17363  documentos en la base de datos
Convenios por Federación
♦ FICA
♦ FeSMC
♦ FeSP
 

CONSEJERÍA DE EMPLEO

DELEGACIÓN PROVINCIAL DE MÁLAGA

SERVICIO DE ADMINISTRACIÓN LABORAL

Expediente número 089/04.

 

Visto el texto del Convenio Colectivo de la empresa Hermanas Hospitalarias Sagrado Corazón de Jesús, código de convenio 2904442, recibido en esta Delegación Provincial de la Consejería de Empleo con fecha 20/10/04, y de conformidad con lo dispuesto en el artículo 90.3 del Real Decreto Legislativo 1/95 de 24 de marzo (Estatuto de los Trabajadores), esta Delegación Provincial de Empleo acuerda:

1º Ordenar su inscripción en el Registro de Convenios de este organismo, con notificación a la Comisión Negociadora, quien queda advertida de la prevalencia de la legislación general sobre aquellas cláusulas que pudieran señalar condiciones inferiores o contrarias a ellas.

2º Proceder al depósito del texto original del Convenio en el Centro de Mediación, Arbitraje y Conciliación de esta Delegación Provincial.

3º Disponer su publicación en el “Boletín Oficial” de la Provincia.

Málaga, 10 de noviembre de 2004.

El Delegado Provincial de Empleo, firmado: Juan Carlos Lomeña Villalobos.

 

CONVENIO DEL COMPLEJO ASISTENCIAL HERMANAS HOSPITALARIAS

DEL SAGRADO CORAZÓN DE JESÚS DE MÁLAGA

CONVENIO COLECTIVO 2004-2006

 

Capítulo I. Disposiciones generales.

Artículo 1. Ámbito territorial.

Las normas contenidas en el presente convenio serán de aplicación al centro de trabajo Complejo Asistencial Hermanas Hospitalarias del Sagrado Corazón de Jesús, de Málaga,  durante el tiempo de su vigencia.

Artículo 2. Ámbitos personal y funcional.

El presente convenio afectará al personal que presta sus servicios en el centro de trabajo, cualquiera que sea su contrato de trabajo.

Artículo 3. Vigencia, prórroga y denuncia.

La vigencia del presente convenio será de tres años, a partir de la entrada en vigor, 1 de enero de 2004 hasta el 31 de diciembre de 2006, a la que se retrotraerán todos los efectos económicos pactados para el primer año de vigencia.

Se podrá denunciar por cualquiera de las partes el presente convenio con una antelación de tres meses a la fecha de finalización del mismo, e igualmente si no hubiera denuncia por cualquiera de las partes en el plazo fijado, automáticamente se entenderá prorrogado por años naturales.

Artículo 4. Revisión.

Será causa suficiente para que cualquiera de las partes, a través de su representación respectiva, pueda pedir la revisión del convenio, el hecho de que por disposiciones legales de cualquier índole y de rango superior, se establezcan mejoras superiores a las estipuladas en este convenio, consideradas en su conjunto y cómputo anual, de acuerdo con el artículo 3, apartado 3 del Estatuto de los Trabajadores.

Artículo 5. Absorción.

Las mejoras económicas de toda índole que figuran en el presente convenio, serán compensadas o absorbidas con los aumentos retributivos que directa o indirectamente, y cualquiera que sea su carácter se establezcan por convenio colectivo de ámbito superior o por disposición legal, solo en el caso de que las variaciones consideradas globalmente y en cómputo anual resulten más favorables al personal que las contenidas en este convenio.

Todo ello sin perjuicio de las excepciones que concretamente se contienen en el capítulo relativo a las condiciones económicas.

Artículo 6. Vinculación a la totalidad.

Las representaciones firmantes convienen en que, siendo lo pactado un todo indivisible, considerarán el convenio nulo y sin efecto alguno, en el supuesto de que no se respetaran cualesquiera de los pactos concretos contenidos en aquel, por entender que el contenido del convenio quedaría así desvirtuado, salvo que los referidos pactos conculquen individualmente los mínimos de derecho necesario, a juicio de la autoridad laboral competente o la jurisdicción laboral, en cuyo caso, y previa aprobación de la comisión paritaria del convenio, continuará en vigor el convenio con las modificaciones preceptivas en orden al cumplimiento de la vigente legislación.

Artículo 7. Normas supletorias.

En lo no previsto en este convenio regirá con carácter supletorio el Convenio Colectivo para Clínicas y Sanatorios Privados de Málaga y Provincia, y demás legislación de ámbito superior.

Capítulo II. Organización del trabajo.

Artículo 8. Principios generales.

La organización práctica del trabajo y la jerarquización de funciones es facultad exclusiva de la entidad rectora, quien se obliga a llevarla a cabo de tal forma que, mediante ella, se obtengan las finalidades propuestas con la colaboración del personal. A este respecto serán las distintas direcciones, en el ámbito de su competencia, quienes actúen en nombre de la entidad rectora.

Sin perjuicio de lo anterior, la representación legal de los trabajadores tendrá atribuida las funciones de asesoramiento, orientación, propuesta y representación en todo lo relacionado con la organización y racionalización del trabajo.

Artículo 9. Jornada laboral.

La jornada máxima de trabajo efectivo para todo el personal afectado por el presente convenio será de:

1.826 horas año para el 2004.

1.785 horas año para el 2005.

1.764 horas año para el 2006.

La aplicación efectiva de las horas anuales para el 2006, se condiciona a que el índice de absentismo al 31-12-05 sea igual o inferior al 6% de acuerdo a los conceptos a incluir en su cálculo tal y como se determinan en el artículo 11 de este texto, y dado el caso de que el índice sea superior al 6%, se consolida la jornada del 2005 para el 2006.

No obstante lo anterior, deberá respetarse cualquier otra jornada de trabajo que esté reconocida por contrato de trabajo individual, aunque su duración sea inferior.

Los trabajadores del estamento facultativo, cuya jornada en presencia física sea inferior a la jornada máxima anual, completarán esta con servicios de alerta, en la forma que se pacte de mutuo acuerdo.

