17355  documentos en la base de datos
Convenios por Federación
♦ FICA
♦ FeSMC
♦ FeSP
 

JUNTA DE ANDALUCIA

Consejería de Empleo

Delegación Provincial de Córdoba

Sección de Relaciones Colectivas

Código de Convenio número 14001042011988.

Visto el Texto del Convenio Colectivo suscrito con fecha 28 de enero de 2011, por la Comisión Negociadora del Convenio Colectivo de la Empresa Municipal Saneamientos de Córdoba S.A., con vigencia desde el día 1 de enero de 2010 hasta el día 31 de diciembre de 2011, y de conformidad a lo establecido en el artículo 90 del Estatuto de los trabajadores y en el Real Decreto 713/2010, de 28 de mayo, sobre registro y depósito de convenios y acuerdos colectivos de trabajo, en Autoridad Laboral, sobre la base de las competencias atribuidas en el Real Decreto 4043/1982, de 29 de diciembre, sobre Traspaso de Funciones y Servicios de la Administración a la Junta de Andalucía en materia de trabajo, el Decreto del Presidente de la Junta de Andalucía 14/2010, de 22 de marzo, sobre reestructuración de Consejerías y el Decreto 136/2010, de 13 de abril, por el que se aprueba la estructura orgánica de la Consejería de Empleo y del Servicio Andaluz de Empleo.

Acuerda

Primero.

Ordenar su inscripción en el registro de convenios y acuerdos colectivos de trabajo de la Dirección General de Trabajo de Ministerio de Trabajo con funcionamiento a través de medios electrónicos, con notificación a la Comisión Negociadora del Convenio.

Segundo.

Disponer su publicación en el BOLETÍN OFICIAL de la Provincia.

El Delegado Provincial de Empleo Junta Andalucía, Antonio Fernández Ramírez.

Acta de la Constitución de la Comisión Negociadora del convenio colectivo de la empresa municipal “Saneamientos de Córdoba, S.A.”, celebrada el día 14 de diciembre de 2009.

En la ciudad de Córdoba, siendo las doce horas del día catorce de Diciembre de dos mil nueve, en la sede social de la Empresa Municipal Saneamientos de Córdoba, S.A, sita en Avda. Medina Azahara nº 4, se reúnen:

De una parte los representantes de la Empresa:

D. Antonio Delgado Eslava, Director-Gerente

D. Germán Ramírez Aranda, Director-Gerente adjunto

Dª Ana Herrador Martínez, Directora Dpto. Recursos Humanos

D. Francisco Cabrera García, Director Serv. Técnicos

D. Jesús Diz Pérez, Director de Servicios Operativos

D. Enrique Flores Ruiz, Director Sanidad y Plagas

Y de otra parte los miembros del Comité de Empresa:

D. Juan A. Grande Alanzabe, CC.OO.

Dª Mª Carmen Fernández Jiménez, CC.OO.

D. Purificación Cañero Mejías, CC.OO.

D. Bienvenido Dugo Reyes, CC.OO.

D. Francisco Fernández Gómez, C.G.T.

Dª Mª Jesús Codes Merino, C.G.T.

D. Carlos Ruiz Navarro, C.G.T.

D. Antonio Jiménez Roldan, C.G.T.

D. Antonio Porcel López, C.T.A.

D. Antonio Expósito Cendan, C.T.A.

Dª Sonia Muñoz Ruiz, U.G.T.

D. José Luis Gracia Sabada, Independiente

Dª Mª Carmen Sánchez Cabrera, delegada de la S. Sindical CC.OO.

D. Rafael Secilla Almagro, delegado de la S. Sindical CC.OO.

Dª Inés Pérez Pulido, delegado de la S. Sindical C.G.T.

D. Francisco J. Viana Moreno, delega de la S. Sindical C.T.A.

D. José Manuel Martínez Hidalgo, delegado de la S. Sindical U.G.T.

Y como Secretaria:

Mª Teresa Pérez Lidón

Teniendo por objeto la presente reunión, la constitución de la Comisión Negociadora del Convenio Colectivo de la Empresa, que determine las reglas o pautas tanto sobre la estructura de la negociación colectiva, como sobre el contenido del Convenio objeto de negociación, y correspondiendo a las partes negociadoras la designación de los componentes de la misma, se toman los siguientes acuerdos:

1º.  Constitución de la Comisión Negociadora, quedando compuesta por los miembros seguidamente relacionados:

En representación de la parte económica:

- D. Antonio Delgado Eslava, Director-Gerente

- Dª Ana Herrador Martínez, Directora Dpto. Recursos Humanos

- D. Francisco Cabrera García, Director Dpto. Servicios Técnicos

- D. Jesús Diz Pérez, Director Dpto. Servicios Operativos

- D. Enrique Flores Ruiz, Director Dpto. Sanidad y Plagas

- D. Juan Revilla Álvarez, Director del CMC

Con el asesoramiento, cuando lo estimen necesario de:

- D. Bartolomé Jurado Luque (Asesor jurídico de SADECO en material laboral)

- D. Germán Ramírez Aranda, Director-Gerente Adjunto

En representación de la parte social:

- D. Juan A. Grande Alanzabe, CC.OO.

- Dª Mª Carmen Fernández Jiménez, CC.OO.

- Dª Juana Murillo Serrano, CC.OO.

- D. Purificación Cañero Mejías, CC.OO.

- D. Antonio Rodríguez Barranco, CC.OO.

- D. Francisco Fernández Gómez, C.G.T.

- D. Antonio Porcel López, C.T.A.

- D. Antonio Expósito Cendan, C.T.A.

- Dª Sonia Muñoz Ruiz, U.G.T.

También podrán asistir:

- 1 Delegado por cada Sección Sindical, como Asesor

- La Comisión Unitaria se reserva el nombrar un asesor de su confianza.

En el caso de que algún miembro del Comité de Empresa, componente de la Comisión Negociadora, que por causa justificada no pudiera asistir a alguna reunión, sería sustituido por otro miembro del Comité de la misma sección sindical.

2º.  Reconocerse recíprocamente como interlocutores válidos y asumir la obligación de negociar bajo el Principio de la Buena Fe.

3º.  Se designa como Secretaria en la negociación del Convenio Colectivo a Dª Mª Teresa Pérez Lidón, Oficial 1ª Administrativa del Dpto. de RR.HH., que velará por los aspectos burocráticos de las reuniones, especialmente en la confección de las actas.

4º.  Los componentes de la Comisión acuerdan que la Presidencia se hará de forma alternativa entre ambas representaciones.

5º.  Se procederá a la firma de cada una de las actas en la reunión siguiente y una vez leída y habiendo conformidad sobre la misma, será firmada por un representante de la parte económica, un representante de la parte social y la Secretaria.

6º.  Respecto al calendario de reuniones se determina que haya como mínimo dos reuniones mensuales, estableciéndose en cada reunión la fecha y hora de la siguiente. Debido a que todavía la Empresa no cuenta con presupuesto para el próximo año, y que la parte social necesita tiempo para preparar la plataforma, la siguiente reunión será seguramente en Enero, sin concretarse todavía la fecha exacta.

7º.  Respecto a las horas sindicales de los delegados se acuerda que las horas consumidas por los mismos en la primera y segunda reunión mensual corran a cargo de la empresa, el resto de horas que necesiten serán a cargo de su crédito mensual de 40 horas. En casos concretos, la Empresa estudiará individualmente, la posibilidad de aumentar el número de horas que corran a su cargo.

Y sin más asuntos que tratar se levanta la sesión siendo las trece horas cuarenta minutos del día de su comienzo.

Director-Gerente, D. Antonio Delgado Eslava. Presidente Comité Empresa, D. Juan A. Grande Alanzabe. Secretaria, Dª Mª Teresa Pérez Lidón.

Acta de la sesión ultima de la Comisión Negociadora del convenio colectivo de la empresa municipal “Saneamientos de Córdoba, S.A.”, celebrada el día 28 de enero de 2011.

En la ciudad de Córdoba, siendo las catorce horas treinta minutos del día veintiocho de Enero de dos mil once, se reúnen en la sede social de la Empresa, sita en Avda. Medina Azahara nº 4, los componentes de las partes de la Mesa Negociadora con el fin de dar por finalizado el proceso negociador del nuevo Convenio Colectivo que ha de regular las condiciones laborales en la Empresa Municipal Saneamientos de Córdoba, S.A. durante los años 2010 y 2011.

Por la Secretaria se procede a dar lectura al articulado del Convenio en los términos en que fue acordado y redactado en la sesión anterior.

Los miembros de la Comisión Negociadora aprueban por mayoría cada uno de los artículos, tablas salariales del Convenio, Plan de Igualdad y demás anexos incluidos en el mismo, constando el Convenio en su totalidad de 88 páginas, y acuerdan que después de su firma sea remitido a la Autoridad Laboral para su registro, archivo y posterior publicación en el Boletín Oficial de la Provincia de Córdoba.

Leída la presente y hallada conforme, yo como Secretaria doy fe, firmando conmigo la mayoría de la Comisión Negociadora.

En representación de la parte económica:

D. Ignacio Ruiz Soldado, Director-Gerente

D. Antonio Delgado Eslava, Director Dpto. Económico

Dª Ana Herrador Martínez, Directora Dpto. Recursos Humanos

D. Francisco Cabrera García, Director Dpto. Servicios Técnicos

D. Jesús Diz Pérez, Director Dpto. Servicios Operativos

D. Enrique Flores Ruiz, Director Dpto. Sanidad y Plagas

D. Juan Revilla Álvarez, Director del CMC

En representación de la parte social:

D. Juan A. Grande Alanzabe, CC.OO.

Dª Mª Carmen Fernández Jiménez, CC.OO.

Dª Juana Murillo Serrano, CC.OO.

Dª Purificación Cañero Mejías, CC.OO.

D. Antonio Rodríguez Barranco, CC.OO.

D. Antonio Porcel López, C.T.A.

D. Antonio Expósito Cendan, C.T.A.

Dª Sonia Muñoz Ruiz, U.G.T.

D. Francisco Fernández Gómez, C.G.T. (Presente pero No firmante)

Y como Secretaria:

Mª Teresa Pérez Lidón

Director-Gerente, D. Ignacio Ruiz Soldado. Director Dpto. Económico, D. Antonio Delgado Eslava. Directora Dpto. RR.HH., Dª Ana Herrador Martínez. Director Dpto. Servicios Técnicos, D. Francisco Cabrera García. Director Dpto. Servicios Operativos, D. Jesús Diz Pérez. Director Dpto. Sanidad y Plagas, D. Enrique Flores Ruiz. Director del CMC, D. Juan Revilla Álvarez Presidente. Comité de Empresa, D. Juan A. Grande Alanzabe. CC.OO. Dª Mª Carmen Fernández Jiménez. CC.OO. Dª Juana Murillo Serrano. CC.OO. Dª Purificación Cañero Mejías. CC.OO. D. Antonio Rodríguez Barranco. C.T.A. D. Antonio Porcel López. C.T.A. D. Antonio Expósito Cendan. U.G.T. Dª Sonia Muñoz Ruiz. Secretaria, Dª Mª Teresa Pérez Lidón.

CONVENIO COLECTIVO PARA LOS AÑOS 2010 Y 2011 DE LA EMPRESA MUNICIPAL “SANEAMIENTOS DE CÓRDOBA, S.A. “.

Índice

Capítulo I. Denominaciones generales

Art. 1.  Objeto

Art. 2.  Principio de Igualdad

Art. 3.  Ámbito Personal

Art. 4.  Ámbito Funcional

Art. 5.  Ámbito Temporal

Art. 6.  Denuncia Del Convenio

Capítulo II. Comisión de interpretación, estudio y vigilancia

Art. 7.  Constitución

Art. 8.  Formación

Art. 9.  Funciones

Capítulo III. Comisión de igualdad

Art. 10.  Constitución

Art. 11.  Formación

Art. 12.  Funciones

Capítulo IV. Organización del trabajo

Art. 13.  Organización del trabajo

Art. 14.  Trabajos de superior e inferior categoría

Art. 15.  Estructuración de la empresa

Capitulo V. Clasificación del personal

Art. 16.  Clasificación

Art. 17.  Consideraciones generales

Art. 18.  Clasificación profesional o funcional

Art. 19.  Grupo técnico-administrativo

Art. 20.  Grupo de servicio

Capítulo VI. Admisión, promoción y ceses de personal

Art. 21.  Admisión de personal

Art. 22.  Contrato de trabajo

Art. 23.  Periodo de prueba

Art. 24.  Formación y promoción profesional

Art. 25.  Promoción

Art. 26.  Dimisión del trabajador/a

Art. 27.  Escalafón

Art. 28.  Reserva de plaza

Capítulo VII. Jornada, horario, calendario, vacaciones, permisos y licencias, y excedencias

Art. 29.  Jornada laboral y horario de trabajo

Art. 30.  Trabajos en días especiales

Art. 31.  Trabajos de las modalidades de domingos y festivos y de siete por cinco

Art. 32.  Interrupción de la jornada

Art. 33.  Horas extraordinarias

Art. 34.  Vacaciones

Art. 35.  Permisos y licencias

Art. 36.  Licencias extraordinarias

Art. 37.  Excedencias

Art. 38.  Excedencia voluntaria

Art. 39.  Excedencia forzosa

Art. 40.  Enfermedad

Art. 41.  Reincorporación al trabajo

Capítulo VIII. Retribuciones

Art. 42.  Salarios

Art. 43.  Forma de pago

Art. 44.  Salario base

Art. 45.  Complemento de transporte

Art. 46.  Complemento de desplazamiento

Art. 47.  Complemento de nocturnidad

Art. 48.  Complemento de puesto de trabajo

Art. 49.  Complemento de flexibilidad horaria

Art. 50.  Complemento de asistencia

Art. 51.  Complemento de actividad

Art. 52.  Quebranto de moneda

Art. 53.  Complemento de desgaste de ropa

Art. 54.  Complemento por las modalidades de trabajo en domingos y festivos y 7 x 5

Art. 55.  Complemento de turnicidad mecánicos/as

Art. 56.  Gratificaciones extraordinarias

Art. 57.  Antigüedad

Art. 58.  Plan de pensiones

Capitulo IX. Beneficios y servicios asistenciales

Art. 59.  Anticipos reintegrables y fondo social

Art. 60.  Prestación complementaria por i.t.

Art. 61.  Póliza de accidentes y póliza de vida

Art. 62. - Defensa jurídica

Art. 63.  Garantías profesionales

Art. 64. - Jubilación

Art. 65.  Herramientas, prendas de trabajo y seguridad

Art. 66. - reconocimiento medico

Capitulo X. Faltas y sanciones

Art. 67.  Acoso sexual, acoso por razón de sexo, y acoso moral o mobbing

Art. 68.  Régimen disciplinario

Art. 69.  Faltas leves

Art. 70.  Faltas graves

Art. 71.  Faltas muy graves

Art. 72.  Sanciones

Art. 73.  Prescripción de las faltas

Art. 74. - Cancelación de sanciones

Art. 75. - Procedimiento sancionador

Capitulo XI. Derechos de representación colectiva y de reunión

Art. 76. - Derechos de reunión

Art. 77. - Garantías afiliados/as a una central sindical

Art. 78. - Constitución de las secciones

Art. 79. - Cuotas sindicales

Art. 80. - Garantías del comité de empresa

Art. 81. - Comunicaciones

Capitulo XII. Seguridad y salud laboral

Art. 82. - Consideraciones generales

Art. 83. - Comité de seguridad y salud

Art. 84.  Competencias y facultades del comité de seguridad y salud

Art. 85.  Funcionamiento del comité de seguridad y salud

Disposiciones adicionales

Anexos:

Tabla de salarios en euros para el año 2010

Tabla de salarios en euros para el año 2011

Normas ingreso personal fijo

Cuadro de parentesco

Tablas plan de pensiones año 2011

Plan de igualdad

Firmas

 

CONVENIO COLECTIVO PARA LOS AÑOS 2010 Y 2011 DE LA EMPRESA

MUNICIPAL “SANEAMIENTOS DE CÓRDOBA, S.A. “.

