17372  documentos en la base de datos
Convenios por Federación
♦ FICA
♦ FeSMC
♦ FeSP
 

CONVENIO COLECTIVO 2012 HOSPITAL SAN JUAN DE DIOS (SEVILLA)

Visto el Convenio Colectivo de la Empresa «Hospital San Juan de Dios», suscrito por la referida entidad y la representación legal de los trabajadores, con vigencia desde el 01-01-2012 a 31-12-2012.

Visto lo dispuesto en el artículo 90.2 del Real Decreto Legislativo 1/1995, de 24 de marzo (E.T.), de acuerdo con el cual, los convenios deberán ser presentados ante la autoridad laboral, a los solos efectos de su registro.

Visto lo dispuesto en los artículos 2, 6 y 8 del Real Decreto 713/2010, de 28 de mayo, sobre «registro y depósitos de Convenios y Acuerdos Colectivos de trabajo», serán objeto de inscripción en los «Registros de Convenios y Acuerdos colectivo de trabajo de las autoridades laborales» los convenios elaborados conforme a lo establecido en el Título III del texto refundido de la Ley del

Estatuto de los Trabajadores RD 1/95, de 24 de marzo, sus revisiones, modificaciones y/o prórrogas, acuerdos de comisiones paritarias, acuerdos de adhesión a un convenio en vigor, acuerdos de Planes de Igualdad y otros.

Visto lo dispuesto en los artículos 3, 6 y 8 del RD 713/2010, de 28 de mayo, Real Decreto 4043/82, de 29 de diciembre, por el que se traspasan Funciones y Servicios a la Junta de Andalucía, Decreto 14/2010, de 22 de marzo, sobre reestructuración de Consejerías y el Decreto 136/2010, de 13 de abril, que establece la estructura orgánica de la Consejería de Empleo.

Esta Delegación Provincial de la Consejería de Empleo.

Acuerda:

Primero.— Registrar y ordenar el depósito del Convenio Colectivo de la Empresa «Hospital San Juan de Dios», suscrito por la referida entidad y la representación legal de los trabajadores, con vigencia desde el 1-1-2012 a 31-12-2012.

Segundo.—Disponer su publicación gratuita en el «Boletín Oficial» de la provincia.

La Delegada Provincial, Aurora Cosano Prieto.

CONVENIO COLECTIVO 2012

HOSPITAL SAN JUAN DE DIOS (SEVILLA)

Capítulo Primero

Disposiciones Generales

Artículo 1. Objeto del Convenio

El presente Convenio tiene por objetivo regir las condiciones de trabajo entre el «Hospital San Juan de Dios» de Sevilla, de la Orden Hospitalaria de San Juan de Dios, Provincia Bética Nuestra Señora de la Paz, y el personal del mismo, de acuerdo con lo dispuesto en los artículos siguientes.

Artículo 2. Ámbito Personal

1.— El presente Convenio será de aplicación a todos los trabajadores fijos, interinos o eventuales, con o sin título y que están vinculados al «Hospital San Juan de Dios», con arreglo al vigente Estatuto de los Trabajadores y disposiciones legales complementarias.

2.— Quedan excluidos expresa y concretamente del ámbito de aplicación de este Convenio:

a) Los miembros de las comunidades religiosas que presten su servicio en el Hospital. Dicho personal se regirá por los convenios particulares que tengan establecidos o que se establezcan en el futuro.

b) Los profesionales o especialistas que puedan, en razón de su ejercicio profesional, concertar estudios, trabajos o colaboraciones concretas y especiales respecto a la actividad normal del Centro.

c) Los alumnos de Tecnología Sanitaria en práctica.

d) Los voluntarios que prestan su acción social en el Hospital.

e) Los profesionales dependientes del Servicio Andaluz de Salud, que en virtud del convenio que el Hospital mantiene con la Consejería de Salud de la Junta de Andalucía, desarrollen en el mismo su actividad asistencial.

f) Al personal afectado por el presente convenio colectivo que, en virtud de nombramiento, pase a ostentar cargo directivo, y debido a tal situación modifique las condiciones establecidas en el mismo, le será computable para el reconocimiento de cualquier derecho el período que haya estado desempeñando funciones directivas, y al producirse el cese en dichas funciones, de forma voluntaria o a solicitud de la empresa, se reintegrará a un puesto de trabajo de su categoría profesional anterior, siéndole de aplicación la totalidad del convenio colectivo de este centro hospitalario.

Artículo 3. Ámbito Territorial

Las normas contenidas en el presente Convenio Colectivo serán de aplicación al centro de Trabajo «Hospital San Juan de Dios» de Sevilla, durante el tiempo de vigencia.

Artículo 4. Ámbito Temporal

El presente Convenio tendrá una duración de un año, comenzando su vigencia a todos los efectos el día 1 de enero de 2.012 y terminando el 31 de diciembre de 2012.

Artículo 5. Prorroga y Denuncia

Finalizado el plazo de vigencia de este Convenio, se entenderá prorrogado por períodos anuales, si no es denunciado por cualquiera de las partes con una antelación mínima de un mes a la fecha de su vencimiento, o en su caso, de cualquiera de sus prórrogas.

La denuncia se formalizará por escrito, debiendo adjuntarse el proyecto de los puntos a revisar.

En el caso de no ser denunciado por alguna de las partes, los conceptos económicos serán objeto de negociación expresa cada año.

En todo caso, el Convenio Colectivo seguirá vigente en todo su articulado en tanto no sea sustituido por otro.

Capítulo segundo. Organización del Trabajo

Artículo 6. Organización del Trabajo

La organización del trabajo, dentro de las normas contenidas en el presente Convenio, Estatuto de los Trabajadores y demás disposiciones legales en vigor sobre la materia, es facultad privativa de la empresa.

La legislación vigente establece los cauces de participación de los representantes legítimos de los trabajadores en las condiciones de empleo de los mismos.

Capítulo Tercero. Clasificación del Personal

Artículo 7. Clasificación del Personal Según la Permanencia

El personal del Hospital, atendiendo al grado de permanencia al servicio del mismo, se clasificará y podrá ser contratado de conformidad con los distintos tipos de contratación permitidos por la Legislación laboral.

Artículo 8. Clasificación del Personal Según la Función

Los trabajadores se clasificarán en los Grupos Profesionales y Categorías que se relacionan en el Anexo I, en atención a las funciones que efectúan.

Las denominaciones consignadas en el presente Convenio son meramente enunciativas y no suponen la obligación de tener prevista todas las categorías enunciadas si las necesidades y volumen de trabajo del Hospital no lo requieren.

Artículo 9. Funciones del Personal

Las definiciones correspondientes a las distintas categorías profesionales son las contenidas en el Anexo I de este Convenio, del que forman parte integrante. Dichas definiciones recogen las funciones fundamentales de las categorías enumeradas.

La empresa queda obligada a respetar el contenido de las categorías profesionales. La negativa del trabajador a realizar tareas distintas a las de su clasificación profesional no será nunca constitutiva de indisciplina.

Artículo 10. Trabajos de Superior Categoría

El trabajador que realice funciones de categoría superior a las que corresponda a la categoría profesional que tuviese reconocida, por un período superior a 6 meses durante un año u 8 meses durante 2 años, pero no proceda legal o convencionalmente el ascenso, tendrá derecho a la diferencia retributiva entre la categoría asignada y la función que efectivamente realice, previa solicitud por escrito a la Gerencia, con efecto desde dicha solicitud y por el período que ocupe el puesto, no procediendo consolidación del mismo.

Capítulo cuarto. Ingreso y Período de Prueba

Artículo 11. Ingreso y Promoción

El ingreso de los trabajadores se ajustará a las normas legales sobre contratación, siendo la admisión del personal de la exclusiva competencia de la Dirección del Hospital, pudiendo la misma someter a los candidatos a las pruebas de selección que considere oportunas. Con independencia del proceso normal de selección y contratación establecido, la Dirección de la Empresa se compromete a fomentar la promoción interna del personal.