Para el personal con jornada completa y continuada, y en todos aquellos departamentos en que las necesidades del servicio y el número de trabajadores lo permitan, se establece el turno rotatorio de mañanas y tardes y que tendrá una periodicidad cíclica de cuatro semanas.

Artículo 10. Organización del trabajo.

El personal que viene desarrollando su trabajo en turnos (DUE, Aux. Clínica, Cuidador/a y Limpiador/a), según la organización actualmente vigente, en el año 2005 pasará a un sistema de organización del trabajo basado en los siguientes principios:

El personal desarrollará su actividad de lunes a domingo.

Existirá un turno rotatorio en horario de mañana y tarde y un turno fijo de noche.

El personal que desarrolle su actividad en turno de mañana y tarde trabajará siete horas diarias durante 255 días en el año 2005. En caso de que en el año 2006 se aplicare lo establecido en el artículo 9 de este convenio se pasará a trabajar siete horas diarias durante 252 días. En cualquier caso, la planificación de los turnos de trabajo garantizará la coincidencia de libranzas con un sábado y domingo consecutivos por ciclo de veintiocho días, la coincidencia de libranza con siete festivos y la no-existencia de más de ocho días consecutivos sin libranza.

Para la cobertura de las libranzas de los distintos servicios se crearan correturnos que tendrán garantizada la libranza de un domingo por ciclo de veintiocho días. La dirección del centro primará que en la medida que se produzcan vacantes en el régimen habitual de turnos, estas sean cubiertas por aquellos contratados como correturnos.

El personal en turno de noche desarrollará su actividad en jornadas de diez horas diarias, con alternancia de días de trabajo y libranza.

La planificación de los turnos de trabajo, por parte de la dirección correspondiente se realizará con la antelación debida y en colaboración con su personal, al objeto de alcanzar los objetivos propuestos con la máxima satisfacción posible.

Artículo 11. Absentismo.

Para el cálculo del índice de absentismo se tendrá en cuenta cualquier ausencia del puesto de trabajo, justificada o no, excluyendo los siguientes conceptos: Vacaciones, permiso de maternidad/paternidad, excedencias, permisos sin sueldo, horas sindicales, permisos formativos, así como las jornadas laborales del personal, en baja laboral o no, que no pueda desempeñar las funciones de su puesto de trabajo, en atención a nuestro plan de prevención, al no poder ofrecerles la empresa un puesto de trabajo alternativo que se adapte a sus condiciones personales físicas o psíquicas.

La empresa y los representantes de los trabajadores se comprometen a trabajar conjuntamente en la reducción del absentismo, para lo que la empresa informará mensualmente del índice de absentismo del mes inmediatamente anterior que será analizado en el ámbito del Comité de Seguridad y Salud.

Este artículo será eliminado una vez finalice la vigencia de este convenio.

Artículo 12. Puente recuperable.

Todo el personal afectado por el presente convenio que disfrute todos los festivos del año, previa autorización de la dirección del centro, tendrá derecho al disfrute de un puente al año, recuperable. Dicha recuperación se efectuará en la forma y por el sistema que para cada uno de los estamentos profesionales se acuerde con la dirección del complejo, respetando en cualquier caso las necesidades del servicio y que se efectúe la total recuperación de las horas disfrutadas en el puente con el mismo número de horas, prestadas en la misma forma que las correspondientes al citado puente.

En cualquier caso no podrán coincidir en el disfrute del puente más de una persona por  servicio, salvo que el propio servicio lo permita.

Todos los trabajadores que presten sus servicios en el turno de día, afectados por el presente convenio y que trabajen los festivos en la forma habitual, o sea, alternativamente, tendrán derecho al disfrute de los mismos de forma acumulada, como máximo en dos periodos, previa programación en cada uno de los servicios o plantas, para que no exista perjuicio en el mismo y las sustituciones se puedan efectuar sin problema alguno en cada uno de los servicios por los correspondientes correturnos.

Capítulo III. Régimen del personal.

Artículo 13. Admisión y selección.

Corresponde a la entidad rectora, con carácter exclusivo, la admisión e ingreso del personal a través de la contratación externa, sin perjuicio del absoluto cumplimiento en relación con las disposiciones legales sobre empleo.

Será la Dirección del Centro, de acuerdo con las disposiciones vigentes en la materia, la responsable de establecer todo lo concerniente a la fijación de condiciones y pruebas que hayan de exigirse al personal de nuevo ingreso, en lo relativo a aptitud, capacidad técnica, profesional, física o cualesquiera otras que se estimen necesarias por virtud de la función y la tarea por la que se contrate al aspirante, y no por las que pudiera estar habilitado para realizar, como consecuencia de un título o capacidad adquirida.

Artículo 14. Contratación.

Las contrataciones del personal se regirán por lo establecido en las normas de general aplicación, con excepción del periodo de prueba para los técnicos titulados, que se establece en tres meses.

Todo el personal contratado para reemplazar a los trabajadores afectados por este convenio en los casos previstos legalmente, tendrá los derechos que se deriven de este convenio. Los complementos por puesto de trabajo que percibe el trabajador sustituido le serán abonados al trabajador que ocupe este puesto.

Artículo 15. Regulación de vacantes y promoción interna.

La Dirección del Centro favorecerá la promoción interna, dando preferencia al personal del Centro en aquellas vacantes que puedan producirse.

Será la empresa la única responsable de establecer, en cada caso, los criterios de selección a seguir en estos procesos, así mismo se informará previamente, a cada proceso de selección, a los representantes de los trabajadores del número de vacantes en cada puesto, de los criterios a emplear para la selección, así como del sistema de información pública entre el personal que se hará de dicha vacante para que se pueda presentar a ella cualquiera de las personas de nuestra plantilla que cumplan dichos criterios y deseen mejorar en su puesto de trabajo, comprometiéndose en cualquier caso a respetar los derechos fundamentales de las personas a no ser discriminadas por razón alguna.

Entendiendo que en los puestos de cobertura periódica sólo se informará cuando se produzca una modificación de los criterios.

Artículo 16. Clasificación del personal.

