén, cuya cuantía se fija en 63,28 € por día trabajado para los años 2013 y 2014, y de 64,23 € para el año 2015. Este plus será de igual cuantía para todas las categorías profesionales.

Los servicios acordados en festivo según contrato adscrito a servicios públicos de inexcusable ejecución serán atendidos con carácter obligatorio. En todo caso, se establecerá un turno rotativo para su efectivo cumplimiento, la empresa cuidará de que la distribución de los turnos sea la más equitativa posible.

Se establecían los retenes contraincendios y mantenimiento que a continuación se detallan:

• Retén contraincendios para el vertedero, el cual estará formado por el personal del servicio de gestión de rechazos de planta y vertedero (a excepción de personal de guarda nocturna); dicho retén estaría compuesto por 3 equipos de 3 operarios cada uno, con rotación semanal, de tal forma que cada semana hubiera 1 equipo de 3 operarios de retén, con disponibilidad de lunes a domingo 24 h y que por dicha Disponibilidad la empresa pagaría a razón del equivalente económico de un retén semanal, 63,28 € para los años 2013 y 2014, y de 64,23 € para el año 2015.

• Retén de Mantenimiento compuesto por un operario de mantenimiento con disponibilidad de lunes a domingo 24 h y rotativo semanalmente, para las posibles contingencias que pudieran ocurrir. Por dicha disponibilidad la empresa pagaría a razón del equivalente económico de un retén semanal, 63,28 € para los años 2013 y 2014, y de 64,23 € para el año 2015. Dicho servicio será prestado por los mismos trabajadores que, hasta ahora, lo vienen efectuando con carácter voluntario.

 

Artículo 32. Horas Extraordinarias

De forma habitual no se harán horas extras, y serán voluntarias para el trabajador.

En caso de circunstancias excepcionales, no habituales y de fuerza mayor, cualquier trabajador tuviera que extender su jornada más allá de la duración normal de ésta, el tiempo que tuviera que trabajar se pagará a razón de 10,50 euros/hora durante los años 2013 y 2014 y de 10,66 €/hora para el año 2015.

Si las horas extras coincidiesen en domingo y festivos se pagara a razón de 12,91 euros/hora durante los años 2013 y 2014 y de 13,10 €/hora para el año 2015.

 

Artículo 33. Plus de Transporte

Todo el personal afectado por este Convenio Colectivo percibirá un Plus extra-salarial denominado Plus de Transporte Su importe para los años 2013 y2014 es el recogido en las Tablas Salariales anexas para cada año.

 

Artículo 34. Desplazamientos y Dietas

Los desplazamientos a lugares de trabajo situados fuera del normal del trabajador y que no tengan calidad de traslado, de conformidad a los términos establecidos en el artículo 40 del Estatuto de los Trabajadores, devengarán, durante el año 2008 a favor de los trabajadores que los realicen una dieta diaria de:

A) Cuando efectúen allí una comida: 11,26 €

B) Si efectúan las dos comidas principales 23,44 €

C) Cuando tengan que comer y pernoctar fuera de la misma: 36,98 €

Estos desplazamientos compensados mediante dietas, pernoctando o no fuera del domicilio habitual del trabajador, no tendrán duración superior a 3 meses, transcurridos los cuales podrán tener carácter de traslado por necesidades del servicio si se dan las circunstancias reglamentarias establecidas y si aquellos desplazamientos lo fueran a una misma población durante dicho periodo de tiempo.

 

Artículo 35. Anticipos

El trabajador tendrá derecho a percibir, sin que llegue el día señalado para el pago, anticipos a cuenta del trabajo ya realizado.

Supuesta la existencia de necesidades graves, el Comité de Empresa solicitará de la Dirección el estudio de la concesión de un Anticipo Especial consistente en un anticipo de un importe no superior a 1.500,00 euros para su atención. Esta cantidad será devuelta en un período máximo de un año natural por el trabajador al que le sea concedido mediante descuentos en todas las pagas comprendidas en dicho año. No se concederán, simultáneamente, más de dos anticipos de esta naturaleza o, alternativamente, una cantidad máxima de 3.000,00 euros.

 

Artículo 36. Pagas Extraordinarias

Los trabajadores percibirán las siguientes pagas extraordinarias:

Paga Extraordinaria de Verano a razón de treinta días de Salario Base y Plus Tóxico Penoso y Peligroso. Se abonará entre los días 10 y 15 de junio.

Paga Extraordinaria de Navidad a razón de treinta días de Salario Base y Plus Tóxico Penoso y Peligroso. Se abonará entre los días 10 y 15 de diciembre.

Las dos Pagas Extraordinarias anteriormente mencionadas se devengaran semestralmente.

Quienes no presten los servicios durante todo el periodo en que se devengan las Pagas Extraordinarias tendrán derecho a percibir la parte proporcional que hayan devengado.