 

Declaración de Objetivos

Se declaran objetivos principales, como base de la creación de la Empresa, la mejora de la calidad de los Servicios que realiza, la competitividad y la mejora de las condiciones de trabajo, tanto técnicas como económicas, de los/as trabajadores/as.

Capítulo I. Denominaciones generales.

Art. 1. Objeto.

El presente Convenio regula las relaciones entre la Empresa Municipal “Saneamientos de Córdoba, S.A.”, los/as trabajadores/as incluidos en su ámbito personal, y se aplicará con preferencia a lo dispuesto en las demás normas laborales.

Art. 2. Principio de Igualdad.

Sadeco declara su compromiso en el establecimiento y desarrollo de políticas que integren la igualdad de trato y oportunidades entre mujeres y hombres, sin discriminar directa o indirectamente por razón de sexo, así como en el impulso y fomento de medidas para conseguir la igualdad real en cada uno de los ámbitos en que se desarrolla la actividad de la Empresa.

Se establece como principio estratégico de nuestra política corporativa y de Recursos Humanos, la igualdad de oportunidades entre mujeres y hombres, comprometiéndose igualmente en que la negociación colectiva juegue de forma eficaz el papel central que la Ley Orgánica 3/2007, de 22 de marzo, le otorga para hacer efectivos los derechos que en ella se contemplan.

Art. 3. Ámbito Personal.

El Convenio afectará a la totalidad del personal que presta sus servicios en la Empresa, con las excepciones siguientes:

a) Director/a-Gerente

b) Jefes/as de Departamento.

c) El personal de contrato de trabajo en prácticas y el contratado a efectos de formación laboral. Este personal se regirá por las condiciones pactadas individualmente con la Empresa, estando la misma obligada a solicitar la asistencia de un miembro del Comité de Empresa.

Art. 4. Ámbito Funcional.

Las actividades comprendidas en el campo de aplicación de este convenio son las siguientes:

a) La Higiene Urbana: Gestión de Residuos Sólidos Urbanos (Recogida, Transporte, Tratamiento), Limpieza de la Vía Pública, Control de plagas y animal.

b) Limpieza de Colegios y Edificios Municipales.

c) En general todas aquellas relacionadas con las anteriores o que consten en los Estatutos de la Sociedad.

Art. 5. Ámbito Temporal.

El presente Convenio entrará en vigor a todos los efectos el día 1 de Enero de 2010 y su duración será de dos años.

Para el año 2010 se incrementarán un 1 % todos los conceptos, teniendo en cuenta que previamente se incorporará al salario base de las categorías profesionales que tengan asignado Complemento de Puesto de Trabajo, el equivalente al 10% del Complemento de Puesto de Trabajo de Limpieza Viaria y Recogida de Basura, que se detraerá del Complemento de Puesto de Trabajo del puesto correspondiente; y a excepción de la Bolsa de Vacaciones y la remuneración asignada a la prestación de servicios del día 31 de diciembre en jornada diurna y nocturna, que quedan regulados por los artículos 34 y 30, respectivamente. (Anexo nº 1: Tabla Salarial año 2010)

Para el año 2011 se incrementarán un 1 % todos los conceptos, teniendo en cuenta que previamente se incorporará al salario base de las categorías profesionales que tengan asignado Complemento de Puesto de Trabajo, el equivalente al 15% del Complemento de Puesto de Trabajo de CECA, que se detraerá del Complemento de Puesto de Trabajo del puesto correspondiente; y a excepción de la Bolsa de Vacaciones y la remuneración asignada a la prestación de servicios del día 31 de diciembre en jornada diurna y nocturna, que quedan regulados por los artículos 34 y 30, respectivamente. (Anexo nº 2: Tabla Salarial año 2011)

Art. 6. Denuncia del Convenio.

La denuncia total o parcial del presente Convenio se efectuará por escrito, que presentará la parte denunciante a la otra con la antelación mínima de dos meses a la fecha 31 de Diciembre del año 2.011 debiendo procederse a constituir la comisión negociadora en el plazo máximo de 30 días naturales a partir de la recepción de la comunicación.

Caso de no efectuarse denuncia expresa en la forma y con la antelación estipulada, se entenderá este Convenio automáticamente prorrogado por tácita reconducción de año en año.

Denunciado el Convenio y hasta tanto no se logre nuevo acuerdo expreso, se mantendrá en vigor el presente.

Capítulo II. Comisión de interpretación, estudio y vigilancia.

Art. 7. Constitución.

Dentro del mes siguiente a la fecha de la firma del presente Convenio, se constituirá una Comisión Paritaria para interpretar, estudiar, vigilar y aplicar el cumplimiento del mismo.

Art. 8. Formación.

Dicha comisión estará formada por un total de seis miembros, designados/as tres por la Empresa y otros/as tres por el Comité de Empresa. Podrán participar en la Comisión Paritaria como asesores/as un máximo de tres por cada parte, los/as cuales tendrán voz pero no voto.

La Presidencia y Secretaría de esta Comisión se desempeñará alternativamente e inversamente por un/a Vocal de cada una de las dos representaciones.

En caso de producirse un empate en las cuestiones tratadas por dicha comisión, las dos partes podrán utilizar los medios legales existentes.

Esta Comisión se reunirá obligatoriamente, a petición de cualquiera de las partes, en el plazo máximo de siete días laborales y las cuestiones planteadas se resolverán en el plazo máximo de quince días laborales a partir de la fecha de petición de la reunión. En la Convocatoria, la parte solicitante especificará por escrito el orden del día y la propuesta de fecha de reunión.

Podrán efectuarse sustituciones entre los componentes de ambas representaciones.

Art. 9. Funciones.

La Comisión de interpretación, estudio y vigilancia tendrá las funciones siguientes:

Interpretar la totalidad de los artículos o cláusulas del presente convenio.

Vigilar el cumplimiento de lo pactado.

Estudiar y proponer, cuando proceda, la modificación, supresión o creación de grupos, especialidades o niveles.

Proponer cuantas ideas sean beneficiosas a la organización y racionalización del trabajo, de conformidad con su legislación específica.

Conocer las reclamaciones que sobre los derechos reconocidos en este Convenio puedan interponerse, así como las específicas sobre reclamaciones profesionales.

Capítulo III. Comisión de igualdad.

Art. 10. Constitución.

Las partes firmantes del Plan de Igualdad acuerdan la constitución de la Comisión de Igualdad, como órgano paritario, para interpretar el contenido del Plan y evaluar el grado de cumplimiento del mismo, de los objetivos marcados y de las acciones programadas, a fin de promover la igualdad de oportunidades y de trato entre mujeres y hombres en la organización, conforme a la legislación vigente y con el compromiso de la responsabilidad social corporativa de la Empresa.

Art. 11. Formación.

Dicha Comisión estará formada por un total de ocho miembros, designados/as cuatro por la Empresa y otros/as cuatro por el Comité de Empresa. Podrá participar un asesor/a por cada parte, los/as cuales tendrán voz pero no voto.

Esta Comisión se reunirá con carácter ordinario una vez al año al objeto de planificar y programar las acciones a desarrollar, realizar su seguimiento y evaluar su impacto, y con carácter extraordinario cuando sea necesario a instancia de cualquiera de las partes.

Art. 12. Funciones.

La Comisión de Igualdad tendrá las siguientes funciones:

Interpretar el Plan de Igualdad.

Seguimiento y evaluación de las diferentes medidas programadas.

Elaborar propuestas para la confección integral del Plan de Igualdad.

Promover dispositivos que faciliten la igualdad de mujeres y hombres en la organización.

Asesorar en materia de igualdad en el ámbito de la Empresa.

Promover las conductas que eviten cualquier tipo de acoso en la Empresa, arbitrando procedimientos específicos para su prevención.

Capítulo IV. Organización del trabajo.

Art. 13. Organización del Trabajo.

La organización del trabajo es facultad exclusiva de la Dirección de la Empresa, sin perjuicio de los derechos y facultades de audiencia e información reconocidos a los/as trabajadores/as en los artículos 40, 41 y 64.1 del Real Decreto Legislativo 1/1.995 de 24 de Marzo en el presente convenio y en las demás normas o acuerdos de aplicación.

Art. 14. Trabajos de Superior e Inferior Categoría.

La Dirección, mediante comunicación escrita al/a la interesado/a y enviando copia de la misma al Comité de Empresa, podrá encomendar a un/a trabajador/a la realización de funciones o tareas que correspondan a categoría superior a la que ostenta el/la mismo/a por la calificación profesional que tenga reconocida.

Los nombramientos provisionales de categoría superior tendrán una duración máxima de 6 meses, siendo revisados conjuntamente por la Dirección de la Empresa y la representación social en la Comisión Paritaria al objeto de crear las plazas por los procedimientos establecidos en el presente Convenio y siempre que se trate de trabajos permanentes en la actividad de la Empresa.

Durante el tiempo que un/a trabajador/a realice funciones de superior categoría mediante nombramiento provisional, tendrá derecho a percibir la diferencia existente entre las retribuciones que venga percibiendo por su clasificación y las que corresponden a las funciones que efectivamente realiza. Cuando las funciones de superior categoría se realicen de forma perentoria y sin nombramiento provisional, el/la trabajador/a percibirá 2,35 euros / día por cada nivel de diferencia entre la categoría profesional que ostenta y la que realice.

Cuando se trate de la sustitución de un/a Capataz/a o Encargado/a, el/la trabajador/a que haya de efectuarla será el que designe la Empresa, oído el Comité de Empresa, debiendo comunicarse esta decisión por escrito al/a la trabajador/a.

Si por necesidades perentorias o imprevisibles de la actividad productiva, la Dirección de la Empresa precisara destinar a un/a trabajador/a a tareas correspondientes a una categoría inferior a la suya, sólo podrá serlo por el tiempo imprescindible para su atención, manteniéndose la retribución y demás derechos inherentes a la categoría profesional del/de la interesado/a, debiendo comunicarse esta decisión por escrito al/a la trabajador/a y enviarse copia de la misma al Comité de Empresa.

Los trabajos de inferior o superior categoría no podrán recaer de manera reiterada sobre los/as mismos/as trabajadores/as.

Si la adscripción a plaza de inferior categoría se realiza a petición del/de la trabajador/a, éste/a percibirá solamente el salario correspondiente a la plaza que pasa a desempeñar.

Art. 15. Estructuración de la Empresa.

La estructura de la Empresa responderá a las necesidades que, en cada momento, se impongan debido a las especiales características del trabajo que desarrolla, y a la evolución y progreso que experimenten las técnicas propias de su objetivo social.

Cualquier reestructuración de la misma será discutida y debatida con el Comité de Empresa con doce días de antelación antes de su aplicación.

Capítulo V. Clasificación del personal.

Clasificación según la permanencia

Art. 16. Clasificación.

El personal atendiendo a su permanencia, se clasificará en fijo, fijo-discontinuo, fijo a tiempo parcial, eventual e interino.

Se entiende que el personal fijo-discontinuo es el que contratado bajo la citada modalidad presta servicio en colegios públicos.

Clasificación personal según la función

Art. 17. Consideraciones Generales.

Las denominaciones y clasificaciones del personal consignado en los artículos que siguen son meramente enunciativas y no suponen la obligación de tener provistas todas las categorías reseñadas si la necesidad y volumen de la Empresa no lo requieren a juicio de la Dirección.

Los cometidos profesionales de cada oficio y categoría, deben considerarse como meramente indicativas, pues todo/a trabajador/a está obligado/a a realizar cuantos trabajos y operaciones estén dentro del cometido propio de su competencia profesional, entre las que se incluyen la limpieza de maquinaria y herramientas dentro de la jornada laboral.

Art. 18. Clasificación Profesional o Funcional.

De acuerdo con las funciones desempeñadas, el personal afectado por este Convenio se clasificará en los grupos siguientes:

Grupo Técnico-Administrativo

Titulados/as Superiores

Titulados/as Medios

Técnicos/as no titulados

Jefe/a o Coordinador/a

Oficial 1ª

Oficial 1ª Nivel Básico Prevención

Inspector/a

Oficial 2ª

Auxiliar

Responsable de Ordenanzas

Ordenanza

Grupo de Servicio

General Servicios:

Encargado/a

Capataz/a

Conductor/a 1ª

Conductor/a 1ª Especial

Oficial 1ª Sanidad y Plagas

Oficial 1ª Mantenimiento

Conductor/a 2ª

Peón/a Conductor/a

Peón/a Conductor/a Sanidad y Plagas

Peón/a Conductor/a Mantenimiento

Peón/a Especialista

Peón/a Ordinario/a

Taller y Almacén:

Jefe/a de Taller

Jefe/a de equipo

Oficial 1ª

Oficial 2ª

Oficial 2ª Especial

Peón/a Conductor/a

Peón/a Especialista Taller o Mantenimiento Industrial

Peón/a Ordinario/a

Almacenero/a

Guarda

Vertedero:

Jefe/a de Vertedero

Oficial 1ª Mecánico

Oficial 1ª Palista

Peón/a Conductor/a

Peón/a Especialista

Peón/a Ordinario/a

Colegios y Edificios:

Capataz/a

Peón/a Especialista

Limpiador/a

Peón/a Limpiador/a

Art. 19. Grupo técnico-administrativo.

Titulados/as Superiores y Titulados/as Medios: Es el personal que se halla en posesión de un título o diploma oficial de grado superior o medio, expedido y/o reconocido por el Estado Español.

Dicho personal está unido a la Empresa por un vínculo de carácter laboral, concertado en razón del título que posee, prestando sus servicios a la misma por un sueldo, sin sujeción a la escala habitual de honorarios de su profesión.

Técnicos/as no titulados: Es el/la trabajador/a que sin encontrarse en posesión de un título o diploma oficial de grado superior o medio, desarrolla funciones técnicas. A esta categoría está asimilada la de Técnico/a de Nivel Intermedio de Prevención.

Jefes/as Administrativos/as o Coordinadores/as: Son aquellos/as empleados/as que, a las órdenes del Jefe/a de Departamento o Técnico/a correspondiente, poseyendo la capacidad o conocimientos adecuados, tienen bajo su responsabilidad y mando la dirección de algunos servicios administrativos, de inspección o de relaciones ciudadanas.

Oficiales Primera: Son los que a las órdenes inmediatas de un Jefe/a Administrativo/a o cualquier categoría superior, y con completo conocimiento de los trabajos de la categoría inferior, realizan tareas de máxima responsabilidad relacionadas con el servicio que desempeñan, así como cuantas otras cuya total y perfecta ejecución requieran la suficiente capacidad para resolver, por propia iniciativa, las dificultades que surjan en el desempeño de su cometido. Así mismo, realizan trabajos de redacción de propuestas, contabilidad, liquidación de salarios y Seguridad Social, confección de nóminas, despacho de correspondencia y demás trabajos propios de oficina.

A esta categoría de Oficial Primera se asimila la de Oficial Primera Almacén.

Oficial Primera Nivel Básico de Prevención: Corresponde a esta categoría las funciones establecidas para el nivel básico de la legislación vigente.

Inspectores/as: Corresponde a esta categoría las funciones de:

Realizar las acciones de carácter explicativo de las ordenanzas, elaborar estadísticas de las infracciones por lugares y sectores, colaborar con la supervisión de la calidad de los trabajos, realizar el seguimiento del cumplimiento de las ordenanzas, proponer sanciones.