En todo caso, el acceso a una contratación por promoción deberá requerir el cumplimiento de los requisitos académicos exigidos.

Cuando haya una vacante o puesto de nueva creación o bajas de duración previsible superior a un mes, se notificará al Comité de Empresa para que puedan optar provisionalmente los trabajadores fijos que deseen cambiar de puesto de trabajo, considerando aptitudes, méritos y cualidades para la adecuación de la persona al puesto disponible. A igualdad de ellos, tendrán preferencia los trabajadores fijos y entre ellos prevalecerá la antigüedad en la empresa.

Artículo 12. Período de Prueba

Podrá concertarse por escrito un período de prueba, que en ningún caso podrá exceder de seis meses para los técnicos titulados, ni de dos meses para los demás trabajadores. En el caso de los contratos formativos, se estará a lo dispuesto en la legislación vigente.

Capítulo quinto. Régimen de Retribuciones

Artículo 13. Conceptos Retributivos

La retribución de cada trabajador comprenderá los conceptos que se enumeran a continuación:

a) Tabulables por categorías:

— Salario Base.

— Complemento de Categoría.

b) Personales:

— Complemento de Afinidad.

— Complemento Personal

— Complemento Personal de Experiencia.

c) De vencimiento periódico superior al mes:

— Gratificaciones extraordinarias.

d) A nivel de incidencias:

— Nocturnidad.

— Festividad.

— Actividad.

— Horas extraordinarias.

Artículo 14. Conceptos Indemnizatorios

Están constituidos por los siguientes:

a) Plus de transporte-distancia.

b) Ropa de trabajo.

c) Guardería y Preescolar.

d) Ayuda de estudios.

Artículo 15. Salario Base

El Salario Base mensual del personal durante el ámbito temporal de este Convenio, por la jornada pactada en el presente Convenio, será el que figura en el Anexo II para cada grupo profesional.

Artículo 16. Complemento Personal por Afinidad

A 31/12/2001 las cantidades percibidas por el concepto de antigüedad se congelan como complemento personal por afinidad, incorporando al mismo hasta la fecha la parte proporcional del siguiente tramo de antigüedad. Este complemento no será ni reabsorbido, ni compensado ni revalorizado en el futuro.

Artículo 17. Complemento Personal de Experiencia

A partir del 1/1/2002 se sustituye el complemento por antigüedad por el complemento por experiencia, que es el que figura e el Anexo II, cada tres años con un máximo de 8 de estos períodos.

Artículo 18. Complemento Personal

Son aquellas cantidades que la Dirección del Hospital libremente concede o pacta por encima de las retribuciones establecidas en este Convenio, en atención a circunstancias personales, responsabilidad del puesto de trabajo desempeñado, u otras circunstancias que la Dirección estime convenientes. Cuando estas cantidades se establezcan en función de la responsabilidad del puesto, figurarán en nómina en concepto de actividad fija.

Podrán ser absorbidas en cualquier modificación del Convenio o cuando desaparezcan las causas que motivaron la concesión de tal complemento personal.

Artículo 19. Nocturnidad

Se establece un plus de nocturnidad, consistente en el 25% del salario base, por las horas trabajadas, para el personal que preste sus servicios entre las 22 h. y las 6 h. del día siguiente, salvo que dicho personal hubiera sido contratado para el turno nocturno fijo, en cuyo caso devengará el complemento del Anexo II, tanto en las pagas ordinarias como extraordinarias y en vacaciones.

Artículo 20. Plus de Festividad

Tendrá derecho a percibir el Plus de Festividad, en la cuantía que se detalla a continuación y por cada uno de los festivos efectivamente trabajados, todo el personal que desarrolle su trabajo en domingo o festivo. No tendrá derecho al percibo de este Plus el personal que sea contratado específicamente para cubrir turnos en domingos o festivos. El importe es el que se especifica en el Anexo II.

Artículo 21. Complemento de Categoría

El Complemento de Categoría del personal durante el ámbito temporal de este Convenio, por la jornada pactada en el presente Convenio, será el que figura en el Anexo II. Tendrá carácter consolidable y revisable en cada negociación de convenio, salvo para aquellas categorías incluidas como Cargos Intermedios cuando así se formalice entre las partes mediante nombramiento y para aquellas con puestos de trabajo específicos, reseñadas en el mencionado Anexo.

Artículo 22. Horas Extraordinarias

Cada hora extraordinaria de trabajo que se realice en días laborables se abonará incrementada en un 75 % sobre el salario que corresponda a cada hora ordinaria.

El cálculo de las horas ordinarias de cada trabajador será el cociente que resulte de dividir el salario base, complemento de categoría, y de vencimiento periódico superior a un mes, referidos todos ellos al año natural, por el número de horas de trabajo anuales.

Las horas extraordinarias realizadas en domingos y festivos, se abonarán con un recargo del 100 % sobre el precio de la hora ordinaria.

Artículo 23. Actividad Variable

Las personas que desarrollen una actividad de especial responsabilidad o interés para el Hospital, recibirán una gratificación por este concepto.

Estas cantidades son variables, no se consolidan y desaparecerán de la nómina cuando desaparezca la circunstancia que la motivó.

La cuantía será determinada por la Gerencia en cada caso atendiendo a la necesidad y urgencia que la actividad suponga para el Hospital, dando información de las mismas al Comité de Empresa.

Artículo 24. Gratificaciones Extraordinarias

El Hospital abonará a todos los trabajadores el importe equivalente a 30 días de salario base, complemento por afinidad, complemento personal, complemento personal de experiencia, de categoría, si corresponde, los días 30 de junio y 30 de noviembre de cada año.

Con motivo de la festividad de San Juan de Dios, todo el personal percibirá, los días 31 de marzo y 30 de septiembre de cada año, el importe de quince días de salario base, complemento por afinidad, complemento de personal, complemento de personal de experiencia y de categoría en los casos que corresponda.

Estas gratificaciones extraordinarias se consideran devengadas por los períodos completos de servicio que se relacionan en el párrafo siguiente, por lo que aquellos trabajadores que no reúnan este requisito sólo se les abonará la parte proporcional correspondiente a los días efectivamente trabajados.

Los períodos, para el cálculo de estas gratificaciones, sin perjuicio de la posterior regularización en caso de finiquito, serán:

Gratificación de marzo:

Desde 1 de diciembre al 31 de enero

Gratificación de junio:

Desde el 1 de febrero hasta el 31 de mayo

Gratificación de septiembre:

Desde el 1 de junio al 31 de julio

Gratificación de noviembre:

Desde el 1 de agosto al 30 de noviembre

 

Consecuencia del cambio en el devengo de Pagas Extras que se realizó en el Convenio Colectivo del año 1994, quedó devengado un pasivo a un número determinado de trabajadores, que lo percibirán en el momento de desvinculación de la empresa. Por ello, y a fin de salvaguardar dicho derecho adquirido, se recoge la fórmula de cálculo del mismo, que será de aplicación a este grupo de trabajadores.

En virtud de lo cual, aquel trabajador con una antigüedad en el Centro anterior o igual a 28/02/1994, y cuya situación no hubiera sido liquidada o regularizada por cualquier causa, tendrá derecho a percibir, en el momento de su finiquito o regularización, un importe de paga extra cuyo cálculo es el siguiente:

Total pasivo 94= (Importe de una paga extra completa por 1,16) + [(Porcentaje días devengados-0,241) por Importe de paga extra completa].

Se entiende como porcentaje de días devengados, la diferencia entre la fecha de regularización y la fecha de inicio de devengo de la paga extra, dividido por los días de devengo de dicha paga extra.

Artículo 25. Plus de Transporte-Distancia

El Hospital abonará en concepto de Plus de Transporte a todos los trabajadores incluidos en el presente Convenio durante el ámbito temporal de este Convenio la cantidad que figura en el Anexo II.

Los trabajadores que venían percibiendo con anterioridad un Plus de Distancia adicional, consolidarán la cantidad que venían percibiendo. En ningún caso podrá otorgarse Plus de Distancia en lo sucesivo a los trabajadores.