La clasificación del personal sobre la base de sus categorías profesionales, se atendrá a la consignada en el Convenio Colectivo para Clínicas y Sanatorios privados de Málaga y provincia, debiendo tener en cuenta, ello no obstante, que las relaciones de categorías, que se contienen en el citado texto legal son meramente enunciativas, no suponiendo, por tanto, la obligación del Complejo de tenerla provista en su totalidad, si la necesidad y volumen del trabajo y los servicios no lo requieren.

Capítulo IV. Condiciones económicas.

Artículo 17. Conceptos retributivos.

Los conceptos retributivos aplicables al Complejo a partir de la entrada en vigor del presente convenio serán los siguientes:

I. Salario base

Forma parte del salario fijo de cada trabajador y viene especificado para cada categoría en el anexo número 1.

II. Complementos retributivos

A) Personales:

• Antigüedad.

• Complemento personal.

• Plus de idiomas.

• Plus de responsabilidad familiar.

• Plus por hijos disminuidos físicos o psíquicos.

B) Por calidad y cantidad de trabajo:

• Plus convenio.

• Plus de peligrosidad.

• Complemento hospital.

• Plus de nocturnidad.

C) De vencimiento periódico superior al mes:

• Pagas extraordinarias.

• Vacaciones.

D) Devengos extrasalariales:

• Plus de transporte.

Artículo 18. Premio de antigüedad.

Se calculará sobre el salario base del convenio fijado para cada categoría y quedará fijado en los siguientes valores iguales, para todas las categorías:

10% a los 3 años de antigüedad.

20% a los 6 años de antigüedad.

25% a los 9 años de antigüedad.

35% a los 15 años de antigüedad.

40% a los 20 años de antigüedad.

60% a los 25 años de antigüedad.

Para el cómputo del premio de antigüedad se tendrá en cuenta la fecha inicial del ingreso.

Artículo 19. Complemento personal.

Los trabajadores a quienes por diversas causas se les hubiera respetado su situación económica "ad personam" provenientes de anteriores convenios o acuerdos, tendrán un complemento retributivo denominado complemento personal o retribución voluntaria, absorbible y declarado a extinguir, por el exceso de sus retribuciones sobre los reconocidos para su categoría en el presente convenio, con la excepción de las limpiadoras que vieron modificado su salario con la aplicación del convenio 1997/1999.

Artículo 20. Plus de idiomas.

La persona que independientemente de su categoría profesional se contrate expresamente para utilizar otros idiomas que no fueran el castellano o español, previa comprobación del conocimiento de los mismos, percibirá un aumento del 10% sobre el salario base.

Artículo 21. Plus de responsabilidad familiar.

Los trabajadores afectados por el presente convenio percibirán este plus en la cuantía que se determina en el anexo número 1, siempre que tengan familiares a su cargo, reconocidos por la Seguridad Social, o no estando reconocidos no obtengan renta de capital o trabajo superior al 50% del salario mínimo interprofesional.

Artículo 22. Plus por hijo disminuido físico o psíquico.

Se establece un subsidio para los trabajadores que tengan a su cargo hijos disminuidos físicos o psíquicos, reconocidos como tales por los organismos oficiales.

El subsidio será el equivalente al 50% de la cuantía que en cada momento se abone por tal concepto en el régimen de la Seguridad Social.

Artículo 23. Plus convenio y complemento hospital.

Se establece un plus de convenio en la cuantía que se especifica en el anexo número 1.

El complemento de complejo es aquella retribución por cantidad o calidad de trabajo, de carácter absorbible y variable, constituido con las aportaciones del complejo, con el objeto de que el salario fijo de cada trabajador alcance los mínimos pactados con la representación del personal para las diferentes categorías profesionales.

Se pacta expresamente que, a efectos de equiparación de salarios con el convenio principal entre las distintas categorías profesionales, el exceso sobre los actuales se absorberá directamente de la cuantía de este complemento, cuando lo hubiese y, en caso contrario, correrá a cargo del Complejo.

Artículo 24. Plus de peligrosidad.

En razón de la mayor peligrosidad de la actividad realizada en el Complejo, se establece un complemento retributivo para todos los trabajadores afectados por el presente convenio cuya cuantía será del 20% del salario base durante el periodo de 2004. Ambas partes acuerdan que con el desarrollo de la LPRL en el Centro, se confía en controlar y evitar los riesgos inherentes al puesto, como consecuencia de las posibles agresiones de los usuarios, y por tanto, acuerdan la supresión de dicho concepto desde el uno de Enero de 2005, incorporándose las cantidades que por dicho concepto se venían pagando al plus convenio. En caso de que en un futuro se acordara restablecer el plus de peligrosidad, dicha cantidad se detraería del plus convenio.

Artículo 25. Plus de nocturnidad.

Se establece un plus de nocturnidad equivalente al 25% del salario base para todos aquellos trabajadores que realicen jornada nocturna, considerando jornada nocturna las horas que transcurren desde las 22:00 PM hasta las 08:00 AM.

Artículo 26. Gratificaciones extraordinarias.

Como parte integrante de su salario, los trabajadores del Complejo Asistencial de Málaga, tendrán derecho en el año 2004 a las pagas extraordinarias que figuraban en el anterior convenio. No obstante desde el año 2005 disfrutarán de dos pagas extraordinarias, correspondientes a una mensualidad de salario, en Julio y Diciembre, abonándose con la mensualidad de Junio y el día 20 de Diciembre, distribuyéndose todos los conceptos de convenio, excepto el plus de transporte, proporcionalmente entre las 14 pagas anuales.

Artículo 27. Vacaciones.

El periodo anual de vacaciones, calculado conforme se especifica en el capítulo V del presente convenio, no podrá ser compensado en metálico salvo en los casos de baja definitiva o temporal en la empresa, así como en los supuestos de excedencia o permiso sin sueldo.

Artículo 28. Plus de transporte.

Con la finalidad de compensar los desplazamientos de los trabajadores desde sus domicilios hasta el lugar de trabajo, se acuerda establecer este plus en la cuantía que se especifica en el anexo número 1, e igual para todas las categorías profesionales.