Oficiales de Segunda: Son los/as empleados/as que, con perfecto conocimiento del trabajo de categoría inferior y a las órdenes de un Jefe/a u Oficial Primera desarrollan trabajos de mediana responsabilidad o que requieran menor iniciativa, correspondiente al departamento o servicio a que pertenezcan, tales como colaboración en la confección de nóminas, organización de archivos y ficheros y demás trabajos auxiliares.

A esta categoría de Oficial de Segunda se asimila la de Operador/a de Ordenador, definiéndolo como el/la empleado/a que opera y controla la marcha del ordenador y sus elementos auxiliares, debiendo saber detectar y resolver los problemas operativos, determinando si son errores de operación o de máquina, modificando en lo preciso los programas existentes.

Auxiliares Administrativos/as: Corresponde a esta categoría el/la empleado/a que, a las órdenes de un/a superior/a y dentro de la administración de la Empresa, realiza tareas de mecanografía, despacho de correspondencia, cálculo sencillo, manejo de máquinas, archivo de documentos y otros similares.

A esta categoría de Auxiliar Administrativo/a, se asimila la de Auxiliar de Almacén, realizando, a título orientativo tareas de demanda y aprovisionamiento de dicha dependencia, posee conocimientos de los artículos a su cargo, lleva las fichas de existencias, dispone el servicio de recepción y materiales, cuida que las dependencias a su cargo se mantengan en perfecto estado de orden y limpieza, etc.

Responsable de Ordenanzas: Tendrá esta categoría el/la trabajador/a responsable de realizar el control del trabajo llevado a cabo por el personal a sus órdenes, contando con perfecto conocimiento de las actividades a su cargo.

Ordenanza: Tendrá esta categoría el/la trabajador/a cuya misión consiste en hacer recados, dentro o fuera de la Oficina, copiar documentos, recoger y entregar correspondencia, orientar al público en la Oficina y atender pequeñas centralitas telefónicas.

Art. 20. Grupo de servicio.

Encargados/as de servicio: Son aquellos/as trabajadores/as responsables de realizar el control del trabajo llevado a cabo por el personal a sus órdenes, mandando las directrices para la perfecta ejecución de los mismos, con el fin de proporcionar un servicio de la mejor calidad, siendo directamente responsables ante sus superiores de la buena marcha de los trabajos que tenga encomendados y resolviendo e indicando a los/as subordinados/as como se realizan los trabajos en caso de duda de éstos/as. El/a Encargado/a de servicio de Sanidad, Plagas y Mantenimiento deberá disponer, además, de la capacitación profesional preceptiva legalmente para la dirección de los trabajos específicos desarrollados por los servicios que controla.

Capataces/zas: Son los/as trabajadores/as que a las órdenes de un Jefe/a o Encargado/a de Servicio tiene a su cargo un sector determinado del personal, cuyos trabajos replantea, dirige, vigila y ordena. Tendrá perfecto conocimiento de los oficios de las actividades a su cargo y dotes de mando suficientes para el mantenimiento de los rendimientos previstos y de la disciplina. El/la Capataz/a de Sanidad, Plagas y Mantenimiento, deberá disponer, además, de la capacitación profesional preceptiva legalmente para la dirección de los trabajos específicos desarrollados por los servicios que controla.

Podrá reemplazar a su Jefe/a inmediato/a superior en los Servicios en los que no exija el mando permanente de aquél/la.

Jefe/a de equipo (Taller): Trabajador/a que a las órdenes de un Jefe/a de Taller o Encargado/a de servicio tiene a su cargo un sector determinado del personal cuyos trabajos planifica, dirige, verifica, ordena e interviene directamente para su realización en tiempo y calidad exigida. Tendrá perfecto conocimiento técnico de los oficios de las actividades a su cargo y dotes de mando suficientes para el mantenimiento de los rendimientos previstos y para la disciplina.

Tendrá la categoría profesional asimilable a la de Capataz/a e intervendrá directamente junto con el equipo a su cargo en aquellas actividades encomendadas.

Podrá reemplazar a su Jefe/a inmediato/a superior en los Servicios en los que no exija el mando permanente de aquél/la. Conductor/a Primera: Es el/la trabajador/a que en posesión del permiso de conducir correspondiente, tiene los conocimientos necesarios para ejecutar toda clase de reparaciones, que no requieren elementos de taller. Cuidará especialmente que el vehículo que conduce, salga del Parque en las debidas condiciones de funcionamiento. Asimismo, debe poseer un conocimiento perfecto de los itinerarios de los Servicios, así como conducir toda clase de vehículos dedicados al servicio de la Empresa.

Conductor/a de Primera Especial: Es el/la trabajador/a que en posesión del permiso de conducir correspondiente, realiza las tareas de recogida de contenedores de escombros, de vidrio, de basura, compactador para mercadillo, contenedores de lodos, recogida de enseres y así como cuantas tareas complementarias puedan surgir que no requieran conducción. En ningún caso serán asignados a esta categoría, salvo adscripción voluntaria aquellos/as trabajadores/as que ostentan la categoría de Oficial 1ª Conductor/a.

Oficial/a Primera de Sanidad y Plagas: Es el/la trabajador/a que en posesión del permiso de conducir correspondiente, tiene los conocimientos necesarios para ejecutar toda clase de operaciones relacionadas con el Control de Plagas, Animales Domésticos, Tratamiento de Solares, Transporte de Residuos Peligrosos y cualquier otro que se incluya entre los servicios prestados en el Departamento, disponiendo de la capacitación profesional preceptiva legalmente para el desarrollo de dichos trabajos específicos.

Oficial/a Primera de Mantenimiento: Es el/la trabajador/a que en posesión del permiso de conducir correspondiente, tiene los conocimientos necesarios para ejecutar toda clase de oficios y operaciones relacionadas con el mantenimiento de edificios, de mobiliario urbano, obras en vía pública, limpieza de pintadas y cartelería, y cualquier otro que se incluya entre los servicios prestados en el Departamento, disponiendo en su caso, de la capacitación profesional preceptiva legalmente para el desarrollo de dichos trabajos específicos.

Conductor/a Segunda: Es el/la trabajador/a que en posesión del permiso de conducir correspondiente, conduce camiones cuyo peso máximo autorizado no exceda de 3.500 Kgs., así como toda clase de vehículos para los que le habilite el permiso. Asimismo, realiza todas las demás tareas citadas en la categoría de Oficial Primera Conductor/a.

Peón/a Conductor/a: Corresponde a esta categoría las funciones específicas a realizar en los distintos servicios desempeñados en la Empresa, en las labores que exijan cierto grado de especialidad y práctica, pudiéndose encomendar pequeñas labores auxiliares propias del servicio en el que desarrolle su actividad, complementando las labores de operación con las de conducción de vehículos ligeros que precisen el carnet A, y B.

Peón/a Conductor/a de Sanidad y Plagas: Es el/la trabajador/a que en posesión del permiso de conducir correspondiente, tiene los conocimientos necesarios para ejecutar operaciones básicas relacionadas con el Control de Plagas, Animales Domésticos, Tratamiento de Solares, Transporte de Residuos Peligrosos y cualquier otro que se incluya entre los servicios prestados en el Departamento, disponiendo de la capacitación profesional preceptiva legalmente para el desarrollo de dichos trabajos específicos.

Peón/a Conductor/a de Mantenimiento: Es el/la trabajador/a que en posesión del permiso de conducir correspondiente, tiene los conocimientos básicos para ejecutar y/o auxiliar en operaciones relacionadas con el mantenimiento de edificios, de mobiliario urbano, obras en vía pública, limpieza de pintadas y cartelería, y cualquier otro que se incluya entre los servicios prestados en el Departamento, disponiendo en su caso, de la capacitación profesional preceptiva legalmente para el desarrollo de dichos trabajos específicos.

Peones/as Especialistas: Son aquellos/as empleados/as que realizan trabajos que, sin constituir prácticamente un oficio, requiere para su desarrollo práctica y responsabilidad.

Quedan comprendidos en este grupo el personal que acciona los mandos de los camiones de recogida de basura y limpieza, siendo el/la responsable de la perfecta manipulación de los contenedores y los/as mangueros/as del servicio de limpieza viaria, el personal que utiliza soplantes o desbrozadoras, el personal que limpia los cristales de los Colegios Públicos y Edificios, y todo el personal que en los distintos servicios de la Empresa realice funciones de la naturaleza descrita, así como las labores auxiliares necesarias.

Peón/a Ordinario/a y Limpiador/a de Colegios Públicos: Es el/la trabajador/a que realiza, bajo la dirección de un superior, trabajos de cualquier índole, para los cuales no se requiere habilidad especial, así como la limpieza de Colegios Públicos y Centros Municipales.

Oficiales de Primera y Oficiales de Segunda Mecánicos/as: Son los que poseyendo un oficio determinado ejecutan en cada caso las tareas propias del mismo, en los tiempos que aseguren rendimientos y calidades correctas a cuyos efectos les será preciso conocer no sólo la operatoria necesaria para realizar dichas tareas, sino también la lectura e interpretación de planos y croquis de verificación y comprobación adecuados del trabajo y correcta utilización de aparatos de medida ( pie de rey, palmer, galgas, etc.).

La presente definición es común a las dos categorías antes mencionadas, que se distinguirán unas de otras por el mayor o menor grado de perfección puesto en la ejecución de los trabajos del oficio, así como el tiempo invertido en ellos.

Los oficios propios de la prestación del servicio que existen en la empresa son los siguientes:

Montador/a-Mecánico/a.

Electricista-Montador/a.

Carrocero/a-Chapista.

Pintor/a.

Electromecánico/a.

Soldador/a-Calderero/a

Montador/a-Mecánico/a: Es el/la operario/a capacitado/a en todas las operaciones y cometidos siguientes: leer e interpretar planos y croquis de mecanismos y máquinas, de sus elementos o piezas y, conforme a ellos, trazar, marcar y acabar la superficie de estos elementos, de tal forma que permita el asiento o ajuste entre ellos con juegos o huelgos variables, con la utilización de los útiles y herramientas necesarias; montar máquinas y mecanismos asegurando la nivelación, huelgos y equilibrios de las piezas, si así lo requiere.

Dentro de esta profesión, las distintas categorías comprenden los trabajos que se reseñan a continuación:

Oficial Primera: Serán los/as responsables de diagnosticar y reparar en banco o vehículo con responsabilidad y completo conocimiento los trabajos de la categoría inferior, bajo la orientación del/de la Jefe/a de Taller los siguientes órganos: Reparaciones generales de motor, bombas inyectoras, sistemas de aire, cajas de cambios, embragues, direcciones, diferencial, frenos y demás mecanismos del motor.

Oficial Segunda: Son los/as responsables de diagnosticar y reparar en banco o en vehículos, bajo la orientación del Jefe/a de Taller los siguientes órganos: Colocación de segmentos al motor y similares, colocación y puesta a punto de bombas inyectoras, inyectores, sistemas de aire, reparación de cajas de cambio, embragues, direcciones, diferenciales, sistemas hidráulicos, frenos, radiadores y demás mecanismos del vehículo.

Electricistas-Montadores/as: Son los/as operarios/as capacitados/as para leer e interpretar planos, esquemas y croquis de las instalaciones y máquinas eléctricas y de sus elementos auxiliares y de acuerdo con ello diagnosticar las averías, reparar y montar estas instalaciones y demás órganos que concuerden en las instalaciones eléctricas de los vehículos, maquinaria e instalaciones de la Empresa.

Las distintas categorías que comprenden los trabajos son las que se detallan a continuación:

Oficiales Primera: Serán responsables de diagnosticar y reparar en banco o en vehículo bajo la orientación del/de la contramaestre o Jefe/a de Taller los siguientes órganos eléctricos: Alternadores, motores de arranque, dinamos, reguladores, electroválvulas, selectores, limpiaparabrisas, etc. Así como reparar cualquier avería referente a las instalaciones eléctricas y montaje de nuevas si el caso lo requiere.

Oficiales Segunda: Serán los/as responsable de diagnosticar y reparar en banco o en vehículo bajo la orientación del contramaestre o Jefe/a de Taller, los siguientes órganos eléctricos: Alternadores, motores de arranque, dinamo, reguladores, electroválvulas, selectores limpiaparabrisas, etc. Así como reparar cualquier avería referente a las instalaciones eléctricas.

Oficial Primera Carrocero/a-Chapista: Corresponden como tareas principales a esta especialidad las siguientes:

Leer o interpretar planos o croquis y realizar labores de traza, plantillear, enderezar, cortar, punzonear, taladrar, tubar, armar y colocar las chapas y perfiles de las carrocerías mediante la correspondiente utilización de los distintos sistemas de soldadura para la perfecta ejecución del trabajo.

Así mismo, hacer toda clase de trabajos concernientes a esta especialidad, tanto en lo que respecta a construcción como a reparación de las mismas. Igualmente ejecutará las tareas relativas a colocación en vehículos de embellecedores, burletes, cristales y pisos.

Oficiales Segunda Especial: Es el/la trabajador/a que contratado/ a bajo la citada categoría y cumpliendo las tareas propias de Oficial 2ª Chapista-Carrocero/a, se desplaza al exterior del taller conduciendo un vehículo a realizar reparaciones.

Pintor/a: Corresponden como tareas principales a esta especialidad las siguientes:

Preparar pinturas y aprestos más adecuados con arreglo al estado de la superficie que ha de pintarse y a los colores elegidos, prestar, trabajar, rebajar, plomizar y lavar, pintar en lienzo o imitando madera o a otros materiales, filetear, barnizar a brocha o a muñequilla, dorar y pintar letreros.

Electromecánico/a: Es el/la operario/a capacitado/a en todas las operaciones y cometidos siguientes: proceso de reparación de los distintos conjuntos mecánicos, eléctricos, electrónicos, hidráulicos y neumáticos de los vehículos, equipos y maquinaria colocados en las distintas instalaciones de la Empresa; leer e interpretar planos y croquis de mecanismos y máquinas, de sus elementos o piezas y, conforme a ellos, trazar, marcar y acabar la superficie de estos elementos, de tal forma que permita el asiento o ajuste entre ellos, con la utilización de los útiles y herramientas necesarias; montar máquinas y mecanismos asegurando su perfecto funcionamiento.

Soldador/a–Calderero/a: Es el/la operario/a que realiza funciones de diagnosis y reparación de mecanismos deteriorados en máquinas e instalaciones de la Empresa utilizando técnicas de soldadura, corte y diseño de nuevas piezas, con dominio de técnicas de soldadura, de técnicas de corte de materiales, de las diferentes posiciones de soldadura, y tiene conocimiento y experiencia en uso del material más adecuado en las reparaciones, posee capacidad de diseño y construcción de nuevas piezas utilizando trazado, corte, plegado, curvado, etc.

Peón/a Especialista de Taller o Mantenimiento Industrial: Son aquellos/as trabajadores/as que realizan una de las funciones auxiliares de un determinado oficio, pudiéndoseles encomendar realizar pequeñas reparaciones, tales como colocación de limpiaparabrisas, lámparas, plafones, cambios y limpieza de baterías, etc., esmerilado de culatas, banqueteado de radiadores, lavado y engrase de vehículos y maquinaria, tapizado de asientos e interiores de vehículos, cambio de aceites y filtros, etc., así mismo realiza labores auxiliares de almacén, puesta en marcha de planta, centrado de cintas, etc..

Guarda: Tienen como misiones la vigilancia de los accesos y dependencias de la Empresa, locales o centros de trabajo, así como los útiles y herramientas que en las mismas se guardan.

Capítulo VI. Admisión, promoción y ceses de personal.

Art. 21. Admisión de personal.

La Dirección de la Empresa organizará y será responsable de los servicios relacionados con la selección, admisión y contratación de todo el personal, ateniéndose a las disposiciones generales vigentes sobre colocación y empleo de trabajadores/as y a las contenidas en el vigente Convenio.