Artículo 26. Guardias

Se entiende por guardia el horario complementario que excede de la jornada normal de trabajo de los facultativos y que viene obligada por las necesidades que derivan del funcionamiento continuado de la actividad sanitaria. Las guardias propiamente dichas requieren la presencia física del facultativo en el centro, frente a las guardias localizadas que se organizarán cuando las necesidades asistenciales no exijan dicha presencia pero sí la disponibilidad para su localización y presencia inmediata cuando sea requerido.

La compensación económica de las guardias de presencia física se realizará en función de su número y en las cuantías que figuran en el Anexo II: guardia de 17.00 h, laborables y guardia de 24.00 h, de fines de semana y festivos.

La cuantía de las guardias localizadas será la pactada entre la Empresa y el Comité.

Capítulo sexto. Jornada, vacaciones, licencias y excedencias

Artículo 27. Jornada Laboral

La jornada de trabajo se realizará de forma continuada o partida, y será de 39 horas semanales. Se desarrollará según calendario laboral, figurando como Anexo la Planificación Laboral, que deberá elaborar la Empresa con participación directa del Comité de Empresa y ser objeto de consulta e informe al respecto por los Representantes de los Trabajadores.

Los trabajadores con 60 años o más, con jornada completa, verán reducida su jornada en una hora diaria sobre el horario estándar de 7 horas/día, y en los demás casos proporcionalmente.

Todos los trabajadores disfrutarán de un descanso diario de 20 minutos que serán computados como jornada efectiva a todos los efectos.

El tiempo de trabajo se computará de modo que, tanto al comienzo como al final de la jornada laboral, el trabajador se encuentre en su puesto de trabajo.

El total de horas trabajadas anualmente deberá ser de 1.723

Artículo 28. Vacaciones

Cada trabajador disfrutará anualmente de un período de vacaciones de un mes natural, entendiéndose que el número de días de vacaciones será, por tanto, el que tenga dicho mes, o dos quincenas naturales.

Para fraccionar las vacaciones en más períodos habrá que solicitarlo por escrito a la Gerencia, documentando la excepción solicitada. En este caso, contarán a partir del día siguiente al último trabajado y hasta el día anterior al de incorporación, no superando el total de 26 días hábiles contados de lunes a sábados independientemente de la jornada que se disfrute.

Dicho período de vacaciones será retribuido con una mensualidad de salario base, complemento personal por afinidad, complemento personal, complemento personal de experiencia y de categoría.

El personal que ingrese durante el año disfrutará la parte proporcional de vacaciones que le corresponda, computándose para el cálculo de éstas, el período que va desde la fecha de ingreso hasta el final de año.

Las vacaciones serán disfrutadas por todo el personal por turnos fijados conjuntamente por la Dirección y el Comité de Empresa. En todo caso, las vacaciones serán concedidas de acuerdo con las necesidades del servicio de cada una de las dependencias.

Estos turnos serán rotatorios en los meses de Julio, Agosto y Septiembre, siempre con esta cadencia, salvo acuerdo expreso.

Los trabajadores que la disfruten intermensuales o partidas, se les contabilizará el mes que le corresponda.

El período de recaída en Incapacidad Temporal, la Incapacidad Temporal con hospitalización y las situaciones de Accidente de Trabajo o Enfermedad Profesional durante el tiempo de vacaciones, interrumpirá el disfrute de éstas, no computándose a partir de ellas dicho tiempo como de vacaciones.

El Hospital comunicará al personal, con dos meses de antelación, los turnos que se establezcan para el disfrute de las vacaciones; y una vez fijados, no se podrán cambiar, salvo a petición expresa y justificada del trabajador, siempre que las necesidades del Hospital lo permitan.

Los trabajadores que cesen antes del 31 de Diciembre, sin haber disfrutado las vacaciones que les correspondían, tendrán derecho a que se les abone la parte proporcional de las vacaciones correspondientes al tiempo trabajado, tomando como base anual de cálculo 30 días naturales. Si al cese el trabajador hubiese disfrutado sus vacaciones completas, se le deducirá de su liquidación el importe de los días disfrutados en exceso.

Artículo 29. Días de Convenio

El número de Días de Convenio o de libre disposición, por la jornada pactada en el presente Convenio, será de 8, tanto para jornadas fijas en turnos diurnos como nocturnos. Dichos días deberán ser solicitados en tiempo y forma.

El cálculo del número de días de convenio para trabajadores a tiempo parcial o con jornada irregular se realizará de la siguiente forma:

DC=HS/39 x 7/HD x 8

DC nº días de convenio anuales.

HC nº horas de convenio anuales.

HS nº horas de trabajo semanales contrato.

HD nº horas de trabajo diarias (horas de la jornada laboral).

Se redondeará al entero más próximo.

Si la duración de la jornada laboral fuera irregular se calculará y acumulará el equivalente horario mediante:

HC = HS/39 x 56

Así, por ejemplo, a un trabajador a tiempo parcial de 25 h/semana prestadas en 5 jornadas de 5 horas le corresponden 7.17 y por tanto 7 días de convenio. Igualmente, a un trabajador de 12 h/semana prestadas en dos jornadas le corresponden 2.87, es decir, 3 días de convenio al año.

Artículo 30. Días de Descanso para el Personal de las Unidades de Hospitalización

Se otorgará a todo el personal, que trabaje en festivos, dos domingos de descanso al mes de acuerdo con el calendario laboral específico de su unidad. La empresa se compromete a garantizar un reparto equitativo entre los trabajadores tanto de los festivos durante el año como muy especialmente de aquellos que por enmarcarse en las Fiestas de Navidad y Semana Santa, tienen mayor impacto en nuestra sociedad.

Artículo 31. Licencias y Permisos

El personal tendrá derecho a permiso retribuido en los siguientes casos y circunstancias:

1. Por matrimonio: 20 días naturales. Tales días, previo permiso de la Gerencia o de la Dirección, podrán comenzar a disfrutarse hasta con 6 días de antelación a la fecha prevista de la boda.

2. Por matrimonio de hijos, hermanos y padres: 1 día natural. Atendiendo a las circunstancias concretas de cada caso, en orden al lugar en el que se celebre la boda, la Gerencia podrá aumentar la licencia hasta 3 días.

3. Por nacimiento de hijos: 3 días naturales.

4. Por enfermedad grave o intervención quirúrgica, excluyéndose las de cirugía menor que no precisen hospitalización:

a) Cónyuges, hijos, hermanos, padres naturales o políticos: 3 días naturales.

b) Abuelos, nietos, e hijos y hermanos políticos: 2 días naturales.

Cuando el trabajador necesite hacer un desplazamiento al efecto, el plazo podrá ampliarse hasta en 2 días naturales más.

5. Por intervención de cirugía menor y sin hospitalización: 2 días naturales para el caso de que el intervenido sea cónyuge, padres o hijos del trabajador, siempre que convivan.

6. Por fallecimiento:

a) Hijos, padres naturales o políticos y/o hermanos: 3 días naturales, salvo en los casos de defunción del cónyuge existiendo hijos menores de 16 años, en que serán 6 días naturales.

b) Por defunción de abuelos, nietos, e hijos y hermanos políticos: 2 días naturales.

En el caso de que el óbito ocurriese en lugar distinto de la población de residencia del trabajador y éste se desplazase al lugar del fallecimiento, la licencia se podrá incrementar hasta en 2 días más.

7. Por traslado del domicilio habitual: 2 días naturales.

Con motivo de efectuarse el traslado o mudanza del domicilio habitual del personal, éste tendrá derecho a una licencia de 2 días naturales de duración, dentro del plazo de un mes natural a contar desde la fecha de firma del contrato de alquiler o desde la acreditación de la nueva situación, debiendo justificarlo mediante la presentación del oportuno justificante. No podrá solicitarse esta licencia de nuevo hasta transcurridos 6 meses desde la última solicitud

8. Por exámenes en Centros Oficiales: El tiempo necesario para ello.

9. Por el tiempo indispensable, para el cumplimiento de un deber inexcusable de carácter público y personal.

10. Por Bautizo y Primera Comunión de los hijos: El día en que tenga lugar la ceremonia.

11. Cuando por razón de enfermedad del trabajador, éste precise asistencia médica en Consultorio, tanto privado como de la Seguridad Social, en horas coincidentes ineludiblemente con su jornada laboral, se le concederá el tiempo necesario para ello, debiendo justificarse el mismo adecuadamente.