La cantidad retributiva aquí establecida en concepto de plus de transporte será considerada de carácter extrasalarial, no cotizable a la Seguridad Social, de conformidad con el artículo 109, del Real Decreto 1/1994 de 20 de Junio, por el que se aprueba el texto refundido de la ley general de la Seguridad Social y 23.2.c del Real Decreto 2064/1995 de 22 de diciembre.

Artículo 29. Abono de salarios.

Se realizará el último día laborable de cada mes, con entrega del correspondiente recibo de haberes.

Artículo 30. Compensación por enfermedad y accidente.

En los casos de baja por IT, el Complejo se compromete, a sus expensas a efectuar el pago de la diferencia económica entre las cantidades que en cada caso percibe el trabajador a cargo del Régimen General de la Seguridad Social, hasta el tope del salario real, en los siguientes casos:

A) Por IT motivada por intervención quirúrgica, desde el momento del acto quirúrgico.

B) En IT, derivada de accidente, sea o no laboral, desde el momento de producirse este.

C) En IT, derivada de maternidad, durante el periodo máximo previsto en la disposición vigente.

D) Por IT derivada de enfermedad común, desde el 21 día de la fecha indicada en el parte de baja.

Capítulo V. Vacaciones y suplencias.

Artículo 31. Vacaciones.

Todo el personal afectado por el presente convenio tendrá derecho a disfrutar de un mes natural de vacaciones anuales.

Como norma general, las vacaciones darán comienzo el día 1 del mes respectivo y su duración se calculará en función del tiempo que se vaya a trabajar y se haya trabajado durante el año natural que se considere.

Al establecerse el tiempo de vacaciones en función del tiempo trabajado entre el 1 de enero y 31 de diciembre, se computarán 2,5 días de vacaciones por mes natural, contabilizándose las fracciones resultantes como días completos. Si el trabajador causara baja antes del 31 de diciembre del año en que haya disfrutado las vacaciones, se le descontará de la liquidación el importe de los días disfrutados de más, siguiendo la misma proporcionalidad descrita al principio de este párrafo.

El personal en baja por IT, con independencia de la causa motivadora, disfrutará de la totalidad de las vacaciones durante el año. Las vacaciones serán rotativas en los meses de julio, agosto y septiembre, no existiendo preferencia alguna por antigüedad.

Los turnos de vacaciones serán elaborados de común acuerdo, entre el comité de empresa y el Complejo, respetándose prioritariamente el interés de los pacientes ingresados en el Complejo.

Por acuerdo entre el trabajador y el Complejo, podrán establecerse otros periodos vacacionales:

Cualquier mes no incluido en el periodo fijado anteriormente.

El trabajador y el Complejo podrán convenir en la división en dos partes del periodo vacacional; en este supuesto la duración del mismo será de treinta días naturales y en ningún caso el periodo más corto será inferior a siete días.

Artículo 32. Licencias.

Todos los trabajadores disfrutarán de las siguientes licencias retribuidas:

Exclusivamente para el ejercicio 2004, un día denominado de libranza adicional que se disfrutará previo acuerdo entre el trabajador y su responsable, y garantizando una adecuada organización del trabajo.

Quince días por matrimonio.

Tres días por fallecimiento de cónyuge, padres o hijos.

Dos días en caso de enfermedad grave u hospitalización de parientes hasta el segundo grado de consanguinidad o afinidad, o un día en caso de intervención ambulatoria.

Dos días por fallecimiento de hermanos, abuelos, nietos y padres políticos.

Si el fallecimiento ocurriese fuera de la ciudad de residencia del trabajador, el permiso será de dos o cuatro días más, a justificar.

Tres días laborables por alumbramiento de la esposa.

El tiempo necesario para el cumplimiento de un deber inexcusable de carácter público y personal.

Un día para el traslado de domicilio dentro del mismo término municipal, que serán dos cuando fuese a domicilio de otro término municipal.

Un día por matrimonio de hijos, en la fecha de celebración de la ceremonia.

Al disfrute de permisos necesarios para concurrir a exámenes, así como a una preferencia a elegir turno de trabajo si tal es el régimen instaurado en la empresa, cuando curse con regularidad estudios para la obtención de títulos académicos o profesionales.

A la adaptación de la jornada ordinaria de trabajo profesional, o la concesión del permiso oportuno de formación o perfeccionamiento profesional, con reserva del puesto de trabajo.

Artículo 33. Excedencias.

Los trabajadores con un año de servicio podrán solicitar excedencias voluntarias, por un plazo no inferior a doce meses ni superior a cinco años, no computándose el tiempo que dure esta situación a ningún efecto.

La petición de excedencia será resuelta por la empresa en un plazo de treinta días para los titulados de grado medio y superior y de quince días para el resto de los trabajadores, debiendo presentar la solicitud por escrito a la dirección de la empresa.

Se podrá solicitar una nueva excedencia cuando haya transcurrido, al menos, dos años de haberse incorporado de una anterior.

La empresa queda obligada a la admisión del trabajador una vez finalizado este periodo, solamente en los casos de trabajadores con cargos de responsabilidad sindical, solicitando este reingreso, al menos, con un mes de antelación.

Para el resto de las excedencias se estará a lo dispuesto en el Estatuto de los Trabajadores.

Artículo 34. Lactancia, maternidad y protección a la mujer embarazada.

Toda mujer en estado de gestación tendrá derecho a dieciséis semanas de suspensión de contrato de trabajo, conforme a lo dispuesto en el artículo 48.4 del Estatuto de los Trabajadores.

La trabajadora tendrá derecho a una hora diaria destinada a la lactancia de su hijo menor de un año, a voluntad propia, hasta un máximo de nueve meses, pudiéndose esta repartir a voluntad de la trabajadora, pudiendo este permiso ser disfrutado indistintamente por la madre o el padre en caso de que ambos trabajen.

Con relación a la protección de la maternidad se estará a lo que dispone la LPRL en su artículo 26 (Anexo 3) y a su concreción en la evaluación de riesgos del Centro.