La Dirección deberá dar publicidad, con suficiente antelación de las vacantes a cubrir con personal de carácter fijo de plantilla o fijo a tiempo parcial mediante comunicación remitida al Comité de Empresa y expuestas en los tablones de anuncios para su inserción a los efectos de que los/as trabajadores/as que estén interesados/as, puedan presentar su solicitud para ser incorporados a la lista de aspirantes que elaborará la Empresa.

Para ingresar como personal fijo de plantilla, se establecerán las pruebas de acceso o valoración que en cada caso se estimen convenientes por los miembros de una Comisión, nombrada al efecto y con participación del Comité de Empresa.

El ingreso como contratado/a temporal, procederá en aquellos casos en que sea necesario atender a la prestación de un servicio concreto o realización de una obra determinada, estará sujeto a la legislación vigente en cada momento en esta materia y mediante procedimientos en los que se garanticen los principios constitucionales de igualdad, mérito y capacidad.

El ingreso como interino/a, procederá en aquellos casos en que la admisión del/de la trabajador/a tenga por objeto cubrir puestos de trabajo de personal fijo ausente por enfermedad, accidente de trabajo, o cualquier otra causa que lleve pareja la reserva obligatoria de plaza.

En la cobertura de los puestos de trabajo participarán dos representantes de los/as trabajadores/as designados/as por el Comité de Empresa.

(Anexo nº 3: Normas de Ingreso del Personal Fijo al Servicio de la Empresa SADECO, S.A., según Acta del Consejo de Administración de 26/11/2009)

Art. 22. Contrato de trabajo.

Todo el personal que ingrese a prestar servicios en la Empresa formalizará, por escrito con la misma, el correspondiente contrato de trabajo, que habrá de suscribirse por el Representante legal de la Empresa y visado por la Oficina de Empleo. La Empresa queda obligada a notificar a la representación legal de los/as trabajadores/as las contrataciones que realice mediante la entrega de una copia básica del contrato de trabajo.

Art. 23. Periodo de prueba.

El ingreso de todo el personal, se considerará provisional durante el periodo de prueba que no podrá ser superior a los plazos siguientes:

- 15 días para el personal no cualificado.

- 30 días para los trabajadores/as cualificados/as.

- 60 días para el personal técnico.

Las ausencias al trabajo durante dichos plazos por toda clase de causas justificadas darán lugar a una prórroga de aquellos en el mismo número de días laborables no trabajados.

Durante el periodo de prueba, la relación laboral podrá ser resuelta por cualquiera de las partes sin necesidad de preaviso ni derecho a indemnización alguna.

Una vez superado el periodo de prueba, será computable el tiempo de duración del mismo, a efectos de antigüedad.

Art. 24. Formación y promoción profesional.

La Empresa se compromete a establecer un sistema de formación consignando en sus presupuestos anuales la correspondiente partida económica.

La Empresa, directamente, o en régimen de concierto con centros oficiales o reconocidos, organizará los cursos de capacitación profesional que sean necesarios para la adaptación de los/as trabajadores/as a las modificaciones técnicas operadas en los puestos de trabajo o mejor capacitación profesional del personal.

Cuando estos cursos se realicen en horas de trabajo, la asistencia del/a trabajador/a será obligatoria.

La formación podrá impartirse en modalidad presencial, a distancia, teleformación o mixta, para así facilitar el acceso a la formación de los/as trabajadores/as con responsabilidades familiares.

El personal que haya superado estos cursos, podrá solicitar su inclusión en la lista de aspirantes con expectativas a desempeñar las funciones de la categoría para la que haya quedado capacitado. Esta lista sólo será de aplicación para los nombramientos provisionales en situaciones previsibles, sin que el funcionamiento normal de la Empresa pueda verse interferido.

El Comité de Empresa, mediante una Comisión constituida al efecto , participará en la determinación de los cursos a impartir y en la selección de personal.

Art. 25. Promoción.

El personal fijo de la Empresa tendrá derecho a ser promocionado y ocupar las vacantes que pudieran producirse o los nuevos puestos de trabajo que pudieran crearse, para lo cual se anunciarán previamente las plazas a cubrir, enviando información al Comité de Empresa.

El personal fijo discontinuo y fijo a tiempo parcial podrá acceder a cualquier plaza de nueva creación, que se convoque en la Empresa, siempre que reúna los requisitos necesarios.

La provisión de las vacantes se realizará por oposición, concurso o concurso-oposición entre el personal de la Empresa, a propuesta de la Comisión de exámenes.

La Comisión de exámenes estará compuesta por cuatro miembros de la parte económica y tres miembros de la parte social.

Si cumplimentando el procedimiento anterior, la vacante/s no llegasen a cubrirse, podrá recurrirse a personal de fuera de la Empresa para ocupar las plazas citadas.

Art. 26. Dimisión del trabajador/a.

El personal podrá causar baja por decisión voluntaria, comunicando su propósito a la Empresa, con una antelación no inferior a 15 días respecto de la fecha en que desea cesar.

Si producida la baja voluntaria, el/la trabajador/a reingresa posteriormente a la Empresa, será considerado de nuevo ingreso a todos los efectos.

El/la trabajador/a que cause baja voluntaria sin comunicarlo previamente en la forma determinada, se le deducirá de sus haberes la parte correspondiente a los 15 días de aviso obligatorio.

Art. 27. Escalafón.

El escalafón constituye la relación nominal del Personal fijo al servicio de la Empresa.

La Empresa confeccionará cada año el referido escalafón, señalando nombre y apellidos del personal, categoría profesional, fecha reconocida de ingreso en la Empresa y fecha de promoción al cargo o categoría actual.

El escalafón será expuesto en el tablón de anuncios durante el mes de Marzo de cada año y contra él se podrán hacer cuantas alegaciones se estimen oportunas, debiendo resolver la Comisión Paritaria en el plazo de dos meses.

De no ser estimada la reclamación, lo que habrá de ser notificado por escrito al/a la interesado/a, éste/a podrá en el plazo de quince días reclamar ante la autoridad laboral competente.

Cada año, se realizará un estudio de las necesidades de personal y su acomodación a las circunstancias del momento de forma conjunta por la Empresa y el Comité de Empresa, mediante una Comisión constituida al efecto.

Art. 28. Reserva de plaza.

De las vacantes que se produzcan en la categorías de Ordenanza y Guarda, se reservará el 80% de las mismas a los/as trabajadores/as que hayan sufrido accidente o enfermedad que les incapacite para su profesión habitual, siempre que conserven la capacidad exigible para el ejercicio de las funciones propias de esta categoría.

Así mismo, se tendrán en cuenta aquellos casos de trabajadores/as que padezcan alguna dolencia y cuyo informe médico de Empresa aconseje su cambio de puesto de trabajo.

Capítulo VII. Jornada, horario, calendario, vacaciones, permisos y licencias, y excedencias.

Art. 29.  Jornada laboral y horario de trabajo.

1.  La jornada laboral anual será de 1.579 horas para todos los servicios, salvo la de aquellos/as trabajadores/as que presten servicio en el sistema de 7x5 noche que será de 1.535 horas anuales, correspondiente a una jornada diaria de 6 horas y 40 minutos.

Desde el año 2.002 se ha reducido la jornada en 7 horas como consecuencia de disfrutar como día festivo el día de San Martín de Porres.

Si en las disposiciones legales que puedan establecer El Gobierno Central o el Gobierno de Andalucía se establece una jornada de 35 horas semanales y cuyo cómputo anual sea inferior al establecido en SADECO, se revisará la misma y se reducirá en 12 horas.

2.  Anualmente cuando la Dirección de la Empresa confeccione el Calendario Laboral y Cuadro de Horarios, dará audiencia a los/as representantes/as de los/as trabajadores/as al objeto de tomar en consideración las sugerencias que puedan formularse.

3.  Según la legislación vigente la jornada de 40 horas semanales tiene una correspondencia de 1.826 horas anuales por lo que a la jornada de 35 horas semanales corresponden 1.598 horas/año, mientras que en SADECO la jornada anual es de 1.579 horas desde el año 2.002, es decir, inferior en 19 horas.

4.  La Empresa podrá conceder una reducción de la jornada laboral del/a trabajador/a que lo solicite mediante modificación de su contrato a tiempo parcial, detrayéndose de su salario la misma proporción que la jornada reducida.

5.  Los Domingos y Festivos no laborables que no correspondan al cómputo anual, y se preste servicio, tendrán una jornada igual a su jornada habitual.

6.  Excepcionalmente, teniendo en cuenta las necesidades del Servicio, y previa autorización de la Empresa, por motivos directamente relacionados con la conciliación de la vida personal, familiar y laboral, y en los casos de familias monoparentales, se podrá conceder con carácter personal y temporal, la modificación del horario habitual, en un máximo de 2 horas.

Art. 30. Trabajos en días especiales.

Teniendo los servicios objeto de la Empresa el carácter de públicos, cuando sea preciso trabajar algún domingo o festivo para el personal de no presta servicio en dichos días, se establecerá un turno rotativo al objeto de que puedan descansar y no sean siempre los/as mismos/as trabajadores/as quienes realizan el mismo servicio. El personal que trabaje los citados días podrá optar:

a) 2 días de descanso por domingo o festivo.

b) 1 día de descanso y la compensación fijada para el personal de domingos y festivos o 7X5.

c) 117,88 euros por domingo o festivo.

El personal que preste servicio en días especiales en jornada nocturna, cobrará, además, el correspondiente complemento de nocturnidad.

El personal que preste servicio el día 31 de Diciembre de 2010 y 2011 y en jornada diurna tendrá una remuneración de 120 euros.

En el caso del personal que preste servicio el 31 de Diciembre de 2010 y 2011 en jornada nocturna, la remuneración ascenderá a 143 euros.

Lo dispuesto en el párrafo anterior, no será de aplicación al personal que realice funciones de guardería e inspección ni al personal de la modalidad 7X5 ni al personal de domingos y festivos y CECA, que se le considerará días hábiles.

Art. 31. Trabajos de las modalidades de domingos y festivos y de siete por cinco.

Con independencia de lo estipulado en el artículo anterior y al objeto de cubrir las necesidades derivadas del mantenimiento de la higiene urbana en distintas zonas de la ciudad, durante los siete días de la semana, se prestará servicio en las modalidades de domingos y festivos y de siete por cinco por el personal contratado o que se pueda contratar al amparo de las citadas modalidades.

Igualmente podrán acceder a cualquiera de las citadas modalidades los/as trabajadores/as fijos/as que lo soliciten y les sea aceptado por la Empresa.

El crecimiento de la plantilla en otras modalidades horarias en años sucesivos podrá dar lugar a la adscripción de los/as trabajadores/as de la modalidad de 7X5 a dichos puestos, siempre que ostente la misma categoría. Igualmente los/as trabajadores/as de la modalidad de 7X5 podrán permutar su puesto de trabajo con otro/a trabajador/a, siempre que ostente la misma categoría y la Empresa preste su consentimiento.

Art. 32. Interrupción de la jornada.

El personal que trabaje una jornada continuada de más de 6 horas, disfrutará de 30 minutos de descanso para la comida.

Los/as trabajadores/as que trabajen 6 horas o menos de manera ininterrumpida, tendrán derecho a un descanso de 15 minutos para bocadillo. Ambos descansos se considerarán como jornada laboral.

Art. 33. Horas extraordinarias.

La cantidad máxima de horas extraordinarias que podrá realizar cada trabajador/a será de 25 al año, cuya remuneración está estipulada en las tablas anexas. Las diez primeras horas extraordinarias realizadas por el/la trabajador/a serán compensadas económicamente según tablas o en descanso a razón de dos horas de descanso por hora trabajada, siempre a opción del/de la trabajador/a. Las restantes horas extraordinarias hasta el máximo fijado por trabajador/a serán compensadas con descanso a razón de dos horas descansadas por hora trabajada o abonadas según tablas anexas, siempre a opción de la Empresa.

No se tendrá en cuenta a efectos de la duración máxima de la jornada ordinaria laboral, ni para el cómputo del número máximo de las horas extraordinarias autorizadas el exceso de las trabajadas para prevenir o reparar siniestros u otros daños extraordinarios o reparaciones urgentes que impidan el funcionamiento del servicio, sin perjuicio de su abono como si se tratase de horas extraordinarias.

Se considerarán horas extraordinarias estructurales las necesarias por periodos puntas de producción, ausencias imprevistas, cambios de turno u otras circunstancias de carácter estructural derivadas de la naturaleza de la actividad o servicio de que se trate, siempre que no puedan ser sustituidas por la utilización de las distintas modalidades de contratación previstas legalmente. La determinación en cada caso de qué horas extraordinarias tienen la consideración de estructurales se llevará a cabo de acuerdo con los criterios fijados en la Orden del Ministerio de Trabajo y Seguridad Social de 1-3-83.

La Empresa se compromete a pasar mensualmente información al Comité de Empresa, sobre las horas extraordinarias realizadas el mes anterior.

Art. 34. Vacaciones.

1- Todo el personal tendrá derecho a unas vacaciones retribuidas de 30 días naturales con carácter general. No obstante los/as trabajadores/as que tengan entre 15 y 20 años de antigüedad en la Empresa, tendrán 31 días naturales de vacaciones, los/as que lleven entre 20 y 25 años de antigüedad tendrán 32 días naturales, los/as que lleven entre 25 y 30 años de antigüedad tendrán 33 días naturales, y a partir de 30 años de antigüedad tendrán 34 días naturales de vacaciones.

Igualmente se concederá 1 día de descanso en la Feria de Mayo.

La retribución de las vacaciones será por todos los conceptos excepto Complemento de Transporte, de Actividad, Nocturnidad e Indemnizaciones o suplidos. Así mismo todos/as los/as trabajadores/as fijos/as percibirán una bolsa de vacaciones para el año 2010 de 234,21 euros, y para el año 2011 de 274,21 euros; pagadera junto con la nómina del mes de Agosto. Los/as trabajadores/as Fijos/as-Discontinuos/as percibirán la parte proporcional de dicha bolsa de acuerdo con los meses de devengo pagaderos junto con la liquidación del mes de Junio. El resto de personal eventual temporal la percibirá en proporción al tiempo trabajado. Perdiéndose el 50% de la cuantía que le correspondiese si el trabajador tuviera 1 día de ausencia injustificada al trabajo y el 100% en el supuesto de tener más de una ausencia injustificada.

El Personal que no alcance el año de antigüedad en la Empresa, sólo disfrutará en concepto de vacaciones, la parte proporcional al tiempo de permanencia en la misma.

Las vacaciones serán concedidas con arreglo a las necesidades del servicio, procurando complacer al personal en relación a la época de su disfrute.

Cuando el/la trabajador/a por necesidades del servicio haya de disfrutar el permiso anual en fechas distintas a las comprendidas entre el 15/6 y el 15/9, se le concederán 2 días de más de vacaciones o 1 día y 141,46 euros si el período que disfruta es de 15 días fuera de dicho plazo.

Para aquellos colectivos que sin perjuicio del servicio pueda realizarse un sistema más favorable a su disfrute en época de verano será estudiado su aplicación por la Dirección de la Empresa con audiencia a los/as Representantes de los Trabajadores/as.

Si durante el disfrute de vacaciones se causara baja por Incapacidad Temporal, quedarán interrumpidas. Una vez producida el alta médica el/la trabajador/a continuará disfrutando sus vacaciones hasta la fecha prevista inicialmente para su incorporación. El total de días no disfrutados como consecuencia de la IT se disfrutarán de forma negociada. Si una vez programado el periodo vacacional y con carácter previo al inicio de dicho periodo, el/la trabajador/a se viera afectado de Incapacidad Temporal, se retrasará el disfrute de las vacaciones. Finalizado el periodo de IT, el trabajador deberá incorporarse previamente a su Servicio y acordar con su Jefatura el periodo vacacional que le corresponda dentro del año natural.