12. Los/as trabajadores/as, por lactancia de un hijo menor de nueve meses, tendrán derecho a una hora de ausencia del trabajo que podrán dividir en dos fracciones. El trabajador, a su voluntad, podrá sustituir este derecho por la reducción de la jornada normal en media hora por el propio tiempo y por la misma finalidad. En ningún caso se podrá sustituir este permiso por su equivalente horario en descansos.

El cómputo del disfrute de las licencias retribuidas por fallecimiento, enfermedad y nacimiento, comenzará a contar el día natural del hecho causante. No obstante lo anterior, si el día del hecho causante ha realizado la prestación de su jornada laboral íntegra, el cómputo empezará a contar a partir del día siguiente.

Artículo 32. Guarda Legal

Quien por razones de guarda legal tenga a su cuidado directo algún menor de ocho años o a una persona con discapacidad psíquica, física o sensorial, que no desempeñen actividad retribuida, tendrá derecho a una reducción de la jornada de trabajo, de entre un octavo a un medio de dicha jornada, con la reducción proporcional de sus retribuciones.

Artículo 33. Permisos Extraordinarios

En casos extraordinarios, debidamente acreditados documentalmente ante la Gerencia, ésta podrá conceder permiso por el tiempo preciso, según las circunstancias, podrá estipularse la no percepción de haberes.

Artículo 34. Justificación de los Permisos

En todos los casos y circunstancias el personal deberá comunicar previamente el acontecimiento que motive la licencia y justificará adecuada y documentalmente la realidad de su causa.

El incumplimiento de cualquiera de estos requisitos dará lugar a que la ausencia se considere, a todos los efectos, como falta injustificada.

Artículo 35. Excedencias

1.— Excedencia voluntaria.

El trabajador con al menos una antigüedad en la empresa de un año tiene derecho a que se le reconozca la posibilidad de situarse en excedencia voluntaria por un plazo no menor a cuatro meses y no mayor a cinco años. Este derecho sólo podrá ser ejercitado otra vez por el mismo trabajador si han transcurrido dos años desde el final de la anterior excedencia.

El trabajador que desee acogerse a este derecho, lo deberá comunicar por escrito a la empresa con una antelación mínima de al menos treinta días de la fecha del inicio. La empresa resolverá con una antelación mínima de quince días antes del inicio de la misma.

El trabajador excedente conserva durante el primer año derecho a la reserva del puesto de trabajo, y transcurrido este plazo la reserva quedará referida a un puesto de trabajo de igual o similar categoría a la suya que hubiera o se produjeran en la empresa.

2.— Excedencia forzosa.

La excedencia forzosa, que dará derecho a la conservación del puesto de trabajo y al cómputo de la antigüedad de su vigencia, se concederá por la designación o elección para un cargo público o funciones sindicales de ámbito provincial o superior que imposibilite la asistencia al trabajo.

La gestión de la solicitud de la excedencia forzosa será idéntica a la voluntaria. El reingreso deberá ser solicitado dentro del mes siguiente al cese en el cargo público o sindical.

3.— Excedencia por incompatibilidad.

Estando el centro concertado con la Consejería de Salud y siéndole de aplicación la Ley 53/84 y su Decreto de desarrollo, los trabajadores no podrán compatibilizar el desempeño de un puesto de trabajo en el hospital con otro puesto en el Servicio Andaluz de Salud. Los trabajadores que ocupando un puesto en el hospital con carácter indefinido se vean obligados a cesar en el desempeño del mismo en cumplimiento de la mencionada Ley, se les considerará en excedencia por incompatibilidad. Tal situación le dará derecho al reingreso preferente en vacantes de igual o similar categoría si en algún momento cesase la causa que lo originó.

4.— Excedencia por cuidado de hijos.

Los trabajadores tendrán derecho a un período de excedencia, no superior a tres años, para atender el cuidado de cada hijo, tanto cuando lo sea por naturaleza como por adopción, a contar desde la fecha de nacimiento de éste. Los sucesivos hijos darán derecho a un nuevo período de excedencia que, en su caso, pondrá fin al que se viniera disfrutando.

El período en que el trabajador permanezca en situación de excedencia por cuidado de hijos, será computable a efectos de antigüedad, y tendrá derecho a la reserva de su puesto de trabajo.

5.— Excedencia por acuerdo de las partes.

El trabajador, que no reuniendo los requisitos recogidos en los apartados anteriores, tuviera la necesidad de pasar a la situación de excedencia, lo solicitará a la empresa que la podrá conceder o denegar.

En caso de concesión, se firmará un acuerdo entre la empresa y el trabajador, del cual se informará al Comité de Empresa, en el que deberá figurar el período de excedencia así como las condiciones de reingreso.

Artículo 36. Jubilación

1. Jubilación a los 65 años.

El contrato de trabajo se extinguirá al cumplir el trabajador 65 años, siempre que tenga cubierto el período de cotización a la seguridad social exigido. En caso contrario, el contrato se extinguirá cuando el trabajador complete el período de carencia necesario para tener derecho a la jubilación.

2. Jubilación a los 64 años.

El trabajador afecto a este convenio podrá jubilarse a los 64 años sin aplicación de los coeficientes reductores y con los beneficios que tendrían de haberse producido a los 65 años, siempre que sea sustituido por otro trabajador en los términos establecidos en el Real Decreto 1.194/85 de 17 de julio.

Capítulo séptimo. Acción Social o Mejoras Sociales

Artículo 37. Nupcialidad

Todo trabajador que contraiga matrimonio percibirá la cantidad que por este concepto, si lleva más de dos años de servicio en el Hospital, figura en el Anexo II. Los que no alcancen dicha antigüedad, percibirán la cantidad correspondiente del Anexo II. Esta se considerará en concepto de nupcialidad.

Artículo 38. Ayuda de Natalidad

Con motivo del nacimiento de cada hijo, el trabajador percibirá el importe que figura en el Anexo II. En caso de ambos cónyuges trabajen en el Hospital esta ayuda será de percibo único.

Artículo 39. Ayuda de Estudios

Por cada hijo/a de padre y/o madre trabajadores del centro, con más de un año de antigüedad en la empresa, se percibirá en concepto de ayuda escolar, pagadera en el mes de septiembre o en el caso de Educación Infantil desde la presentación del primer recibo justificativo de la asistencia a la misma, las cantidades que a continuación se indican. Asimismo los trabajadores que cursen estos estudios percibirán las mismas ayudas que las establecidas para sus hijos.

Las cantidades son las que figuran en el Anexo II.

En el caso de la Educación Infantil (Guardería/Preescolar no gratuitos) se acreditará suficientemente la asistencia mediante la presentación a posteriori de cada uno de los recibos mensuales abonados.

Los trabajadores con contrato a tiempo parcial inferior a 30 h/semana percibirán la parte proporcional a dichas ayudas. En los casos en que esta reducción de jornada se deba al cuidado de hijos, el trabajador percibirá la totalidad de la ayuda establecida en su caso.

El alumno universitario no podrá ser beneficiario de la ayuda establecida cuando sobrepase en un año la duración académica de los estudios. Acreditará haber aprobado al menos una asignatura por curso académico y que el número de créditos o asignaturas cursadas, sean equivalentes a un curso académico completo.

Las ayudas establecidas en este artículo se entenderán en todo caso para estudios oficiales, excluyéndose aquellos complementarios y los no homologados oficialmente.