Artículo 35. Permiso sin sueldo.

El trabajador con al menos un año de antigüedad en la empresa, tiene derecho a disfrutar un permiso sin sueldo por un plazo de tiempo mínimo de un mes y máximo de tres meses, por causa de enfermedad grave ocurrida a familiares hasta el primer grado de consanguineidad.

También, por cualquier otra de carácter personal a valorar por la empresa en función de su impacto organizativo.

Tal permiso podrá prorrogarse hasta un máximo de seis meses, siempre que, previa solicitud del trabajador y a juicio de la entidad subsistan las causas de concesión inicial.

Artículo 36. Suplencias.

Todo el personal se compromete a suplir las bajas que se produzcan por vacaciones,  enfermedad o permiso de sus compañeros de trabajo dentro de los respectivos servicios, especialidades conexas y trabajos ordinarios, siempre que lo permitan las exigencias de capacidad y formación profesional, en los supuestos que no se entienda necesaria la  contratación de un sustituto, y siempre dentro de la vigente legalidad.

Capítulo V I. Otras disposiciones generales.

Artículo 37. Puntualidad.

La hora de entrada y salida al trabajo se entiende en punto y debiendo los trabajadores encontrarse, tanto al principio como al final de su jornada, en sus respectivos puestos de trabajo. Por tanto, el personal se compromete a cumplir fielmente los horarios concertados, respecto de los que no se admitirán ninguna reducción o compensación que no esté prevista en el presente convenio o debidamente autorizada.

Artículo 38. Anticipos a cuenta de pagas extraordinarias.

El Complejo, a sus expensas, adelantará al personal que lo solicite, previo informe y aprobación de la comisión de asuntos sociales, el importe de tres mensualidades y que será descontado en el momento del devengo de todas y cada una de las gratificaciones extraordinarias desde el momento de la solicitud hasta la finalización de la devolución, en la cuantía de un 50% del neto de cada paga.

La cuantía máxima de anticipos que podrá concederse durante el periodo de vigencia del presente convenio, será de 16.000,00 euros por año; para la concesión en líneas generales de los citados anticipos se seguirá un orden de preferencia por necesidades sociales urgentes.

Artículo 39. Prevención de riesgos laborales.

La temporalidad de la evaluación clínica laboral se fijará en el Plan de Prevención del Centro, salvo que la solicite el trabajador o la empresa por causas justificadas.

Los costes irán a cargo de la empresa, y se hará dentro de la jornada laboral, computándose como trabajo efectivo. La empresa garantizará y acreditará que los responsables de la realización de la evaluación clínica-laboral tienen la formación exigida por ley.

Esta revisión constará de los medios complementarios de diagnóstico a juicio del Plan de Prevención del Centro.

Artículo 40. No discriminación de las relaciones laborales.

No cabe ningún tipo de discriminación en las relaciones laborales por razón de edad, sexo, origen, estado civil, raza, condición social, ideas religiosas o políticas, adhesión o no a sindicatos o de parentesco, pudiendo realizar cualquier trabajador los trabajos que realicen sus compañeros de la misma categoría, con la misma retribución, jornada y demás condiciones de trabajo, siempre en iguales condiciones salariales y laborales, jornada de trabajo, horario, horas extraordinarias, enfermedad, vacaciones, licencias y excedencias.

Artículo 41. Jubilaciones.

La jubilación podrá producirse por parte de los trabajadores a partir de los 60 años de edad.

El trabajador cuya jubilación se produzca a los 60 ó 61 años de edad, tendrá derecho al percibo de un premio de jubilación voluntaria equivalente a una mensualidad de su salario real por cada cinco años de servicios en la empresa; el que la obtenga a los 62 ó 63 años tendrá derecho a un premio equivalente a una mensualidad de su salario real por cada siete años de servicio, y el que la obtenga con los 64 años de edad, un premio equivalente a una mensualidad de su salario real por cada diez años de servicios prestados en la empresa.

Para el cálculo de dichos premios se tendrá en cuenta la fecha de antigüedad, y deberá ser externalizado dicho compromiso justificando anualmente la relación de trabajadores que integran cada uno de los conceptos provisionados.

Artículo 42. Premio a la constancia.

La empresa premiará a sus trabajadores por el concepto de constancia o permanencia en el trabajo en los siguientes casos:

A los quince años de servicio, con una mensualidad del salario real.

A los veinticinco años de servicio, con dos mensualidades del salario real.

Para el cálculo de dichos premios se tendrá en cuenta la fecha de antigüedad, y deberá ser externalizado dicho compromiso justificando anualmente la relación de trabajadores que integran cada uno de los conceptos provisionados.

Artículo 43. Ropa de trabajo.

El Complejo se obliga a facilitar los uniformes que considere necesarios y al personal que lo precise, y como mínimo dos al año, adecuado para el desempeño de cada cometido profesional, excepción hecha del personal de recepción, Conserjería y teléfono, a los que se les facilitarán los uniformes que sean necesarios, sin ese mínimo.

Artículo 44. Comisión paritaria de convenio.

De acuerdo con lo previsto en las disposiciones en vigor, se crea una concisión paritaria del convenio, como órgano de interpretación, conciliación y vigilancia del cumplimiento del mismo. La comisión estará compuesta por seis vocales, tres de ellos designados por la entidad rectora y tres por los representantes del personal. Las funciones específicas de la comisión paritaria del convenio son las siguientes:

a) Interpretación del convenio.

b) Conciliación en los problemas o cuestiones que le sean sometidos por las partes o en los supuestos previstos, concretamente en este texto.

c) Vigilancia del cumplimiento de lo pactado.

Quedará válidamente constituida la comisión cuando se encuentren presentes, en ella los vocales representantes del personal, y, al menos, uno por parte de la entidad rectora. Las decisiones se tomarán en el plazo de diez días, contados a partir de la fecha en que sea sometido un asunto a la comisión y los acuerdos se tomarán por mayoría absoluta.

De todas las reuniones de la comisión se extenderá necesariamente un acta, en la que se recogerán todos los pormenores de la reunión.

Artículo 45. Arbitraje laboral.