Igualmente se tendrá derecho al disfrute de las vacaciones tras el periodo de licencia por gestación, siempre que no se haya disfrutado previamente.

Las vacaciones anuales se iniciarán en días laborables.

Del período de vacaciones que corresponda a cada trabajador/a no podrá en ningún caso descontarse los permisos o licencias que por otras causas se le concedan durante el año.

2.  Igualmente se concederá 1 día de descanso en la Feria de Mayo.

Los días 24 y 31 de Diciembre serán no laborables. Cuando estos días coincidan en domingo, se disfrutarán, según las necesidades del Servicio, en la semana anterior o posterior.

3.  Para todo el personal, las vacaciones se disfrutarán entre 15/6 al 15/9, excepto fijos discontinuos que las disfrutará durante el periodo de prestación de su servicio y periodos de descanso escolar para el personal de colegios y el personal fijo a tiempo completo de Colegios y Edificios Municipales en Julio y Agosto.

Se aceptarán cambios de turnos de vacaciones entre operarios/as de un mismo centro de trabajo si son de la misma categoría y turno.

Art. 35. Permisos y licencias.

Todo el personal de la Empresa tendrá derecho previo aviso y justificación a los permisos retribuidos que se detallan a continuación:

1. Licencia por matrimonio: En caso de matrimonio el/la trabajador/a tendrá derecho a una licencia de 20 días de duración. Esta licencia podrá ser disfrutada en serie con las vacaciones anuales.

2. Licencia parejas de hecho: Por inscripción como pareja o unión de hecho en el registro correspondiente, el trabajador o trabajadora tendrá derecho a un permiso de 20 días naturales, de forma única y exclusiva por la misma unión y que en ningún caso podrá ser de nuevo solicitado hasta transcurridos 5 años del disfrute anterior.

La fecha de inscripción registral determinará el día de comienzo de disfrute del citado permiso.

3. En caso de muerte del cónyuge o equivalente, abuelos/as, padres, padres políticos, hijos/as, nietos/as, hermanos/as o cuñados/as, el/la trabajador/a tendrá derecho a 3 días de licencia.

Cuando, con tal motivo, el/la trabajador/a necesite hacer un desplazamiento al efecto fuera de la provincia, el plazo será hasta de 7 días. Estas licencias se iniciarán el día del hecho o el siguiente de producirse. Si el/la trabajador/a hubiese prestado servicio el día del hecho causante, la licencia comenzará al día siguiente.

4. En caso de enfermedad o intervención quirúrgica, con hospitalización, de parientes señalados en el punto anterior, el/la trabajador/a tendrá derecho a dos días de licencia. Si la hospitalización se prorroga 3 o más días, la licencia será de 3 días.

Si el/la trabajador/a necesita hacer un desplazamiento al efecto fuera de la provincia, el plazo será hasta de 7 días.

5. Dos días en el caso de accidente o enfermedad grave e intervención quirúrgica sin hospitalización que precise reposo domiciliario, de parientes hasta el segundo grado de consaguinidad o afinidad. Cuando con tal motivo el/la trabajador/a necesite hacer un desplazamiento al efecto, el plazo será de cuatro días.

6. Por nacimiento o adopción de un/a hijo/a, se tendrá derecho a 3 días hábiles de licencia. Si el nacimiento se produce mediante cesárea, el padre tendrá derecho a 4 días hábiles de licencia.

7. En caso de traslado de domicilio, el/a trabajador/a tendrá derecho a 2 días de licencia.

8. El/la trabajador/a tendrá derecho al disfrute de los permisos retribuidos necesarios para concurrir a exámenes, cuando acredite cursar con regularidad estudios para la obtención de un título académico organizado por centros oficiales o reconocidos por las autoridades educativas competentes, acreditando además posteriormente la asistencia a dichos exámenes.

9. El/la trabajador/a tendrá permiso por el tiempo indispensable para el cumplimiento de un deber público inexcusable impuesto por las disposiciones vigentes.

10. Para asuntos particulares, al trabajador/a fijo/a de plantilla se le concederán 6 días de licencia al año; el personal fijo discontinuo disfrutará la parte proporcional correspondiente al periodo de trabajo dentro del período de un año; prorrateándose los días para los contratados por tiempo inferior al año. Con percepción de sus retribuciones en las mismas condiciones que en las vacaciones.

Dicha licencia será concedida de acuerdo con las necesidades del servicio.

Excepcionalmente, por causa motivada, se podrá autorizar el disfrute fraccionado en horas de los días de Asuntos Propios, dependiendo, en todo caso, de las necesidades del servicio.

En ningún caso podrán ser acumulables al mes de vacaciones.

11. Por matrimonio de hijo/a, el/la trabajador/a disfrutará de un día de licencia que coincidirá con el día de la boda.

12. En gestación, se aplicará lo dispuesto legalmente.

13. Permiso por paternidad: Se aplicará lo dispuesto legalmente, y además la Empresa concederá dos días más que se disfrutarán de forma ininterrumpida al permiso legal de paternidad.

14. Las trabajadoras, por lactancia de un hijo/a menor de doce meses, tendrán derecho a una hora de ausencia al trabajo, que podrán dividir en dos fracciones. La duración del permiso se incrementará proporcionalmente en caso de parto múltiple.

La mujer, por su voluntad, podrá sustituir este derecho por una reducción de su jornada en 1 hora con la misma finalidad o acumular en jornadas completas.

Este permiso podrá ser disfrutado indistintamente por la madre o el padre, en el caso de que ambos trabajen.

15. El/la trabajador/a dispondrá de 6 horas anuales para asistencia al médico especialista, y 9 horas más, recuperables, para asistencia médica. Todas estas horas serán debidamente justificadas.

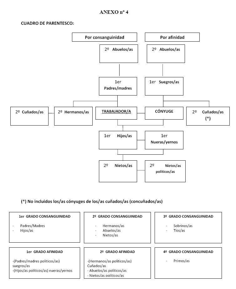
(Anexo nº 4: Cuadro de Parentesco)

Art. 36. Licencias extraordinarias.

La Empresa, podrá conceder al personal afectado por el presente Convenio, licencias extraordinarias no retribuidas por un periodo máximo de tres meses. El/la trabajador/a que obtenga alguna licencia de este tipo, no podrá solicitarla nuevamente hasta transcurrido un año desde la concesión de la anterior.

El tiempo que duren estas licencias extraordinarias no se computarán a ningún efecto.

Art. 37. Excedencias.

El personal fijo de plantilla, con un tiempo mínimo de un año al servicio de la Empresa, podrá pasar a la situación de excedencia, sin derecho a retribución alguna en tanto no se reincorpore al servicio activo.

La excedencia será de dos clases: Voluntaria y Forzosa.

Art. 38. Excedencia voluntaria.

Es la que se concede por un plazo superior a cuatro meses e inferior a diez años, sin que se compute el tiempo que dure esta situación a efectos de aumentos por años de servicio. Entre una excedencia voluntaria y otra habrá de mediar al menos dos años, salvo que concurra la condición contenida en el Art. 46.3 del Estatuto de los Trabajadores, en cuyo caso se aplicará lo allí establecido.

Deberá ser solicitada por escrito e informada por el Comité de Empresa. El plazo de concesión o denegación no podrá exceder de 20 días.

La negativa estará basada en alguna de las siguientes causas:

Falta de Personal.

No llevar como mínimo un año al servicio de la Empresa.

Haber disfrutado de otra excedencia en los últimos dos años.

La petición de excedencia voluntaria deberá despacharse favorablemente cuando se fundamente en terminación o ampliación de estudios, exigencias familiares de carácter ineludible u otra causa análoga, que sea acreditada debidamente por el/la trabajador/a.

Si el/la trabajador/a no solicitara el reingreso 30 días antes del término del plazo señalado para la excedencia, perderá el derecho a su puesto en la Empresa.

El/la trabajador/a que solicite excedencia por dos años tendrá derecho a ocupar de manera automática su plaza una vez finalizado el periodo de excedencia. En las excedencias por tiempo superior a dos años, tendrá derecho a ocupar la primera vacante de su categoría que se produzca, si la vacante que hubiera o se produjese fuera de categoría inferior a la suya, podrá optar entre ocuparla de forma automática, con el salario a ella asignado o esperar a que se produzca una vacante de su categoría.

Art. 39. Excedencia forzosa.

La Excedencia Forzosa se concederá en los siguientes casos:

Nombramiento para cargo público de carácter político en la esfera del estado, comunidad autónoma, provincia o municipio que imposibilite la asistencia al trabajo.

A quienes ostenten cargos electivos o retribuidos a nivel provincial, autónomo o estatal, en las organizaciones sindicales.

En los casos citados, la excedencia se prolongará por el tiempo que dure el cargo que la determina. El reingreso será automático y el/la trabajador/a tendrá derecho a ocupar una plaza de la misma categoría que ostentaba antes de producirse la excedencia forzosa.

El tiempo que dure esta excedencia se computará para la antigüedad a todos los efectos.

El/la Trabajador/a excedente forzoso/a tiene la obligación de comunicar a la Empresa, en un plazo no superior a un mes, la desaparición de las circunstancias que motivaron su excedencia, caso de no efectuarse en ese plazo, perderá el derecho al reingreso.

Art. 40. Enfermedad.

Aparte de lo establecido en las disposiciones sobre Seguridad Social con relación a indemnizaciones que deben percibir en tiempo de I.T., Maternidad y respetando las condiciones más beneficiosas se reservará el puesto de trabajo al personal de plantilla fija, cuando cese la incapacidad cualquiera que sea el tiempo de la misma.

Para el personal eventual, la reserva del puesto de trabajo durará lo que el contrato.

Art. 41. Reincorporación al trabajo.

Los/as trabajadores/as, una vez recibida el Alta del médico que les asista, deberán presentarse en la Empresa al día siguiente hábil.

Capítulo VIII. Retribuciones.

Art. 42.Salarios.

Las remuneraciones o retribuciones que venga aplicando la Empresa en el momento de entrada en vigor del presente Convenio, quedan totalmente sustituidas por las Tablas Retributivas que se insertan en los anexos del mismo.

El régimen de remuneración del personal de la Empresa, está constituido, en aplicación del Estatuto de los/as Trabajadores/as, por los conceptos retributivos siguientes:

1. Salariales.

1.1. Sueldo Base.

2. Complementos Salariales.

2.1. De Puesto de Trabajo.

2.1.1. De Nocturnidad.

2.1.2. De Turnicidad en Mecánicos.

2.1.3. C.P. Trabajo (comprende la penosidad, toxicidad y peligrosidad, así como el complemento administración en administrativos y el complemento de responsabilidad en los mandos).

2.1.4. Modalidad 7X5 y de domingos y festivos.

2.1.5. De superior categoría de conformidad con el Art. 10

2.1.6. De flexibilidad horaria (mandos intermedios, administrativos y técnicos)

2.2. Por Calidad o Cantidad de Trabajo.

2.2.1. De Asistencia.

2.2.2. De Actividad.

2.2.2. Horas Extraordinarias.

2.2.3. Bolsa de Vacaciones.

2.3. Personales.

2.3.1 Antigüedad.

2.4. De vencimiento periódico superior al mes.

2.4.1. Pagas Extraordinarias de Marzo, Junio, Septiembre y Navidad.

3. Percepciones no salariales.

3.1. Complemento de Transporte

3.2. Complemento de desplazamiento.

3.3. Complemento de Desgaste de Ropa.

3.4. Quebranto de moneda

Art. 43. Forma de pago.

El pago de los haberes y demás emolumentos que puedan corresponder a cada empleado/a, se efectuará mensualmente y se realizará a través de ingreso en cuenta bancaria o entrega de un talón nominativo, a elección del/a empleado/a.

El importe de los devengos de carácter fijo, se realizará por parte de la Empresa, dentro de los tres días hábiles del siguiente mes y los anticipos de salario, para quién lo solicite, le serán abonados por la empresa el día 15 de cada mes.

Art. 44. Salario base.

El Salario Base de los/as trabajadores/as de la Empresa comprendidos en el Convenio, es el entendido como la parte de la retribución del/de la trabajador/a fijada por unidad de tiempo y será el que para cada nivel salarial se establece en las tablas anexas, que a todos los efectos se entenderá que forma parte de este Convenio.

Se devengará durante todos los días naturales, computándose como uno de los conceptos retributivos aplicables a efectos de pagas extraordinarias y vacaciones.

Art. 45. Complemento de transporte.

El personal afectado por el presente convenio tendrá derecho a percibir un Complemento de Transporte establecido en las tablas anexas.

El Complemento de Transporte, será satisfecho únicamente por día efectivo de trabajo y en su consideración nunca dejará de ser compensatorio de gastos de desplazamiento o viaje hacia el ejercicio de la actividad.

Art. 46. Complemento de desplazamiento.

Aquellos/as trabajadores/as que deban desplazarse a Casillas, Vertedero de Asland o Colegio Nacional La Aduana percibirán en el año 2011 la cuantía de 3,52 euros / día y los que se desplacen al Complejo Medioambiental 4,78 euros / día.

Este complemento será satisfecho únicamente por día efectivo de trabajo y en su consideración nunca dejará de ser compensatorio de gastos de desplazamiento o viaje hacia el ejercicio de la actividad.

No se computará este Complemento a efectos de pagas extraordinarias y vacaciones, licencias o permisos.

Art. 47. Complemento de nocturnidad.

Se establece un Complemento de Nocturnidad para el trabajo realizado entre las 10 de la noche y las 6 de la mañana, para todos/as los/as trabajadores/as, sin distinción de categorías, según tablas anexas. Este complemento se abonará únicamente sobre las horas realmente trabajadas cuando la labor realizada lo haya sido en tiempo inferior a media jornada.

Art. 48. Complemento de puesto de trabajo.

Todos/as los/as trabajadores/as percibirán la cuantía que figura en las tablas de acuerdo con la categoría y servicio.

El personal que realice las limpiezas especiales de pisos percibirá la cantidad de 11,03 euros por día que realmente preste trabajo.

Los/as trabajadores/as asignados/as al lavadero del Complejo Medioambiental cobrarán en concepto de Complemento de Puesto de Trabajo igual cuantía, en su categoría correspondiente, que los/as trabajadores/as del Vertedero.

Art. 49. Complemento de flexibilidad horaria.

Al objeto de compensar a aquellos/as trabajadores/as, técnicos/as, mandos intermedios y administrativos/as que de manera accidental no permanente pueden ver alterado su horario habitual por necesidades del servicio, percibirán la cuantía que figura en tabla anexa.

Art. 50. Complemento de asistencia.

Se establece un Complemento de Asistencia al trabajo, por el importe que figura en las tablas anexas.

Se perderá el citado Complemento por las personas que no asistan al trabajo por cualquier causa, excepto si la ausencia está motivada por accidente de trabajo, licencias, vacaciones o asuntos propios.

Art. 51. Complemento de actividad.

Se percibirá un Complemento de Actividad, cuyo importe por categorías se establece en las tablas anexas.

Este Complemento será satisfecho por día efectivo de trabajo, y disminuirá por los días de ausencia, sea cual fuese el motivo de la misma. La cuantía de este Complemento correspondiente a los días de Asuntos Propios y Vacaciones, está incluida en el importe de la Bolsa de Vacaciones.

Art. 52. Quebranto de moneda.

- La cuantía para el personal que realiza cobros y pagos será de 31,61 euros / mes .

- La cuantía para el personal que gestiona un fondo fijo será de 15,80 euros / mes.

Art. 53. Complemento de desgaste de ropa.

Se establece un plus para el personal administrativo que no reciba ropa de trabajo de la Empresa de 23,71 euros / mes.

Art. 54. Complemento por las modalidades de trabajo en domingos y festivos y 7 x 5.

Todo el personal que trabaja habitualmente en domingos y festivos percibirá la cuantía de 56,57 euros por domingo o festivo realmente trabajado.