Artículo 40. Ayuda por Hijo Disminuido

Los trabajadores que tengan a su cargo hijos disminuidos física o psíquicamente, percibirán la cuantía que se establece en el Anexo II por el mencionado concepto.

Estos trabajadores tendrán preferencia a optar a turnos que mejoren su situación laboral, mediante el informe del Trabajador Social de la empresa.

Los trabajadores que, por razones de guarda legal, tengan a su cargo el cuidado directo de alguna persona que por razones de edad, accidente o enfermedad no pueda valerse por sí mismo (que no sea hijo de los mismos) percibirán las mismas cantidades establecidas en el presente artículo para los casos de sus hijos.

Artículo 41. Premio de Vinculación

Los trabajadores en activo, en concepto de su permanencia en el Hospital, serán premiados con el importe de una mensualidad al cumplir los veinticinco años servicios computables a efectos de antigüedad.

Artículo 42. Incapacidad Temporal

Durante el período de baja por Incapacidad Temporal el trabajador percibirá los haberes que la ley establece, complementados por la Empresa en un 100% de los conceptos retributivos contemplados en los apartados a), b) del artículo 13 y la nocturnidad fija cuando proceda.

Llegado el momento de percibir las gratificaciones extraordinarias la Empresa complementará hasta el 100 %, de forma que el trabajador perciba la totalidad de la paga extra que le corresponda.

Artículo 43. Premio de Jubilación

Los trabajadores con más de 15 años de servicio en el Hospital, percibirán, en el momento de su jubilación, un premio por este concepto, consistente en 2 mensualidades. Percibirá estas 2 mensualidades, en caso de fallecimiento de trabajadores con más de 15 años de servicio, sus herederos legítimos por derecho civil.

Artículo 44. Prendas de Trabajo

Al tomar posesión de la plaza de trabajo, se entregarán al trabajador dos uniformes completos. Cada dos años de servicio se entregarán al trabajador, las prendas necesarias para mantener los uniformes en condiciones de uso adecuado, que le permita alternarlos, para proceder al lavado. Los trabajadores se obligan a entregar los uniformes usados, a la entrega de los nuevos, más aún cuando la solicitud sea causada por algún deterioro extraordinario.

Artículo 45. Salud Laboral

1.— Se acuerda en todo lo referente a este capítulo la remisión a la Ley de Prevención de Riesgos Laborales, de 8 de Noviembre de 1.995. Asimismo, respecto de los órganos de representación previstos en dicha ley se acuerda:

a) Los Delegados de Prevención (D.P.) que correspondan, según el artículo 35 de la citada ley, se elegirán en proporción directa a la representación sindical que exista en el seno del Comité de Empresa.

b) En el caso de que corresponda elegir un número de Delegados de Prevención impar, y hubiera empate entre las distintas representaciones sindicales, el desempate se resolverá aplicando el mismo cómputo de recuento de votos de las elecciones sindicale celebradas, de forma que el D.P. quedará asignado al Sindicato que más votos haya obtenido en las mismas.

c) Los Delegados de Prevención dispondrán de 20 horas para el ejercicio de sus funciones. En el cómputo de estas horas no se contabilizará el tiempo empleado en las reuniones convocadas por el Presidente del Comité de Seguridad y Salud.

d) Los delegados del C.E. podrán elegir a los Delegados de Prevención que les correspondan según los apartados b) y c) de entre sus representantes en dicho Comité o bien de entre los trabajadores del centro.

e) El Comité de Seguridad y Salud C.S.S. adoptará sus propias normas de funcionamiento como establece el artículo 38.3 de la Ley de P.R. A este fin sus miembros elaborarán un reglamento de régimen interno.

2.— La mujer trabajadora, al quedar embarazada, tendrá derecho a que la Dirección del Centro examine si el trabajo que desempeña puede afectar a su estado, previo informe facultativo y del Comité de Seguridad y Salud, designándose al efecto el puesto de trabajo que pueda desempeñar sin que pueda suponer pérdida de ningún concepto retributivo que viniera percibiendo»

Artículo 46. Anticipos al Personal

La Dirección del Centro mantendrá un fondo de 18.030,36 de euros para la concesión al personal de anticipos sobre su nómina, sin interés.

Estos anticipos reintegrables se destinan a conseguir que los trabajadores puedan acceder a la titularidad de la primera vivienda, reparación y/o adquisición de vehículos, además de ayudarles a atender gastos extraordinarios con motivo de enfermedad y otras necesidades.

La cantidad total anticipada no podrá ser superior a 3.005,06 euros.

El plazo total para la devolución periódica de estos anticipos, no podrá exceder en ningún caso de tres años. En los casos de préstamos superiores a 1.803,04 euros se obligará al trabajador a reintegros tanto en las pagas ordinarias como en las gratificaciones extraordinarias.

Cuando se solicite un segundo préstamo en un plazo inferior a 18 meses se devengará un 5 % de interés anual, siempre sobre la cantidad anticipada.

Artículo 47. Actividades Recreativas y Culturales

Con el fin de procurar la unión, la armonía y el respeto mutuo el Hospital y su Comité de Empresa fomentarán y promocionarán, cuanto les sea posible, todas aquellas actividades culturales y recreativas que tiendan a mejorar la convivencia de los hombres y mujeres que componen su equipo humano y a la identificación corporativa.

Artículo 48. Seguro de Responsabilidad Civil

La empresa se compromete a hacer extensible a todos los trabajadores de la misma un Seguro de Responsabilidad Civil, así como ampliarlo a la cobertura de las franquicias a que hubiere lugar.

Artículo 49. Seguro de Accidentes

La empresa se compromete a hacer extensible a todos los trabajadores del Hospital un Seguro de Accidentes que incluye la cobertura en caso de riesgo profesional, que será la recogida en su póliza.

Capítulo octavo. Premios, Faltas y Sanciones

Artículo 50. Responsabilidad del Personal

Todo el personal, sin excepción alguna, será responsable ante la Dirección Gerencia del Hospital, no sólo de la función o funciones que tengan encomendadas, sino de su conducta y observancia en los preceptos y obligaciones establecidas en este Convenio  en la legislación vigente, sin perjuicio de la responsabilidad civil o penal a que, en su caso, hubiere lugar.

Artículo 51. Faltas.

Se consideran faltas las acciones y omisiones, cometidas por el personal, que impliquen realización de hechos delictivos, carencia de las debidas condiciones de moralidad y honradez, incumplimiento de los principios de disciplina, rendimiento normal en el trabajo o imprudencia y negligencia en el cumplimiento del servicio.

Artículo 52. Clasificación de las Faltas

Las faltas, con arreglo a su importancia, trascendencia e intencionalidad, se clasifican en leves, graves y muy graves.

Artículo 53. Faltas Leves

Con carácter enunciativo, se consideran faltas leves las siguientes:

1. Las de puntualidad injustificada en la asistencia al trabajo hasta tres en un mes.

2. La mera desatención o descortesía con cuantas personas se relacione el trabajador durante el servicio.

3. No cursar en tiempo oportuno las bajas correspondientes por enfermedad o accidente laboral, a no ser que se pruebe la imposibilidad de haberlo efectuado.

4. La dilatación, de forma consciente y deliberada, de los 20 minutos de descanso (para el "bocadillo").

5. La inobservancia intrascendente de normas u obligaciones reglamentarias.

6. La mera desobediencia a los superiores en cualquier materia de servicio, siempre que no sea manifestada de palabra, en cuyo caso, constituirá una falta grave, según la actitud o términos empleados en la contestación.

7. La imprudencia en el trabajo respecto a las más elementales normas de higiene y seguridad en el trabajo, así como descuidos negligentes en la conservación del instrumental.

8. Faltar al trabajo un día al mes sin causa justificada.

Artículo 54. Faltas Graves

Tendrán, igualmente con mero carácter enunciativo, la consideración de faltas graves las siguientes:

1. La reiteración o reincidencia en la comisión de faltas leves.

2. Más de tres faltas no justificadas de puntualidad en la asistencia al trabajo, durante un período de 30 días.

3. El abandono del servicio sin previo aviso y causa justificada, aunque sea por breve tiempo. Si como consecuencia se derivasen perjuicios para el Hospital, sus usuarios, o para los demás trabajadores, esta falta puede llegar a ser considerada como muy grave.