En caso de no producirse acuerdo, conforme al artículo anterior, las partes firmantes del presente convenio pactan expresamente que en el plazo de tres días se remitirá el asunto en cuestión a la Dirección Provincial de Mediación, Arbitraje y Conciliación, para que esta, por medio del arbitraje laboral correspondiente, decida, comprometiéndose igualmente a cumplir fielmente lo resuelto por dicha institución.

Artículo 46. Observancia del quebranto del poder adquisitivo.

Con objeto de evitar la pérdida del poder adquisitivo de los trabajadores afectados por el presente convenio, la empresa se compromete expresamente a observar las diferencias que pudieran existir entre el incremento del IPC aplicado a los salarios durante la vigencia del mismo, y las desviaciones que sobre el previsto puedan producirse en la negociación del próximo convenio colectivo.

Capítulo VII. Derechos sindicales.

Artículo 47. Derechos del comité de empresa.

Además de los derechos y facultades que otorga la legislación vigente a los comités de empresa, el presente convenio garantiza a cada uno de sus componentes un crédito horario no inferior a 30 horas mensuales.

Dichas horas podrán ser computadas globalmente y distribuidas según criterio del propio comité, quedando excluidas de estas horas las que correspondan a reuniones convocadas por la empresa, así como las que se inviertan en la negociación del convenio colectivo.

Artículo 48. Funciones del comité de empresa.

El comité de empresa representa al colectivo de los trabajadores en y ante la empresa como tal tiene derecho a ser informado por la empresa con cuanta documentación sea necesaria acerca de cualquier actuación que puede afectar al citado colectivo, y más concretamente:

a) En lo relativo a reestructuración de plantilla, ceses totales, parciales, definitivos o temporales de la misma.

b) En lo relativo a la reducción de jornada.

c) En lo relativo a los planes de formación en la empresa.

d) En lo relativo a las distintas modificaciones en las condiciones de trabajo que se puedan producir, en la forma prevista en el artículo 41 del Estatuto de los Trabajadores.

e) En lo relativo a la Ley 2/91 en materia de contrataciones.

Artículo 49. Asambleas.

Las asambleas podrán ser convocadas por el comité de empresa o el 50% del total de la plantilla, y se regirán por lo dispuesto en el artículo 77 y siguientes del Estatuto de los Trabajadores.

Los trabajadores podrán reunirse en asamblea:

a) Para ser informados o adoptar decisiones acerca de la negociación colectiva en curso.

b) Para ser informados o pronunciarse sobre conflictos colectivos y huelgas legales.

Las asambleas se celebrarán en el centro de trabajo dentro del horario laboral, respetando siempre los mínimos asistenciales, y a ellas podrán acudir, previa comunicación a la empresa, representantes de los sindicatos legalmente constituidos.

Disposiciones adicionales

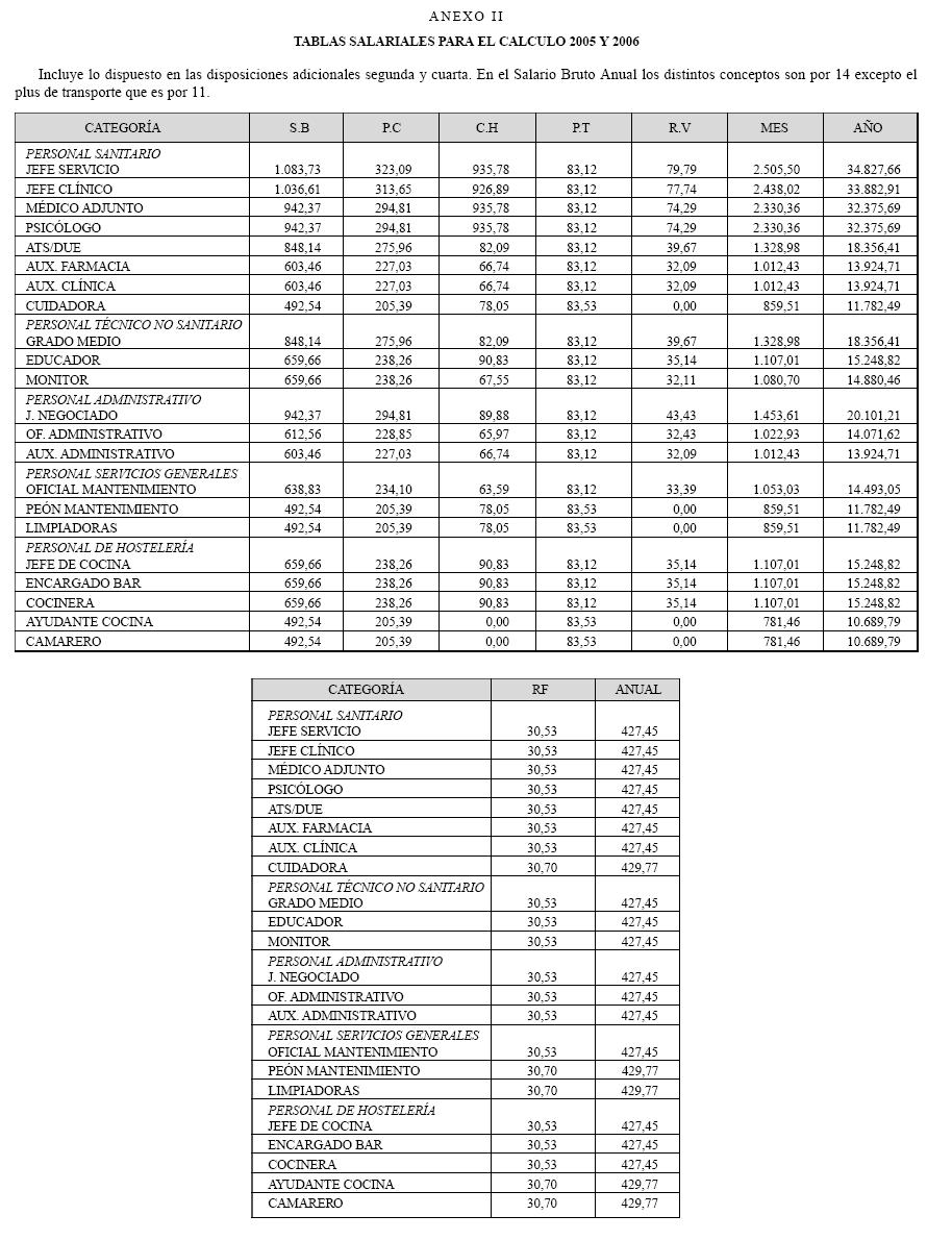
Primera. En cuanto a retribuciones se acuerda expresamente que las mismas serán incrementadas cada año de vigencia del presente Convenio, en el % de IPC que al 31 de diciembre habido en el Ejercicio inmediatamente anterior sea publicado por el INE sumándole un 0,5%, siendo el aplicable al periodo del 2004 de un 3,1% (2,6 del IPC al 31-12-03 más 0,5). Para el presente año 2004 las tablas salariales, una vez aplicado el incremento, serán las que se especifican en el Anexo 1.