Supuesta la existencia de necesidades graves, el Comité de Empresa solicitará de la Dirección el estudio de la concesión de un Anticipo Especial consistente en un anticipo de un importe no superior a 1.500,00 euros para su atención. Esta cantidad será devuelta en un período máximo de un año natural por el trabajador al que le sea concedido mediante descuentos en todas las pagas comprendidas en dicho año. No se concederán, simultáneamente, más de dos anticipos de esta naturaleza o, alternativamente, una cantidad máxima de 3.000,00 euros

 

Artículo 37. Incrementos salariales para los años 2013, 2014 y 2015

Para los años 2013 y 2014 quedarán congelados los salarios. Para el año 2015 se establece un incremento salarial del 1,5% conforme al siguiente sistema de cálculo:

Se incrementará el 1,5% el precio de todos los conceptos salariales recogidos en la Tabla Salarial del año 2014 que se adjunta en el Anexo I del presente Convenio. El importe resultante en cada Categoría Salarial se multiplicará por el número de trabajadores en plantilla al 31 de diciembre de 2014, determinándose así una masa salarial del año 2014 por tales conceptos. La diferencia que resulte, se dividirá entre el número de trabajadores a la fecha expresada y se repartirá de forma lineal entre todos ellos, en la forma y bajo el concepto salarial que determine la Comisión de Seguimiento del Convenio.

 

Capítulo VIII. Clasificación del Personal

 

Artículo 38. Clasificación del Personal

En materia de clasificación del personal, dado que es un elemento reservado según el artículo 5 a la negociación colectiva del convenio general del sector se estará a lo establecido en los artículos 20 a 22 del convenio nacional que regulan:

• Clasificación profesional.

• Grupos profesionales.

• Grupo de técnicos.

• Grupo de mandos intermedios.

• Grupo de administrativos.

• Grupo de operarios.

• Definición de los grupos profesionales y de las funciones y/o especialidades profesionales integradas en los mismos.

 

Capítulo IX: Subrogación del Personal

 

Artículo 39. Subrogación del Personal

En materia de subrogación de personal, dado que es un elemento reservado según el artículo 5 a la negociación colectiva del convenio general del sector se estará a lo establecido en los artículos 49 a 52 del convenio nacional que regulan:

• Estabilidad en el empleo

• Subrogación del personal.

• Supuestos de agrupación o división de contratas.

• Documentos a facilitar por la saliente a la entrante.

 

Cláusula Adicional Primera.

En lo no previsto ni regulado en el presente Convenio Colectivo se estará a lo dispuesto en el Estatuto de los Trabajadores y demás legislación laboral vigente y en lo prevenido en el Convenio General del sector de limpieza pública, viaria, riegos, recogida, tratamiento y eliminación de residuos y limpieza y conservación de alcantarillado, publicado en el Boletín Oficial del Estado de fecha 30 de julio de 2013.

 

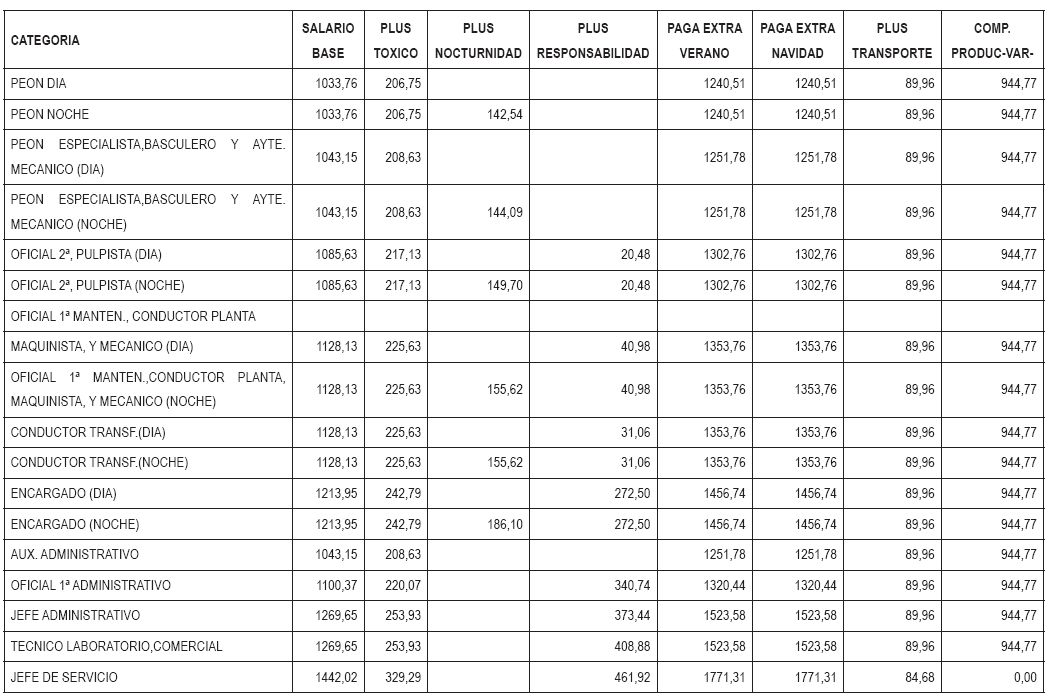
Anexo. Convenio Colectivo de la UTE Fomento De Construcciones y Contratas, S.A. - Befesa Gestion De Residuos Industriales, S.L. UTE Poniente Almeriense Tabla Salarial Año 2013

 

Imagen

 

Anexo 1. Convenio Colectivo de la UTE Fomento De Construcciones y Contratas, S.A. - Befesa Gestion De Residuos Industriales, S.L. UTE Poniente Almeriense Tabla Salarial Año 2014

 

Imagen