4. Ausencia al trabajo sin causa justificada dos días durante el período de un mes.

5. Pronunciar blasfemias en actos de servicios, así como sostener discusiones injustificadas o violentas durante el trabajo.

6. La simulación de enfermedad o accidente.

7. Falsear los datos aportados en las declaraciones formuladas a cualquiera de los efectos legales para los que se soliciten.

8. La embriaguez y el consumo de drogas, siempre que no sea habitual, en cuyo caso se calificará como falta muy grave.

9. La alteración o permuta de puestos de trabajo o turnos, sin la debida autorización de la Dirección.

10. Simular la presencia de otro trabajador, fichando, contestando o firmando por él.

11. Realizar, sin el oportuno permiso, trabajos particulares durante la jornada laboral, así como emplear instrumental o material del Centro para uso propio.

12. El dormir durante las horas de trabajo, siempre que no cause un daño irreparable, en cuyo caso será falta muy grave.

13. Las de indiscreción, negligencia o falta de ética profesional, siempre que no motiven reclamación por parte de terceros o impliquen perjuicios irreparables, en cuyo caso se calificarán como faltas muy graves.

Artículo 55. Faltas Muy Graves

Se considerarán como faltas muy graves, entre otras, las siguientes:

1. Más de 10 faltas no justificadas de puntualidad, cometidas en un período de seis meses, o 20 faltas en un año.

2. El fraude, deslealtad o abuso de confianza en las gestiones encomendadas y el hurto o robo.

3. Hacer desaparecer, inutilizar, destrozar o causar desperfectos en el instrumental, aparataje, instalaciones, edificios, enseres o documentos del Centro.

4. Violar el secreto de la correspondencia o documentos reservados del Hospital, o revelar, a elementos extraños a la misma, datos de reserva obligada.

5. El abandono del trabajo a su fin, cuando no haya acudido el relevo, y de esta actuación se desprenda un perjuicio grave.

6. Los malos tratamientos de palabra u obra a los compañeros o superiores, así como a los usuarios o sus familiares.

7. La disminución continuada y voluntaria del rendimiento del trabajo normal o pactado.

8. La reincidencia en faltas graves, aunque sea de distinta naturaleza. Siempre que se cometa dentro de los seis meses siguientes de haberse producido la anterior.

9. El abuso de autoridad por parte de los Jefes y Superiores. La persona que lo sufra lo pondrá en conocimiento inmediato de la Dirección del Hospital. Se entiende por abuso de autoridad, además de lo establecido en los reglamentos jurídicos, la extralimitación en las funciones específicas de cada cargo, con evidente desviación de manera violenta o inadecuada al normal trato que rige toda relación de convivencia.

Artículo 56. Sanciones

Cuando el personal incurra en alguna falta, antes de proceder a imponer la sanción se comunicará al Comité de Empresa y se solicitará informe previo.

Las sanciones máximas que podrán imponerse, en cada caso, atendiendo a la gravedad de la falta cometida, serán las siguientes:

1. Por faltas leves, suspensión de empleo y sueldo hasta de dos días.

2. Por faltas graves, suspensión de empleo y sueldo hasta quince días.

3. Por faltas muy graves, suspensión de empleo y sueldo hasta sesenta días, pudiéndose llegar hasta el despido disciplinario.

Artículo 57. Prescripción de las Faltas

La facultad del Hospital para sancionar caducará para las faltas leves a los tres días de que fuera conocido el hecho o pudiera conocerse de forma fehaciente por la Dirección: para las faltas graves a los quince días, y las muy graves al mes, y en todo caso a los seis meses de haberse cometido.

Artículo 58. Cumplimiento de las Faltas

Las sanciones que se impongan por faltas leves se cumplirán cuando lo señale la Dirección del Centro, pero siempre dentro del plazo de los veinte días hábiles siguientes a su imposición.

Las sanciones por faltas graves y muy graves, excepto la de despido, se empezarán a cumplir dentro del plazo de treinta días hábiles siguientes a la fecha de su firmeza, entendiéndose firmes cuando hayan transcurridos veinte días hábiles desde la fecha de notificación del acuerdo sin que el sancionado lo haya impugnado ante la Jurisdicción Laboral.

La sanción de las faltas graves y muy graves, requerirá comunicación escrita al trabajador, haciendo constar la fecha y los hechos que la motiven.

Artículo 59. Cancelación de las Faltas

Las sanciones se cancelarán, salvo a efectos de reincidencia, por el simple transcurso del tiempo, al siguiente tiempo:

a) Las leves, a los tres meses de su imposición.

b) Las graves, a los nueve meses de su imposición.

c) Las muy graves, a los dieciocho meses de su imposición.

Artículo 60. Premios

El Hospital puede establecer premios en razón de la actividad sobresaliente del personal, cuando de forma individual o colectiva demuestren condiciones especiales de iniciativa, cualificación y actualización profesional, responsabilidad, disponibilidad, etc. en el cumplimiento de sus deberes, contribución a los objetivos del Hospital, humanización e identificación asistencial con el ideario de la Orden Hospitalaria que define y caracteriza al Centro.

Estos premios serán concedidos discrecionalmente por la Dirección Gerencia.

Capítulo noveno. Disposiciones Varias

Artículo 61. La Comisión Paritaria

1.— Para la recta interpretación y vigilancia de la ejecución del presente Convenio Colectivo se crea una Comisión Paritaria, cuyos componentes constan en el acta.

2.— La Comisión se reunirá cuando lo convoque cualquiera de las partes.

La convocatoria habrá de hacerse por escrito con al menos 3 días hábiles de antelación e incluyendo imprescindiblemente el orden del día.

3.— La Comisión estará formada por 3 miembros del Comité de Empresa y 3 personas más, designadas por la Dirección Gerencia de la empresa. De entre los seis componentes de la Comisión se elegirá por la misma un Presidente y un Secretario.

4.— Los acuerdos de la Comisión requerirán para su validez la conformidad de cuatro componentes, como mínimo.

5.— Todos los trámites conciliatorios no podrán rebasar en su conjunto el plazo de 10 días hábiles contados a partir de la fecha en que a la Comisión le sea sometido cada asunto. En caso de discrepancias, se acudirá a la jurisdicción social competente.

Artículo 62. Condiciones Más Beneficiosas

Por ser condiciones mínimas las establecidas en este Convenio se respetarán las superiores a títulos personales implantadas con anterioridad, en cuanto a las económicas, se mantendrán sólo aquellas que sean superiores.

Artículo 63. Derecho Sindical

1.— El Comité de Empresa dispondrá de un lugar para sus reuniones dotado de los medios necesarios para el ejercicio de sus funciones.

2.— Cada miembro del Comité de Empresa dispondrá de 20 horas mensuales de crédito acumulables durante el mes de horas retribuidas para el ejercicio de sus funciones de representación.

3.— El Comité de Empresa podrá reunirse en Asamblea con los trabajadores de la empresa, fuera de las horas de trabajo, debiéndolo comunicar a la Empresa con 48 horas de antelación como mínimo.

4.— La Empresa se reunirá con el Comité de Empresa antes de imponer una sanción por falta grave o muy grave.

5.— El Comité de Empresa conocerá obligatoriamente la copia básica de los contratos de trabajo en aplicación de la Ley 2/91.

6.— El Comité de Empresa tendrá la competencia de conocer el balance, la cuenta de resultados y la memoria.

7.— El Comité de Empresa tendrá la competencia de emitir informe con carácter previo a la ejecución por parte del empresario de las decisiones adoptadas por éste sobre las siguientes cuestiones:

a) Reestructuraciones de plantilla y ceses totales o parciales, definitivos o temporales de aquella.

b) Reducciones de jornada, así como traslado total o parcial de las instalaciones.

c) Planes de Formación Profesional de la empresa.

d) Implantación o revisión de sistemas de organización y control del trabajo.

e) Estudios de tiempos, establecimiento de sistemas de primas o incentivos y valoración de puestos de trabajo.