Segunda. Las categorías que a continuación se detallan adicionalmente a lo dispuesto en la disposición anterior tendrán los siguientes incrementos retributivos del Complemento de Hospital en los años 2005 y 2006, en atención a la diferencia con las tablas salariales del convenio provincial.

• Cuidadores: 364,23 euros brutos anuales.

• Limpiadoras: 364,23 euros brutos anuales.

• Peón: 364,23 euros brutos anuales.

• Monitor: 315,22 euros brutos anuales.

• Jefe de Negociado: 410,94 euros brutos anuales.

• DUE: 375,34 euros brutos anuales.

• Grado Medio: 375,34 euros brutos anuales.

Al mismo tiempo a todo el personal de Restauración se le tendrá en cuenta el cálculo de todo su salario anual sin que pueda existir merma por razón de los conceptos en los que se distribuya su salario.

Dichas diferencias una vez finalizada la vigencia de este convenio serán incorporadas proporcionalmente al resto de conceptos no absorbibles de la nómina.

Tercera. En caso de que al finalizar un ejercicio económico el Centro cierre en una situación de pérdidas de explotación, la empresa podrá paralizar la aplicación de los incrementos retributivos previstos en el ejercicio siguiente e iniciar un procedimiento para su no-aplicación definitiva, si procede.

Para el cálculo de las pérdidas de explotación se tendrá en cuenta:

a) Se excluyen los gastos financieros y extraordinarios.

b) La amortización de los elementos de inmovilizado del subgrupo construcciones y edificaciones no podrá realizarse en un periodo inferior a 30 años y la amortización de los elementos de inmovilizado correspondientes a instalaciones técnicas en un periodo inferior a diez años.

c) Se aceptan para el año 2004 el importe de provisiones por insolvencias de tráfico que resulte a 31 de diciembre, si bien, para ejercicios sucesivos se establecerá como límite máximo para el cálculo, el porcentaje que supondrá la mencionada dotación de provisiones del 2004 sobre el total de la partida del “debe” de la cuenta de explotación.

En cualquier caso los compromisos sociales generales y específicos sobre jornadas, descansos y organización quedan totalmente consolidados.

En caso de que se den las circunstancias para la paralización de la aplicación de los incrementos previstos, está se hará según el siguiente escalado:

1. Margen negativo de explotación entre el 0 y el 1% se aplicará un incremento del IPC del año anterior.

2. Margen negativo de explotación superior al 1% e inferior al 4% se aplicará un incremento del 50% del IPC del año anterior.

3. Margen negativo de explotación igual o superior al 4% no se aplicará incremento.

Si al cierre del ejercicio en que se ha aplicado está cláusula el Centro retorna a los beneficios, se recuperará el incremento no aplicado en el comienzo del ejercicio, añadido al incremento del año en curso, según el siguiente escalado:

1. Margen positivo de explotación entre el 0 y el 1% no se aplicará ningún incremento adicional.

2. Margen positivo de explotación superior al 1% e inferior al 4% se aplicará un incremento adicional del 50% del IPC del año anterior.

3. Margen positivo de explotación igual o superior al 4% se aplicará un incremento adicional del IPC del año anterior.

Con tal fin deberá informar previamente a la Representación de los Trabajadores de esta circunstancia, entregándoles las cuentas anuales así como aquella información necesaria para la concreción de acuerdos en la Comisión Paritaria. Una vez informada esta, ambas partes solicitarán al Colegio de Auditores de Andalucía o institución equivalente que nombre una empresa auditora de oficio, al que la empresa se obliga a entregar toda la documentación que acredite necesitar. La empresa Auditora deberá presentar su informe antes del 30 de abril a la Comisión Paritaria, que deberá aprobar la paralización definitiva. En el supuesto de no alcanzarse acuerdo se recurrirá al Servicio Extrajudicial de Resolución de Conflictos Laborales de Andalucía (SERCLA).

La vigencia de esta cláusula será la del convenio colectivo.

Cuarta. Se entenderá que se dan las causas de acumulación de tareas previstas en el artículo 15. 1. b del E.T., que regula este tipo de contratos, cuando el índice de ocupación de las camas del Complejo supere el 85% de la ocupación máxima, estableciéndose en consecuencia que la relación adecuada entre esta modalidad y la plantilla normal de la empresa no podrá superar el 15%, y la duración de estos contratos no podrá ser superior a 12 meses dentro de un periodo máximo de dieciocho meses.

La empresa se compromete a alcanzar en el periodo de vigencia de este convenio (2004-2006) un 77% de trabajadores indefinidos (69% antes del 31-12-2005 y 77% antes del 31-12-2006), computándose las personas en excedencia y siempre que se produzca la baja definitiva de la persona en excedencia deberá ser sustituida por otra indefinida.

Quinta. Como consecuencia de lo dispuesto en la legislación vigente en relación con la inscripción y acreditación de Centros de Servicios Sociales que actúen en el ámbito de competencias de la Junta de Andalucía y con el objetivo de adecuar la plantilla a los requerimientos que en aquellas se contienen, se acuerda expresamente que las funciones a título enunciativo de la categoría de Cuidador/a serán las expuestas en el Anexo 2.