Art. 55. Complemento de turnicidad mecánicos/as.

Los/as mecánicos/as que en taller realicen turnos de noche y realicen distintos horarios, percibirán una cuantía mensual de 56,59 euros.

Art. 56. Gratificaciones extraordinarias.

Son cuatro de carácter trimestral:

La de Marzo, que se hará efectiva con la mensualidad correspondiente al mes de Marzo.

La de Junio, que se hará efectiva con la mensualidad de Junio.

La de Septiembre que se hará efectiva con la mensualidad de Septiembre.

La de Navidad, que se hará efectiva el día 20 de Diciembre.

Todas ellas estarán constituidas por 30 días de salario base y antigüedad.

El personal que ingrese o cese en el transcurso del año, percibirá las gratificaciones en proporción al tiempo trabajado.

Art. 57. Antigüedad.

Todo el personal que se encuentre integrado en la Empresa con carácter fijo o fijo discontinuo, gozará de aumentos periódicos por años de servicio, comenzando la fecha de cómputo de dichos aumentos a partir del ingreso del mismo en la Empresa como plantilla.

Al personal fijo que haya tenido con anterioridad un contrato temporal e ingrese en plantilla sin interrupción, se computará dicho contrato temporal a efectos de antigüedad.

Desde la fecha de aplicación de este Convenio, los incrementos en derechos de antigüedad, se realizarán de acuerdo con la tabla que figura como anexo.

La antigüedad comenzará a devengarse desde el día uno del mes en que se cumpla.

Art. 58. Plan de pensiones.

A) Sobre composición y sistema de elección.

En 1.995 se sustituyeron los premios extraordinarios y de constancia por un Plan de Pensiones, dicho plan denominado “Plan de Pensiones de Saneamientos de Córdoba, S.A.” está integrado desde 1.995 en BBV Adhesión Fondo de Pensiones y se rige por su propio reglamento.

Los/as trabajadores/as de Sadeco pasarán a formar parte del Plan de Pensiones a los dos años de antigüedad en la empresa, salvo que en plazo de 30 días, declaren expresamente por escrito a la Comisión de Control que no desean ser incorporados/as.

La composición de la Comisión de Control del Plan de Pensiones de Sadeco es la siguiente:

- 4 representantes de los/las participes

- 1 representante de los beneficiarios/as

- 2 representantes de la Empresa

Mientras exista un número inferior a 10 beneficiarios/as en el Plan la representación de los/as mismos/as la ostentarán los/las participes pasando a tener un/a representante más.

Los/las representantes de los participes y beneficiarios en la Comisión de Control será realizada por el Comité de Empresa, a propuesta de las Secciones Sindicales de la Empresa o del 20% de los/as delegados/as, debiendo contar los elegidos con la mayoría absoluta del Comité. Igual procedimiento se realizará para la renovación o revocación de los mismos.

B) Aportaciones.

Las aportaciones de la Empresa por cada trabajador/a se definen en base a dos tablas que se unirán como Anexo de este Convenio y los ingresos se harán mensualmente.

En el ejercicio 2010 se incrementan las aportaciones del año 2009 en un 1%, al igual que en el año 2011, que también se incrementarán las aportaciones del año 2010 en el 1%. (Anexo nº 5: Plan de Pensiones)

Capítulo IX. Beneficios y servicios asistenciales.

Art. 59. Anticipos reintegrables y fondo social.

A la solicitud motivada del/a interesado/a, la Empresa abonará Anticipos Reintegrables por un importe máximo de 1.202,20 euros.

Dichos anticipos serán reintegrados en 20 mensualidades contadas desde la siguiente a la fecha de su concesión y no devengará interés alguno.

La Comisión que decida sobre la procedencia o no de los anticipos solicitados, estará compuesta por dos representantes de la Empresa y un miembro del Comité de Empresa.

La Empresa concederá 60 anticipos reintegrables durante el año.

Normas que regularán el funcionamiento del Fondo de Asistencia Social.

1) Creación: El Fondo de Asistencia Social, se establece para los/as empleados/as fijos/as de la Empresa Municipal Saneamientos de Córdoba, S.A., al objeto de que puedan acceder a una ayuda económica ante determinadas prestaciones no cubiertas actualmente por la Seguridad Social.

2) Cuantía: La cifra estipulada para tal fin se establece en el 0,18% del presupuesto total de la Empresa.

3) Ámbito de aplicación: Además de los/as empleados/as fijos/as, este fondo se hace extensivo al cónyuge, ascendientes y descendientes, siempre que convivan con el/la interesado/a y estén a su cargo.

4) Comisión: Las facultades de interpretación de esta norma, así como las necesarias para su aplicación, concesión de ayudas, etc., estarán a cargo de una Comisión de Asuntos Sociales, compuesta por dos representantes de la Empresa y dos del Comité de Empresa, que completará a la actual de Anticipos Reintegrables.

5) Causas que se contemplan y cuantías a aplicar:

a) Tratamientos odontológicos:

El 50% del valor de la factura acreditativa del tratamiento efectuado a cada beneficiario/a.

Tope máximo: 700 euros.

Tope mínimo: 60 euros.

En el supuesto que el valor total de la factura fuera inferior al mínimo, la cuantía aplicada corresponderá al importe íntegro de la misma.

Sólo se abonará un tratamiento al año; los pagos parciales se considerarán como lo que son, parte del total de la factura.

b) Prótesis ortopédicas especiales:

La Comisión determinará en cada caso, el importe de la prestación.

c) Prescripción de lentes: (se aplicará en montura, cristales y/o lentes de contacto) Solicitud por beneficiario/a tope máximo: 100 euros.

Solicitud por beneficiario/a tope mínimo: 30 euros.

En el supuesto que el valor total de la factura fuera inferior al mínimo, la cuantía aplicada corresponderá al importe íntegro de la misma.

d) Tratamientos clínicos especiales:

La Comisión determinará en cada caso el importe de la prestación.

e) Educación Especial:

La prestación queda limitada a casos de minusvalías físicas o psíquicas, cuando dicha educación esté totalmente a cargo del/de la trabajador/a.

Las decisiones que la Comisión tome cuando trate casos de los apartados b), d) y e), sentarán precedentes para casos similares.

Así mismo la Dirección de la Empresa asumirá aquellas cuestiones sociales que sean acordadas por la Comisión de asuntos sociales dentro de la cuantía asignada al fondo social.

g) Ayudas a Familiares Discapacitados:

Los/as trabajadores/as que tengan a su cargo el/la cónyuge o hijos/as discapacitados físicos, psíquicos o sensoriales, con un grado de minusvalía igual o superior al 65%, que les incapacite para el trabajo, tendrán derecho a percibir una ayuda mensual por cada familiar en estas circunstancias, previa certificación emitida por el organismo competente, la cual deberá renovar anualmente si la calificación no es definitiva.

La cantidad a abonar a partir del primer año de vigencia del Convenio se estipula en 50 euros.

Estas ayudas no se percibirán por aquellos familiares que reciban pensión, ayuda, subvención o cualquier tipo de ingreso superior al 75% del IPREM (indicador público renta efectos múltiples).

En el supuesto de que dos trabajadores/as de Sadeco soliciten esta ayuda con referencia a la misma persona discapacitada, sólo uno de ellos podrá percibirla.

h) Ayuda Escolar

- Anualmente, se concederá una ayuda de 30 euros por gasto escolar a los/as trabajadores/as que cumplan los siguientes requisitos:

1. Tener hijos/as matriculados/as en 2º ciclo de educación infantil, educación primaria, ESO, ciclos formativos de formación profesional, bachillerato, programas de cualificación profesional inicial y cursos académicos de diplomatura, licenciatura, grado o master universitario.

2. El/la beneficiario/a tenga entre 3 y 25 años de edad.

- Se abonará en la nómina de Octubre, previa solicitud entre el 1 de junio y el 30 de septiembre. Las solicitudes deberán de ir acompañadas de la documentación acreditativa correspondiente.

j) Ayuda a Guardería

Anualmente se concederá a los/as trabajadores/as con hijos/as menores de 3 años, una ayuda por gastos de guardería de 60 euros.

Habrá que justificar que el niño asiste a la guardería al menos 6 meses en el año. Se abonará en la nómina de Octubre, previa solicitud entre el 1 de Junio y el 30 de Septiembre.

6) Requisitos:

- Ser empleado/a fijo/a de la Empresa Municipal Saneamientos de Córdoba S.A.

- Que no realice otro trabajo remunerado.

- Cursar la correspondiente solicitud, a través del impreso, creado al efecto, sin omitir ninguno de los datos que se solicitan.

- Es imprescindible adjuntar a la solicitud los justificantes acreditativos de la ayuda solicitada (diagnóstico y factura/recibo del tratamiento efectuado).

- Que la prestación solicitada no esté cubierta por la Seguridad Social, ni se reciba otro tipo de ayuda por organismo oficial alguno.

7) Tramitación de Solicitudes:

Se dirigirá al/a la Presidente/a del Consejo de Administración de esta Empresa Municipal el impreso creado para dicha prestación.

8) Fondo Sobrante:

La Comisión del Fondo Social decidirá el destino del sobrante de cada año, que podrá acumularse para el año siguiente, repartirse de forma lineal o incrementar la cuantía asignada a cada trabajador/a en su aportación correspondiente del Plan de Pensiones, y/o podrá destinar hasta 6000 euros a proyectos de ayuda humanitaria.

Art. 60. Prestación complementaria por I.T.

En caso de I.T. del personal afectado por este Convenio, cualquiera que sea la causa que la motive, la Empresa abonará un complemento que, sumado a las prestaciones reglamentarias que puedan corresponder al/a la interesado/a, garantice a éste/a la percepción del 100% de las retribuciones que viniera percibiendo en activo, con excepción del Complemento de Transporte y de las que tuvieran carácter de compensatorias de un gasto al que no hubiera lugar en la situación de baja por I.T. Lo anterior sólo será de aplicación en aquellos/as trabajadores/as que cumplan el requisito de tener cotizados 180 días dentro de los 5 años inmediatamente anteriores a la fecha en que se produzca la baja médica por tal circunstancia.

Esta ayuda económica comenzará a devengarse a partir del primer día y se mantendrá mientras el/la trabajador/a esté en I.T. y en Alta en la Empresa, debiéndose someter los beneficiarios de cada ayuda a los reconocimientos médicos que la Empresa considere necesarios.

Se perderá el derecho a la percepción por el/la trabajador/a de esta prestación complementaria, en el tercer proceso y siguientes de I.T. por enfermedad común, dentro del año natural, excluyéndose de tales procesos los accidentes no laborales, laborales, e intervenciones quirúrgicas.

Se crea una Comisión formada por el/la Director/a-Gerente, el/la Director/a de Recursos Humanos y un/a miembro del Comité de Empresa para analizar y resolver aquellos casos en los que la aplicación de este apartado perjudique a quienes por su trayectoria profesional no tenga antecedentes.

Se perderá el derecho a la percepción de esta prestación complementaria si el/la trabajador/a no presenta a la Empresa la correspondiente baja médica, expedida por los servicios competentes de la Seguridad Social o no acude a la citación del Médico de Empresa, sin causa justificada.

Las economías que se produzcan como consecuencia de la aplicación de lo anterior incrementarán el fondo social.

Art. 61. Póliza de accidentes y póliza de vida.

1. Póliza de Accidentes: La Empresa tendrá suscrita una Póliza de Accidentes de Trabajo, que garantice a cada trabajador/a a las siguientes indemnizaciones:

- En caso de fallecimiento por accidente de trabajo: 12.000 euros.

- En caso de Incapacidad Permanente Absoluta derivada de Accidente de Trabajo o Enfermedad Profesional: 12.000 euros.

Siendo la cobertura para ambos riesgos de las 24 horas del día.

2. Póliza de Vida: La Empresa tendrá suscrita una Póliza de Vida de 22.500 euros, que cubra las garantías en caso de fallecimiento o incapacidad absoluta para todo el personal fijo.

El/la trabajador/a que adquiera la condición de fijo de plantilla deberá cumplimentar el boletín de adhesión a la Póliza de Vida.

Art. 62. Defensa jurídica.

La Empresa facilitará inexcusablemente defensa jurídica a todos aquellos trabajadores/as que sean atropellados/as o agredidos/as en actos de servicio.

Al objeto de garantizar este derecho, el/la trabajador/a que se vea implicado/a en cualquier incidencia de las previstas en el párrafo anterior, informará al Departamento de Recursos Humanos a través del correspondiente parte, al objeto de que este Departamento informe a la Asesoría Jurídica y esta asuma la defensa por cuenta de la Empresa.

Art .63. Garantías profesionales.

Aquellos/as trabajadores/as cuya actividad en la Empresa, consista en conducir un vehículo que precise un carnet de cualquier categoría, en caso de retirada de éste por la Autoridad Gubernativa o Judicial por causas consecuentes del desempeño de sus funciones en la Empresa, pasarán a ocupar otro puesto de trabajo adecuado a sus conocimientos dentro de la misma, mientras dure la supresión del permiso de conducir, comprometiéndose la Empresa a respetar las retribuciones salariales que le correspondían por su categoría antes de la retirada del permiso, excepto los Complementos Salariales inherentes a su puesto de trabajo anterior.

No obstante, estos complementos salariales inherentes a su puesto de trabajo, se abonarán si la retirada del Permiso de Conducir se produce por causas ajenas a la voluntad del/a trabajador/a.

Si la retirada del Carnet se produce como consecuencia ajena a su actividad en la Empresa, las retribuciones salariales que percibiría serían las correspondientes a la categoría y puesto de trabajo que ocupe.

La Empresa abonará previa justificación, las tasas y certificado médico correspondiente a la renovación por caducidad del carnet de conducir a los/as trabajadores/as de las categorías profesionales donde habitualmente utilicen vehículos o maquinaria de la Empresa.

Si algún/a trabajador/a fuera sancionado con una multa económica en el desempeño de sus funciones, ésta será asumida por la Empresa, siempre que la misma no haya sido a causa de negligencia o faltas a las normas.

Art. 64. Jubilación.

1.  Previo acuerdo entre las partes, se podrán producir jubilaciones parciales, de aquellos/as trabajadores/as cuya edad no sea en ningún caso inferior en tres años a la ordinaria de jubilación del correspondiente régimen, con contrato de relevo y en los términos establecidos por la legislación vigente en la materia. En tales casos, el/la trabajador/a percibirá un complemento que junto a la pensión correspondiente de la Seguridad Social le garantice el 100% de sus retribuciones durante el período de Jubilación Anticipada Parcial.

2.  Igualmente, previo acuerdo entre las partes, se podrán producir jubilaciones parciales, de aquellos/as trabajadores/as cuya edad sea inferior en cuatro o cinco años a la ordinaria de jubilación del correspondiente régimen, con contrato de relevo y en los términos establecidos por la legislación vigente en la materia . En estos casos, el/la trabajador/a percibirá un complemento que junto a la pensión correspondiente de la Seguridad Social, le garantice durante el periodo de jubilación anticipada parcial un porcentaje de sus retribuciones igual al porcentaje que le haya reconocido la Entidad Gestora en función de su periodo de cotización.

3.  La concesión o no del acceso a la jubilación parcial solicitada, se resolverá en un plazo de dos meses, salvo retrasos no imputables a la Empresa.

Art. 65. Herramientas, prendas de trabajo y seguridad.

La Empresa facilitará al personal los utensilios y herramientas que precisen para la realización de los trabajos que se le encomienden. Asimismo, la Empresa facilitará los elementos de protección, la ropa y calzado adecuados para el desempeño del trabajo, debiéndose entregar a fin de contrato o para su reposición, por otros nuevos, cuando por su uso o deterioro aconsejen el cambio.

Los elementos de protección, uniformes de trabajo, ropa y calzado, son de uso obligatorio en todas las categorías que lo tengan asignado.