8.— Los representantes de los trabajadores que cesasen en el ejercicio de su función por expiración de sus respectivos mandatos, gozarán de las garantías establecidas en la ley para estos supuestos, por espacio de un año, a partir de la fecha del cese com representante sindical, y en general de las incluidas en el artículo 68 del E.T.

9.— El Comité de Empresa dispondrá de uno o varios tablones de anuncios dentro de la empresa.

Artículo 64. Comité de Empresa

Para el mantenimiento y sostenimiento de los gastos del Comité de Empresa, así como para el asesoramiento para el personal de este Hospital por parte de dicho Comité, se establece una cuota mensual a abonar por cada trabajador de 1,80 euros, que será detraída por la Empresa de la nómina y transferidas a la cuenta corriente que indique el reiterado Comité. Esta cantidad se revisará en función de las necesidades.

Disposición Final

Primera.— En lo no dispuesto en este Convenio Colectivo, se atenderá al Estatuto de los Trabajadores, Ordenanzas Laborales y demás legislación vigente.

Segunda.— Ambas partes acuerdan que el abono de los salarios devengados con carácter retroactivo se efectúe en un plazo máximo de 3 meses desde la fecha de la firma de este Convenio.

Anexo I

Clasificación del personal según grupo profesional

Grupo 1.—Licenciados y Titulados Superiores.

Jefe de Servicio

Jefe de Unidad

Médico Especialista/Facultativo Especialista

Médico

Farmacéutico

Psicólogo

Jefe Grupo G1

Técnico Superior

Grupo 2.— Diplomados y Titulados Grado Medio.

Supervisor de Enfermería

Enfermero/DUE

Enfermero/DUE Peligroso (*)

Fisioterapeuta

Trabajador Social

Jefe Grupo G2

Técnico Medio

Grupo 3.— Técnicos Especialistas.

Técnico Especialista TER/TEL

Jefe Grupo G3

Jefe Unidad G3

Técnico Especialista FP-2º

Oficial Administrativo

Grupo 4.— Técnicos Auxiliares y asimilados.

T.C.A.E./ Aux. Enfermería

T.C.A.E./ Aux. Enfermería Peligroso (*)

Jefe Unidad G4

Auxiliar Administrativo

Gobernante Hostelería

Cocinero

Conserje

Conductor

Almacenero

Telefonista

Oficial de Mantenimiento

Ayudante de Cocina

Técnico en Farmacia

Grupo 5.—No cualificados.

Costurera

Auxiliar de Cocina

Lavandera-Planchadora

Limpiadora

Limpiadora Peligrosidad (*)

Celador

Ayudante Mantenimiento

(*) Categorías con puestos de trabajo específicos.

Definición de las categorías

Cargos intermedios

Jefe de Servicio y Unidad.— Les corresponde organizar y dirigir el Servicio/Unidad facultativo dentro de las normas internas del Hospital, de las instrucciones permanentes y órdenes generales y de acuerdo con las orientaciones de la Dirección, velando por el correcto funcionamiento del Servicio/Unidad y vigilando la conservación y trato adecuado de las instalaciones del mismo.

Supervisor de Enfermería.— Diplomado en Enfermería encargado del control, coordinación y asignación de funciones a los DUE/ATS y Auxiliares de Clínica dentro de las áreas definidas y de acuerdo con las orientaciones de la Dirección.

Jefe de Grupo y Unidad.— Les corresponde organizar y dirigir el Grupo/Unidad no sanitaria dentro de las normas internas del Hospital, de las instrucciones permanentes y órdenes generales y de acuerdo con las orientaciones de la Dirección, velando por el correcto funcionamiento del Grupo/Unidad y vigilando la conservación y trato adecuado de las instalaciones del mismo.

Puestos base

Médico Especialista/Facultativo Especialista.— Titulado superior de carácter asistencial, en posesión del título de la especialidad correspondiente, que le acredita para contribuir al diagnóstico y tratamiento de los enfermos de su especialidad y que colaborara en todos los órdenes al mejor desarrollo de la labor del Hospital.

Médico.— Corresponde al mismo el diagnóstico básico, seguimiento y evolución de los enfermos a su cargo y colaborar en todos los órdenes al mejor desarrollo de la labor que le asigne.

Farmacéutico.— Titulado Superior de Farmacia que tendrá a su cargo la farmacia del Hospital realizando y llevando a efecto, además de las funciones propias de su titulación, las directrices que le marque la Gerencia para el óptimo funcionamiento de aquella.

Psicólogo.— Es aquel Titulado Superior que realiza las funciones propias de su profesión.

Técnico Superior.— Es aquel Titulado Superior que realiza las funciones de dirección, ejecución y/o estudio de carácter económico- administrativo o de servicios generales que le sean encomendadas por la Dirección.

Enfermero/D.U.E.— Son aquellos profesionales que desarrollan su labor de cuidados de enfermería, en orden al mejor tratamiento del enfermo, realizando todas aquellas actividades que les encargue el Supervisor.

Enfermero/D.U.E Peligroso.— Son aquellos DUE que realizan sus funciones en Radiodiagnóstico, Laboratorio o Quirófanos.

Fisioterapeuta.— Son aquellos que estando en posesión del diploma de Fisioterapia realizan la aplicación de tratamiento con medios físicos que, por prescripción facultativa, se prestan a los enfermos de todas las especialidades de medicina y cirugía, aplicando cuantas técnicas fisioterapéuticas puedan utilizarse en el tratamiento del enfermo.

Trabajador Social.— Es aquel Titulado de Grado Medio, que realiza las funciones propias de su profesión.

Técnico Medio.— Es aquel Titulado Medio que realiza las funciones de dirección, ejecución y/o estudio de carácter económico- administrativo o de servicios generales que le sean encomendadas por la Dirección.

Técnico Especialista TER/TEL.— Los Técnicos Especialistas en Radiología (TER) y en Laboratorio (TEL) realizarán las funciones propias a las que le faculta su titulación.

Técnico Especialista.— Es aquel que estando en posesión del título de Técnico Especialista (F.P.— II) no sanitario desarrolla las funciones propias a las que le faculta su titulación Oficial Administrativo.— Son aquellos trabajadores que con probada profesionalidad y eficacia llevan a cabo funciones de administración en general.

T.C.A.E./Auxiliar Sanitario.— Es el trabajador en posesión del título de Técnico en Cuidados Auxiliares de Enfermería (Formación Profesional de Grado Medio), también denominado Auxiliar de Clínica o Auxiliar de Enfermería, que colaboran con los diplomados de enfermería en la labor de cuidados del paciente y su entorno, especialmente orientado a las necesidades básicas: comida, higiene, descansos.

T.C.A.E./Auxiliar Sanitario Peligroso.— Es aquel Técnico en Cuidados Auxiliares de Enfermería que desarrolla sus funciones en Radiología, Laboratorios o Quirófano.

Técnico en Farmacia.— Es el trabajador en posesión del título de Técnico en Farmacia (Formación Profesional de Grado Medio), que desempeña las funciones propias a las que le faculta su titulación, en el Servicio de Farmacia, bajo la supervisión del Farmacéutico.

Auxiliar Administrativo.— Es el trabajador que se dedica a los servicios auxiliares de Administración.

Gobernante de Hostelería.— Bajo la tutela de la dirección ejercerán la coordinación y control de las áreas de hostelería asignadas, ropería-lavandería, Alimentación y Limpieza, vigilando el buen funcionamiento de las mismas.

Cocinero.— Es el encargado de efectuar la cocción y condimentación de cuantos platos figuren en el menú del día, cuidando con esmero tanto la calidad y presentación como el aprovechamiento de los alimentos en pro de un mejor servicio y economía, colaborando en las tareas de emplatado.