 

Imagen

Imagen

 

Anexo II. Funciones de la cuidadora.

Definición del puesto

Es la persona responsable de ofrecer al paciente cuidados básicos, directos e integrables de acuerdo con el Reglamento de Régimen interior.

Dependencia

De la enfermera y/o encargada de Unidad.

A) Funciones asistenciales

• Colaborar con la Auxiliar de Enfermería en el aseo e higiene personal de los pacientes.

• Ayudarles en sus necesidades fisiológicas.

• Colaborar con la Auxiliar de Enfermería en la prepararación y reparto de las dietas pautadas y ofrecer la ayuda necesaria.

• Hacer camas, supervisar limpieza-orden de habitaciones.

• Cuidar la ropa y pertenencias de los pacientes.

• Realizar todas aquellas tareas que sus superiores jerárquicos le deleguen o encomienden.

B) Funciones generales

• Realizar las actividades derivadas de su pertenencia a la División de Enfermería.

• Realizar las actividades derivadas de su pertenencia al Equipo de Unidad.

• Facilitar y motivar un ambiente adecuado para la serenidad, descanso, reposo y sueño de los pacientes.

• Ayudar a la Auxiliar de Enfermería en los cuidados postmortem.

• Colaborar en situaciones de urgencia.

C) Funciones de relación con otros servicios

Cocina

– Traer y llevar el carro de las comidas.

Lavandería

– Recoger la ropa sucia y trasladarla a la lavandería.

– Recoger la ropa limpia y ordenarla en la unidad.

D) Funciones delegadas

Encargada

– Colaborar con la Auxiliar de Enfermería en el cuidado ambiental de la unidad: aire, temperatura, iluminación, sonoridad, espacios, mobiliario y otros recursos materiales.

E) Dimensión formativa

Adquirir a través de Bibliografía y/o a través de los miembros del equipo Terapéutico, información conocimientos sobre la patología de los residentes.

Participar y colaborar en las actividades de Formación dirigidas al personal cuidador.

Identificar las propias necesidades de formación transmitiéndolas a su responsable inmediato.

Criterios de selección

Título de auxiliar de Clínica o similar (FP I Rama Sanitaria).

Persona responsable, motivada.

Capacidad de sintonizar con la Cultura Hospitalaria.

Disponibilidad horaria, en función de necesidades del Centro.

Iniciación en el puesto

Entrevista con la Dirección de Enfermería o Supervisora.

Presentación del Equipo.

Darle a conocer sus funciones.

Enseñarle a realizar sus tareas.

Seguimiento-evaluación

Mediante reuniones y entrevistas con su superior jerárquico inmediato.

Realización de un informe y entrega a Dirección de Enfermería en los periodos de tiempo que señala el Centro, o su superior jerárquico inmediato.

Anexo III. Ley de Prevención de Riesgos Laborales.

Artículo 26. Protección de la maternidad.

La evaluación de los riesgos a que se refiere el artículo 16 de la presente Ley deberá comprender la determinación de la naturaleza, el grado y la duración de la exposición de las trabajadoras en situación de embarazo o parto reciente a agentes, procedimientos o condiciones de trabajo que puedan influir negativamente en la salud de las trabajadoras o del feto, en cualquier actividad susceptible de presentar un riesgo específico. Si los resultados de la evaluación revelasen un riesgo para la seguridad y la salud o una posible repercusión sobre el embarazo o la lactancia de las citadas trabajadoras, el empresario adoptará las medidas necesarias para evitar la exposición a dicho riesgo, a través de una adaptación de las condiciones o del tiempo de trabajo de la trabajadora afectada.

Dichas medidas incluirán, cuando resulte necesario, la no realización de trabajo nocturno o de trabajo a turnos.

Cuando la adaptación de las condiciones o del tiempo de trabajo no resultase posible o, a pesar de tal adaptación, las condiciones de un puesto de trabajo pudieran influir negativamente en la salud de la trabajadora embarazada o del feto, y así lo certifiquen los Servicios Médicos del Instituto Nacional de la Seguridad Social o de las Mutuas, con el informe del médico del Servicio Nacional de la Salud que asista facultativamente a la trabajadora, esta deberá desempeñar un puesto de trabajo o función diferente y compatible con su estado. El empresario deberá determinar, previa consulta con los representantes de los trabajadores, la relación de los puestos de trabajo exentos de riesgos a estos efectos.

El cambio de puesto o función se llevará a cabo de conformidad con las reglas y criterios que se apliquen en los supuestos de movilidad funcional y tendrá efectos hasta el momento en que el estado de salud de la trabajadora permita su reincorporación al anterior puesto.

En el supuesto de que, aun aplicando las reglas señaladas en el párrafo anterior, no existiese puesto de trabajo o función compatible, la trabajadora podrá ser destinada a un puesto no correspondiente a su grupo o categoría equivalente, si bien conservará el derecho al conjunto de retribuciones de su puesto de origen.

Si dicho cambio de puesto no resultara técnica u objetivamente posible, o no pueda razonablemente exigirse por motivos justificados, podrá declararse el paso de la trabajadora afectada a la situación de suspensión del contrato por riesgo durante el embarazo, contemplada en el artículo 45.1.d) del Estatuto de los Trabajadores, durante el periodo necesario para la protección de su seguridad o de su salud y mientras persista la imposibilidad de reincorporarse a su puesto anterior o a otro puesto compatible con su estado.

Lo dispuesto en los números 1 y 2 de este artículo será también de aplicación durante el periodo de lactancia, si las condiciones de trabajo pudieran influir negativamente en la salud de la mujer o del hijo y así lo certificase el médico que, en el régimen de Seguridad Social aplicable, asista facultativamente a la trabajadora.

Las trabajadoras embarazadas tendrán derecho a ausentarse del trabajo, con derecho a remuneración, para la realización de exámenes prenatales y técnicas de preparación al parto, previo aviso al empresario y justificación de la necesidad de su realización dentro de la jornada de trabajo.