Para el año 2009 se contempla una cantidad de referencia para suministro de ropa del personal fijo y fijo discontinuo de 114.985 euros, siendo estudiada la calidad, cantidad y temporalidad por una Comisión Paritaria en la que participarían los/as Representantes de los/as Trabajadores/as y los/as Representantes de la Empresa.

Si al final del periodo del Convenio se produjesen economías sobre el importe de referencia de 2009, se aplicarían en primer lugar a la mejora en la calidad de la ropa, y de persistir las mismas, en una mejora social que revierta sobre los/as trabajadores/as afectados/as por la ropa de trabajo.

Art. 66. Reconocimiento médico.

Antes de comenzar a prestar sus servicios, cada trabajador/a será sometido a reconocimiento médico por el Servicio Médico de la Empresa, que dictaminará la aptitud física del mismo para el desempeño de la función que haya de encomendársele.

Así mismo, se establecerá un reconocimiento médico anual para todo el personal de la Empresa.

Capítulo X. Faltas y sanciones.

Art. 67. Acoso sexual, acoso por razón de sexo, y acoso moral o mobbing.

Acoso sexual

Constituye acoso sexual en el trabajo cualquier comportamiento, verbal o físico, de naturaleza sexual que sea indeseado por parte de la persona objeto de dicho comportamiento y tenga el propósito o produzca el efecto de atentar contra la dignidad de una persona, en particular cuando se crea un entorno intimidatorio, degradante u ofensivo, mediante actitudes, manifestaciones o comentarios inapropiados.

Acoso por razón de sexo

Constituye acoso por razón de sexo, todo comportamiento realizado en función del sexo de una persona, con el propósito o el efecto de atentar contra su dignidad y crear un entorno intimidatorio, degradante u ofensivo, así como cualquier trato adverso o efecto negativo que se produzca en una persona como consecuencia de la presentación por su parte de una queja, reclamación, denuncia, demanda o recurso, destinados a impedir y a exigir el cumplimiento efectivo del principio de igualdad entre hombres y mujeres.

El condicionamiento de un derecho o de una expectativa de derecho, a la aceptación de una situación constitutiva de acoso sexual o por razón de sexo, se considera también como acto discriminatorio por razón de sexo.

Acoso moral o mobbing

Se entiende como acoso moral, la agresión repetida o persistente por una o más personas durante un tiempo prolongado, ya sea verbal, psicológica, o física, en el lugar de trabajo o en conexión con el trabajo, que tiene como finalidad la humillación, el menosprecio, el insulto, la coacción o la discriminación de la víctima (aislamiento, rechazo o prohibición de comunicación, la degradación intencionada en las condiciones del puesto de trabajo, la violencia verbal).

En todo caso, la normativa vigente determinará las definiciones de acoso sexual, acoso por razón de sexo y acoso moral, en el momento de su aplicación.

Art. 68. Régimen disciplinario.

El personal de la Empresa quedará sometido al régimen disciplinario que se consigna en los artículos siguientes, en el Convenio General del Sector y en el Estatuto de los Trabajadores, cuando con motivo de la realización de determinados hechos, infrinja las normas legalmente establecidas.

Art. 69. Faltas leves.

Son Faltas Leves:

1.  Más de 3 faltas de puntualidad al trabajo sin la debida justificación en el período de un mes.

2.  El abandono del trabajo sin causa justificada por tiempo no superior a 30 minutos.

3.  Faltar 1 día al trabajo sin causa justificada en el periodo de un mes.

4.  No estar debidamente equipado, maltratar la ropa o no entregar la ropa usada o deteriorada, cuando se solicita la nueva o termina el contrato de trabajo.

5.  No cursar en tiempo oportuno la baja correspondiente, o no comunicar con la antelación previa debida, la inasistencia al trabajo por causa justificada, a no ser que se pruebe la imposibilidad de haberlo efectuado.

6.  La falta de diligencia o de corrección en el trato con el público y compañeros/as de trabajo de inferior, igual o superior categoría, cuando perjudiquen la imagen de la Empresa.

7.  Las discusiones con los/as compañeros/as de trabajo siempre que no se produzcan en presencia del público.

8.  Acumular o almacenar en los lugares de trabajo materias nocivas o peligrosas, susceptibles de descomposición o de producir infecciones.

9.  Comer o ingerir bebidas alcohólicas durante las horas de trabajo.

10.  La embriaguez no habitual en el trabajo.

11.  No comunicar a la Empresa los cambios de domicilio.

12.  No realizar marcaje de entrada o salida, siempre que no se haya comunicado su imposibilidad, en la mayor brevedad posible, al/a la Responsable correspondiente.

13.  El descuido en la conservación de la tarjeta de fichajes de entrada y salida.

Art. 70. Faltas graves.

Son Faltas Graves:

1.  Más de 5 faltas de puntualidad al trabajo sin justificar en el período de un mes.

2.  Faltar al trabajo sin justificar más de 1 día y menos de 5 en el período de un mes.

3.  La embriaguez habitual en el trabajo.

4.  La desobediencia a las órdenes e instrucciones de trabajo, incluidas las relativas a las normas de seguridad e higiene. Si la desobediencia implica quebranto manifiesto para el trabajo, o de ella se derivase perjuicio notorio para la Empresa, podrá considerarse como Falta Muy Grave.

5.  La disminución reiterada y voluntaria en el rendimiento normal del trabajo.

6.  El abandono del puesto de trabajo sin causa justificada por tiempo superior a 30 minutos; o por tiempo inferior, siempre que hubiese causado riesgo a la integridad de las personas o de las cosas o perjuicio al Servicio.

7.  Las discusiones con compañeros/as de trabajo siempre que se produzcan en presencia del público.

8.  Las ofensas de palabra y las amenazas al público o a los/as compañeros/as de trabajo, sean de inferior, igual o superior categoría.

9.  La suplantación de otro/a trabajador/a, alterando los registros y controles de entrada y salida del trabajo.

10.  El entorpecimiento, la omisión maliciosa y el falseamiento de los datos que tuvieran incidencia en la Seguridad Social.

11.  La falta de comunicación a la Empresa de los desperfectos o anormalidades observados en los útiles, herramientas, maquinaria, vehículos y obras a su cargo, cuando de ello se hubiere derivado un perjuicio para la Empresa.

12.  La realización de trabajos particulares durante la jornada así como el empleo de útiles, herramientas, maquinaria, vehículos y, en general, bienes de la Empresa para los que no estuviera autorizado o para usos ajenos a los del trabajo encomendado, incluso fuera de la jornada laboral.

13.  La falta de aseo y limpieza personal cuando pueda afectar a la prestación del servicio y siempre que, previamente, hubiere mediado la oportuna advertencia de la Empresa.

14.  La reincidencia de Faltas Leves que hubieran sido sancionadas, aunque sean de distinta naturaleza, cometidas en el trimestre anterior.

Art. 71. Faltas muy graves.

Son Faltas Muy Graves:

1.  Más de 30 faltas de puntualidad injustificadas en el período de un año.

2.  Faltar al trabajo 5 días o más sin causa justificada en el período de un mes.

3.  Originar accidentes graves por negligencia o imprudencia.

4.  Hacer desaparecer, inutilizar o causar desperfectos de manera intencionada en materiales, herramientas, aparatos, instalaciones, edificios o documentos de la Empresa.

5.  La ofensa grave de palabra, las amenazas graves, los malos tratos de obra, el abuso de autoridad y las faltas graves de respeto con el público o los/as compañeros/as de trabajo de inferior, igual o superior categoría.

6.  Originar frecuentes riñas y pendencias con los/as compañeros/as de trabajo.

7.  El fraude, deslealtad o abuso de confianza en las gestiones encomendadas o la apropiación, hurto o robo de bienes propiedad de la Empresa, de compañeros/as o de cualesquiera otras personas dentro de las dependencias de la Empresa o lugares habituales de trabajo.

8.  La simulación de enfermedad o accidente o la prolongación de la baja por enfermedad o accidente, con la finalidad de realizar cualquier trabajo por cuenta propia o ajena u otra actividad.

9.  La embriaguez habitual o toxicomanía si repercute negativamente en el trabajo.

10.  La realización de actividades que impliquen competencia desleal a la Empresa.

11.  El abuso de autoridad ejercido por quienes desempeñan funciones de mando.

12.  El acoso sexual, el acoso por razón de sexo o el acoso moral o mobbing.

13.  La reiterada no utilización de los elementos de protección en materia de seguridad e higiene, debidamente advertida.

14.  No comunicar la retirada temporal o definitiva del permiso de conducir (comunicación y entrega de documentación) por la autoridad competente, siempre que este permiso sea necesario para el desarrollo del trabajo.

15.  La reincidencia en Falta Grave, aunque sea de distinta naturaleza, siempre que se cometa dentro de un período de 6 meses de la primera.

Art. 72. Sanciones.

Las sanciones que la Empresa podrá imponer según la gravedad y circunstancias de las faltas cometidas y de conformidad con este Convenio Colectivo, serán las siguientes:

Por Faltas Leves:

a) Amonestación verbal.

b) Amonestación por escrito.

c) Suspensión de empleo y sueldo de 1 día.

Por Faltas Graves:

a) Suspensión de empleo y sueldo de 2 a 5 días.

b) Inhabilitación por plazo no superior a 6 meses para el ascenso

a la categoría superior.

Por Faltas Muy Graves:

a) Suspensión de empleo y sueldo de 6 días a 6 meses.

b) Inhabilitación durante 1 año para ascender de categoría.

c) Despido.

En el caso de que por el Juzgado de lo Social fuese declarado improcedente el despido disciplinario, la opción que reconoce el Art. 56.1 E.T., al empresario, pasa a ser opción del/la trabajador/a fijo, que en un plazo de cinco días debe decidir entre la reincorporación al trabajo o la percepción de la indemnización correspondiente.

Art. 73. Prescripción de las faltas.

Las Faltas Leves prescribirán a los 10 días, las Graves a los 20 días y las Muy Graves a los dos meses. Todas ellas desde su conocimiento por la Empresa, y en todo caso, a los 6 meses de haberse cometido. La prescripción se interrumpirá a partir de que se comunique el pliego de cargos al infractor.

Art. 74. Cancelación de sanciones.

El personal acogido al presente Convenio podrá obtener la cancelación de las sanciones impuestas por motivo de las faltas cometidas en la prestación de su trabajo, en el transcurso de 2 meses desde el momento que fue sancionado, en el caso de Faltas Graves; y de 6 meses para el caso de las Faltas Muy Graves.

Art. 75. Procedimiento sancionador.

1.  Por Faltas Leves.

La amonestación verbal, el apercibimiento escrito y la suspensión de empleo y sueldo de 1 día pueden imponerse por el/la Director/a-Gerente, a propuesta e informes previos del Jefe de Personal, debiendo ser comunicada al/la interesado/a y al Comité de Empresa.

2.  Por Faltas Graves y Muy Graves.

La imposición de sanciones por faltas graves y muy graves corresponderá a una Comisión compuesta por el/la Director/a-Gerente, el/la Instructor/a del expediente y un/a miembro del Comité de Empresa. Esta Comisión adoptará sus acuerdos por mayoría.

No obstante, la sanción de despido corresponderá al Consejo de Administración a propuesta del/de la Director/a-Gerente.

Las sanciones como consecuencia de Faltas Graves y Muy Graves se impondrán, en su caso, tras la apertura por orden de la Dirección, de un expediente contradictorio en el que se dará audiencia al/a la interesado/a para que en el plazo de 10 días proponga los medios de prueba que estime convenientes. Así mismo, y de manera necesaria, se dará traslado al Comité de Empresa,  que deberá ser oído en el expediente.

La comunicación de los cargos que se imputen por parte de la Dirección de la Empresa al/a la trabajador/a, se hará en presencia de un/a miembro del Comité de Empresa.

El Comité de Empresa contará con un plazo de 10 días a partir de dicha comunicación para emitir el informe correspondiente.

Capítulo XI. Derechos de representación colectiva y de reunión.

A) De los trabajadores/as.

Art. 76. Derechos de reunión.

La totalidad de los/as trabajadores/as de la Empresa constituyen la Asamblea.

La Empresa facilitará a todos/as los/as trabajadores/as lugar donde reunirse en Asamblea.

Las reuniones se celebrarán durante horas que no sean de trabajo, salvo que el Comité solicite la celebración de las mismas durante la jornada laboral, en cuyo caso tendrán una duración límite de 2 horas al mes, siempre que afecte a todo el personal.

La celebración de las Asambleas deberá ser solicitada por el Comité de Empresa mediante escrito dirigido a la misma con 48 horas de antelación, pudiendo establecer la Empresa los servicios mínimos necesarios, siempre que coincida con el funcionamiento de los Servicios.

Art. 77. Garantías de los/as afiliados/as a una central sindical.

Ningún/a trabajador/a afiliado/a a una central sindical podrá ser discriminado/a en su trabajo o salario por su afiliación sindical. En el supuesto de medidas disciplinarias de carácter grave y muy grave la Empresa deberá comunicarlo por escrito razonado al/a la interesado/a, a la Sección Sindical de la Empresa y al Comité de Empresa.

B) De las secciones sindicales.

Art. 78. Constitución de las secciones.

Las Centrales Sindicales podrán constituir Secciones Sindicales en la Empresa, que tendrán los siguientes derechos:

a) Nombrar Delegados/as Sindicales conforme a lo previsto en la L.O.L.S. 11/85, de 2 de Agosto.

b) Los nombramientos de los/as Delegados/as Sindicales de las Secciones, serán comunicados por escrito a la Dirección de la Empresa. Cada Delegado/a será responsable de que su Sección Sindical desarrolle su actividad de conformidad con la normativa vigente.

c) Representar y defender los intereses del Sindicato a quien representa y de los/as afiliados/as del mismo en la Empresa.

d) Los/as Delegados/as Sindicales de las secciones sindicales con representación en el Comité de Empresa, en cumplimiento de sus funciones, dispondrán del crédito horario y demás garantías y obligaciones que los miembros del Comité de Empresa les atribuye la legislación vigente. Se podrán acumular mensualmente el crédito horario entre los Delegados Sindicales y el Comité de Empresa.

e) Celebrar reuniones, previa notificación a la Empresa y fuera del horario de trabajo, recaudar cuotas y distribuir información sindical

f) La Empresa pondrá a su disposición unos tablones de anuncios que deberán situarse en los Centros de Trabajo y en lugar donde se garantice un adecuado acceso del mismo a los/as trabajadores/as.

g) Presentar sus candidatos en las elecciones a representantes de los/as trabajadores/as.

h) La Empresa para gastos de funcionamiento de las Secciones Sindicales con representación en el Comité de Empresa, establece una asignación de 187,61 euros para cada una y una asignación de 1.000,57 euros que será repartida proporcionalmente al nº de representantes de las distintas Secciones Sindicales en el Comité de Empresa. Esta asignación económica deberá dedicarse a gastos propios de la actividad y justificarse ante el Dpto. Económico de la Empresa.

i) Las Secciones Sindicales con representación en el Comité de Empresa podrán elegir un/a Delegado/a más, sin horas propias, pudiendo recibir horas del resto de miembros de su sección sindical con crédito horario. Este nombramiento no podrá recaer en más de una persona al año.

Art. 79. Cuotas sindicales.

La Empresa deducirá en los recibos de salario de los/as trabajadores/as previa autorización expresa de los mismos, el importe de la cuota sindical correspondiente que será entregada en la cuenta que señale a tal efecto el/la trabajador/a.

C) De los comités de empresa.

Art. 80. Garantías del comité de empresa.

El Comité de Empresa es el órgano de representación de los/as trabajadores/as, su composición y garantía serán las establecidas por el Estatuto de los Trabajadores.