Conserje.— Es aquel que desarrollará con iniciativa las labores propias de su profesión, cuidando adecuadamente las labores de portería, recepción, traslado de enfermos y realizando cuantos recados le sean encomendados.

Conductor.— Es conductor de automóviles que sepa ejecutar como mecánico toda clase de reparaciones que no requieran elementos de taller.

Almacenero.— Es aquel trabajador que desarrollando sus funciones en el Almacén realizará la recepción de mercancías y su almacenamiento, así como su posterior distribución interna, vigilando en todo momento la adecuada conservación de los “stocks” y responsabilizándose de su custodia.

Telefonista.— Es el encargado de la centralita del servicio telefónico del Centro, y establecerá las comunicaciones telefónicas con el interior o con el exterior, anotando y cuidando cobro de las mismas, especialmente de las conferencias interurbanas que sostengan los enfermos y acompañantes.

Oficial de Mantenimiento.— Es el que estando en posesión de los conocimientos técnicos necesarios, se ocupa del buen funcionamiento, conducción y mantenimiento de las instalaciones.

Ayudante de Cocina.— Son aquellos Auxiliares de Cocina, que por su experiencia y cualificación, podrán desarrollar además, por delegación y cuando así les sea requerido, labores de cocción y condimentación.

Costurera.— Son las empleadas que, con conocimiento específico de costura realizan los trabajos propios de esta categoría.

Auxiliar de Cocina.— Ayudará al cocinero en los trabajos que exijan una menor formación profesional, se ocuparán del fregado de menaje, vajilla y utensilios de cocina así como de la distribución de las comidas.

Lavandera-Planchadora.— Son las empleadas que se dedican al lavado y planchado de tejidos y ropas, a mano o mecánicamente.

Limpiador-a.— Esta categoría de personal se ocupa del aseo y limpieza de las habitaciones, servicios en general, pasillos, cafetería, oficinas, y demás dependencias de centro. Asimismo, como tal categoría, realizarán la limpieza de la vajilla y menaje hasta la implantación del sistema de distribución centralizado.

Limpiador-a Peligrosidad.— Es aquella limpiadora que desarrolla sus funciones en Radiología, Laboratorio o Quirófanos.

Celador.— Es aquel que tiene como misión hacer recados, recoger y entregar la correspondencia, traslado de enfermos dentro del centro y vigilar las puertas de accesos, regulando la entrada de personal y visitante.

Ayudante de Mantenimiento.— Es el personal que con unos conocimientos generales del oficio correspondiente, auxilian al personal especializado de su categoría en la ejecución de los trabajos propios o efectúan aisladamente otros de menor importancia.

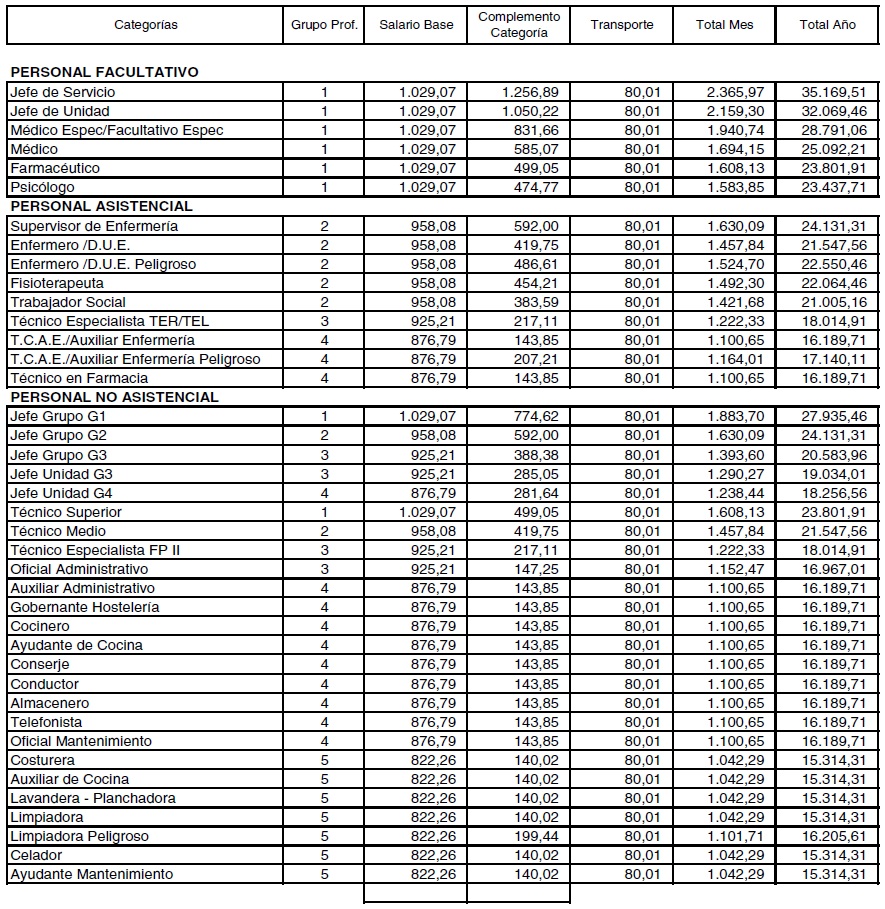
Anexo II

Tabla retributiva 2012

Imagen

Imagen

 (*) Categorías con puestos de trabajo específicos.

(+) Cargos intermedios.

Anexo III

Planificación laboral

Artículo único.— Planificación del trabajo.

Conforme a lo establecido en el artículo 26 del presente Convenio Colectivo, la planificación del trabajo será objeto de consulta e informe por parte del Comité de Empresa. La dirección de la empresa, en la forma prevista en el inciso anterior, podrá modificar por necesidades del servicio la organización del trabajo que se anexa, que deberá considerarse como un estándar, todo ello sin perjuicio de lo establecido en el artículo 6 de este convenio.

1.— Administración.

Tipo de jornada: Días laborables.

— 4 días del ciclo de 8h a 15h.

— 1 día del ciclo de 8h a 20h.

2.— Admisión.

Tipo de jornada: Días laborables.

— 3 días del ciclo de 8h a 15h.

— 1 día del ciclo de 8h a 20h.

— 1 día de 8h a 14h.

— 1 sábado de cada 5.

3.— Anestesia y reanimación.

Tipo de jornada: días laborables.

— Mañana: 8h a 15h.

— Tarde: 15h a 22h.

— Consultas Preanestesia: 16h a 20h.

4.— Area de enfermería.

(a) Turnos diurnos.

Tipo de jornada: 365 días/año.

— Mañana: 8h a 15h.

— Tarde: 15h a 22h.

— Descansos adicionales: según servicio correspondiente.

(b) Turno nocturno.

Tipo de jornada: 365 días/año.

— Horario: 22h a 8h.

— Descansos adicionales: según servicio correspondiente.

(c) Quirófano.

Tipo de jornada: días laborables.

— Mañana: 8h a 15h.

— Tardes: 15h a 22h.

5.— Médicos.

Tipo de jornada: días laborables.

— Mañanas: 8h a 15h.

— Tarde:15h a 19h.

— Varía según servicio.

6.— Conserjería.

Tipo de jornada: 365 días/año.

— Mañanas: 8h a 15h.

— Tardes:15h a 22h.

— Noches: 22h a 8h.

— Turnos adicionales tarde: 15h a 20h.

7.— Lavandería.

Tipo de jornada: días laborables.

— Mañanas: 8h a 15h.

— Tardes:15h a 22h.

— Descanso adicional correspondiente según servicio.

8.— Limpieza.

Tipo de jornada: días laborables.

— Mañanas: 8h a 15h.

— Tardes:15h a 22h.

— Descanso adicional correspondiente según servicio.

9.— Mantenimiento.

Tipo de jornada: días laborables.

— Mañanas: 8h a 15h.

— Tardes:15h a 19h.

— Descanso adicional correspondiente según servicio.

10.— Telefonista.

Tipo de jornada: 365 días/año.

— Mañanas: 8h a 15h.

— Tardes: 15h a 22h.