Cada uno de los miembros dispondrá de un crédito de horas mensuales retribuidas, de acuerdo con lo establecido en el Estatuto de los Trabajadores. Las horas podrán acumularse anualmente informando de ello a la Empresa, en uno o varios de los componentes del Comité sin que, en ningún caso, se rebase el máximo total, pudiendo quedar estos relevados del trabajo, sin perjuicio de remuneración.

Quedan excluidas del conjunto de estas horas, las empleadas a requerimiento de la Empresa, así como las dedicadas a negociación del Convenio Colectivo.

Los miembros del Comité deberán notificar a la Empresa con 48 horas de antelación, salvo los casos de necesidad urgente, el día y hora que vayan a hacer uso del tiempo del que disponen para el ejercicio de su cargo, con el objeto de que la Empresa pueda realizar las sustituciones pertinentes.

El disfrute de estas horas sindicales será considerado a todos los efectos como tiempo efectivamente trabajado.

La Empresa pondrá a disposición del Comité un tablón de anuncios por cada centro de trabajo. Así mismo, el Comité de Empresa dispondrá de una asignación de 1.563,39 euros anuales.

Los gastos que se produzcan de la citada asignación serán justificados al/a la Jefe/a del Departamento Económico.

Art. 81. Comunicaciones.

Cualquier comunicación que la Empresa deba formular y que afecte a todos/as los/as trabajadores/as de la misma o de uno o varios servicios, deberá hacerla simultáneamente al Comité de Empresa a través de su Secretario/a y al Delegado/a Sindical de cada Sección Sindical.

Capítulo XII. Seguridad y salud laboral.

Art. 82. Consideraciones generales.

La normativa sobre prevención de riesgos laborales, está constituida principalmente por la Ley 31/1995, de 8 de Noviembre, de Prevención de Riesgos Laborales.

La participación de empresarios/as y trabajadores/as es un principio básico de la política de prevención de riesgos laborales.

La Seguridad y Salud Laboral de los/as trabajadores/as se centrará en promover la prevención de riesgos laborales, teniendo presentes los principios generales de prevención establecidos.

El/la Empresario/a garantizará la seguridad y salud de sus trabajadores/as en todos los aspectos relacionados con el trabajo.

Para ello, adoptará las medidas necesarias, incluyendo:

- Prevención de riesgos

- Información

- Formación

- Organización

- Participación y consulta

- Disposición de medios necesarios

Todo ello teniendo en cuenta las circunstancias y tendiendo a la mejora del nivel existente.

La Empresa adoptará las previsiones oportunas, a fin de que los/as empleados/as que por su edad, enfermedad, etc., acreditado por el servicio de prevención correspondiente, tengan disminuida su capacidad para trabajos de particular esfuerzo o penosidad, sean destinados/as a puestos propios de su grupo profesional al que pertenezcan y adecuados a su capacidad disminuida, a ser posible dentro del mismo servicio al que estén adscritos/as.

En ningún caso supondrá este cambio, detracción de las retribuciones.

Art. 83. Comité de seguridad y salud.

Es el órgano colegiado y paritario de participación. Su composición será paritaria (igual número de representantes del/la empresario/ a y de Delegados/as de Prevención).

A sus reuniones podrán asistir los/as Delegados/as Sindicales y técnicos/as de prevención, con voz pero sin voto.

Se reunirá mensualmente. El Comité adoptará sus propias normas de funcionamiento.

Los/as miembros del Comité de Seguridad y Salud tendrán los mismos derechos y garantías que los/as representantes legales de los/as trabajadores/as, excepto en el número de horas retribuidas que no estarán sujetos a ningún tope.

Art. 84. Competencias y facultades del comité de seguridad y salud.

Competencias:

- Participar en planes y programas de prevención, así como en la planificación, organización del trabajo e introducción de nuevas tecnologías.

- Promover nuevas iniciativas sobre métodos y procedimientos para la efectiva prevención de los riesgos.

- Controlar y vigilar la medicina de Empresa exigiendo reconocimientos médicos periódicos en función de los riesgos a que están expuestos los/as trabajadores/as.

- Paralizar el trabajo cuando se aprecie riesgo inminente par la salud y seguridad de los/as trabajadores/as.

- Podrán exigir el cambio de puesto de trabajo cuando se aprecie riesgo para la salud de la madre o del hijo futuro en caso de embarazo.

- En colaboración con la Dirección de la Empresa, se establecerá la evaluación de riesgos por servicios, efectuando un seguimiento directo de la misma.

- Conjuntamente con la Dirección de la Empresa, se elaborarán planes anuales de prevención de riesgos laborales.

- Será función del Comité, todas las que no hayan sido enumeradas y les vengan atribuidas por Ley.

Facultades:

- Conocer la situación respecto a prevención, realizando las visitas que estime oportunas.

- Conocer documentos e informes sobre condiciones de trabajo.

- Conocer y analizar los daños, valorar sus causas y proponer medidas.

Comité de Salud y Seguridad. Participará en la elaboración, puesta en práctica y evaluación de los planes y programas de prevención de riesgos en la Empresa. Promoverá iniciativas sobre método y procedimientos para la efectiva prevención. Conocerá cuantos documentos e informes relativos a las condiciones de trabajo, incluidos los relativos al almacenamiento y eliminación de residuos peligroso.

Conocerá y analizará los daños para la salud de los/as trabajadores/as, al objeto de analizar las causas y proponer las medidas preventivas oportunas. Podrá seguir el desarrollo de las inspecciones e investigaciones que a tales efectos lleven a cabo los órganos administrativos competentes.

Art. 85. Funcionamiento del comité de seguridad y salud.

El Comité de Seguridad y Salud se reunirá periódicamente de forma mensual así como cuantas veces sean necesarias de forma extraordinaria.

El tiempo utilizado correspondiente a las reuniones del Comité de Seguridad y Salud, será considerado como tiempo de trabajo efectivo, así como el destinado a las visitas previstas que realice el Comité.

En las reuniones ordinarias se analizarán, entre otros temas, el índice de siniestralidad por accidente de trabajo, estadísticas de absentismo laboral, cumplimiento Plan de Prevención de riesgos, etc., proponiendo a la Dirección de la Empresa las medidas de tipo corrector necesarias para una adecuada política de Seguridad y Salud Laboral.

El Comité de Seguridad y Salud tomará sus decisiones por mayoría que será vinculante para la Dirección de la Empresa.

En la Convocatoria se fijará el orden del día con los asuntos a tratar en cada reunión.

De cada reunión, el Comité extenderá el acta correspondiente remitiendo una copia de la misma al Comité de Empresa.

Disposiciones adicionales.

Primera.

Cuando en el presente Convenio se alude al cónyuge debe entenderse incluida la persona ligada al empleado/a por relación de convivencia marital, con entera independencia de su orientación sexual. Dicha convivencia se acreditará mediante Certificado del Registro de Uniones o Parejas de hecho.

Segunda.

En caso de contradicción entre el articulado del presente texto, se aplicará el artículo más beneficioso para el/la trabajador/a.

Tercera.

En caso de avería de la maquinaria en el servicio de recogida de basura, los/as trabajadores/as implicados/as serán los/as encargados/as de acabar su servicio sin perjuicio de las remuneraciones que procediesen.

Cuarta.

Los contratos celebrados para la realización de trabajos fijos discontinuos vigentes en la aplicación del R.D. 2317/93 (reforma laboral) seguirán rigiéndose con arreglo a las normas por las que se concertaron.

Quinta.

La Empresa se compromete a mantener el nivel de personal fijo a tiempo completo en Limpieza de Centros Municipales, cubriéndose las vacantes que se puedan producir en el personal fijo a tiempo completo con personal fijo discontinuo.

El orden de preferencia será por antigüedad y voluntariedad, conllevando esta aceptación la obligatoriedad de prestar servicio los domingos y festivos con carácter rotativo y con la consideración de días hábiles a todos los efectos, siendo ocho el número máximo de domingos o festivos que cada trabajador/a prestará servicio al año. Los/as trabajadores/as que por orden de preferencia por su antigüedad renuncien a pasar a tiempo completo mantendrán su opción para futuras ofertas que la Empresa pudiera realizar, pasando a ser su orden de preferencia a partir del derecho de opción del último trabajador/a que actualmente se encuentra en la Empresa como Fijo Discontinuo.

Sexta.

Con el objeto de mantener el nivel de empleo actual, cada vez que se produzca una baja definitiva en la Empresa se ocupará la vacante con un/a trabajador/a fijo/a discontinuo/a, cuya vacante, a su vez, se cubrirá con un/a trabajador/a fijo/a a media jornada; durante la vigencia del Convenio.

Séptima.

Al objeto de posibilitar que los/as trabajadores/as de los turnos de noche y tarde puedan cambiar de turno, se establece el siguiente procedimiento:

A principios de cada año, el Departamento de Recursos Humanos abrirá un plazo no inferior a un mes al objeto de que cuantos/as trabajadores/as de los turnos de noche y tarde que deseen cambiar de turno lo soliciten así, con expresión y justificación de su categoría laboral, edad, antigüedad en el turno de noche o tarde, antigüedad en el puesto de trabajo, antigüedad en la empresa y turno al que aspiran.

A la vista de los expresados datos, se establecerá una bolsa de solicitantes con orden de prioridad, siendo criterios de preferencia por este orden:

- Edad igual o superior a 55 años,

- Tiempo de permanencia en el turno de noche o tarde,

- Antigüedad en la categoría, y

- Antigüedad en la Empresa

Teniendo en cuenta que el tiempo de permanencia en la noche computará el doble que el de tarde, se establecerá el orden de preferencia entre los/as solicitantes, adjudicándose según ese orden, las vacantes que se vayan produciendo a lo largo del año.

De no cubrirse las vacantes por este procedimiento, se cubrirán utilizando los procedimientos generales establecidos en este convenio.

Octava.

Se procurará, y atendiendo a las necesidades del Servicio, realizar los cambios necesarios para proteger a los/as trabajadores/as del rigor del calor en los meses de máximas temperaturas.

Novena.

Aquellos/as trabajadores/as que se vean afectados/as por una incapacidad permanente, y sean declarados/as aptos, mediante revisión por el Tribunal competente, para el desempeño de la ocupación para la que quedaron inhabilitados, podrán reincorporarse de nuevo a la Empresa en su categoría.

Décima.

Este acuerdo tendrá vigencia desde el día de su publicación, salvo la subida salarial, el incremento de la bolsa de vacaciones y la inclusión del 10% de Complemento de Puesto de Trabajo de Limpieza Viaria y Recogida de Basura a salario base, que tendrá efectos retroactivos.

Undécima.

Los nuevos Ecoparques serán gestionados por personal de SADECO.

Duodécima.

La Comisión de Ropa determinará el número de prendas, sus características, régimen de sustitución, que será en verano y en invierno, y régimen de frecuencia de lavado de las mismas; de acuerdo con el Acta de esta Comisión del día 20/01/2011.

Decimotercera.

Aprobación de un nuevo Reglamento de bolsa de trabajo por categorías, consensuado con el Comité de Empresa, y de cara a su aprobación en el año 2011.

Anexo Nº 3

Normas de ingreso del personal al servicio de la empresa sadeco, s.a.

Artículo 1. Ámbito de aplicación.

Las presentes normas serán de aplicación a los procedimientos de ingreso del personal de SADECO, S.A.

Artículo 2. Régimen aplicable.

El ingreso en la empresa de trabajadores fijos se realizará mediante convocatoria pública y se regirá por las bases de la convocatoria respectiva, que se ajustarán en todo caso a lo dispuesto en estas Normas y en las normas específicas de aplicación a los mismos.

En todo caso, la contratación fija de personal de esta empresa estará supeditada a los principios constitucionales de publicidad, igualdad, mérito y capacidad. Se llevará a cabo la selección mediante procedimientos que garanticen los principios establecidos en el art. 55,2 del E.BE.P.

Artículo 3. Sistemas selectivos.

1. El ingreso en la empresa de trabajadores fijos se llevará a cabo a través de los sistemas de oposición, concurso-oposición o concurso libres, en los que se garanticen, en todo caso, los principios de igualdad, mérito y capacidad, así como el de publicidad.

2. La oposición consiste en la celebración de una o más pruebas para determinar la capacidad y la aptitud de los aspirantes y fijar su orden de prelación; el concurso, en la comprobación y calificación de los méritos de los aspirantes y en el establecimiento del orden de prelación de los mismos, y el concurso-oposición, en la sucesiva celebración de los dos sistemas anteriores.

Artículo 4. Características de las pruebas selectivas.

1. Los procedimientos de selección serán adecuados al conjunto de puestos de trabajo que pueden ser desempeñados en la empresa.

2. A tal efecto, los procedimientos de selección deberán consistir en pruebas de conocimientos generales o específicos. Pueden incluir la realización de test psicotécnicos, entrevistas y cualesquiera otros sistemas que aseguren la objetividad y racionalidad del proceso selectivo. Salvo excepciones debidamente justificadas, en los procedimientos de selección que consten de varios ejercicios, al menos uno deberá tener carácter práctico.

Órganos de selección.

Artículo 5. Tribunales.

Los Tribunales serán nombrados, salvo excepción justificada, en cada orden de convocatoria y con arreglo a la misma les corresponderá el desarrollo y la calificación de las pruebas selectivas.

Estarán constituidos por un número impar de miembros, que cumplan los requisitos de imparcialidad y especialización técnica.

Los Tribunales de Selección podrán disponer la incorporación a sus trabajos de asesores especialistas, para todas o algunas de las pruebas, de acuerdo con lo previsto en las correspondientes convocatorias.

Dichos asesores colaborarán con el órgano de selección exclusivamente en el ejercicio de sus especialidades técnicas.

Así mismo se pondrá contratar la colaboración de una empresa especializada para la colaboración en las distintas prueba, debiendo, en todo caso, el Tribunal supervisar todo el procedimiento.

Convocatorias y procedimiento selectivo.

Artículo 6. Convocatorias.

1. Las convocatorias se publicarán en el Boletín Oficial de la Provincia, página web de Sadeco y Ayuntamiento, y Diario de mayor difusión en la provincia.

Las bases de las convocatorias vinculan a la empresa y a los Tribunales de Selección que han de juzgar las pruebas selectivas y a quienes participen en las mismas.

Artículo 7. Contenido de las convocatorias.

Las convocatorias deberán contener, al menos, las siguientes circunstancias:

a. Número y características de las plazas convocadas.

b. Declaración expresa de que no se podrá declarar superado el proceso selectivo a un número de aspirantes superior al de plazas convocadas.

c. Órgano, centro o unidad administrativa a que deben dirigirse las solicitudes de participación.

d. Condiciones o requisitos que deben reunir o cumplir los aspirantes.

e. Sistema selectivo.

f. Pruebas selectivas que hayan de celebrarse y, en su caso, relación de méritos que han de ser tenidos en cuenta en la selección.

g. Designación del Tribunal calificador

h. Sistema de calificación.

Artículo 8. Anuncios de celebración de las pruebas.

Una vez comenzados los procesos selectivos no será obligatoria la publicación de los sucesivos anuncios de la celebración de las restantes pruebas en el Boletín Oficial. En dicho supuesto estos anuncios deberán hacerse públicos por el órgano de selección en los locales donde se haya celebrado la prueba anterior, con doce horas, al menos, de antelación al comienzo de éste, si se trata del mismo ejercicio, o de veinticuatro horas, si se trata de uno nuevo.

Artículo 9. Contratación de personal laboral no permanente.

La contratación del personal no permanente se regirá por lo dispuesto en la Bolsa de Trabajo, que a partir de la aprobación de estas Normas no podrá utilizarse para la contratación de personal fijo.

Anexo Nº 5

Plan de pensiones.

Tabla I: Aportaciones para trabajadores que al 31/12/95 tendrían derecho al premio extraordinario o de constancia.

 

2.011

 

Año de cómputo de antigüedad

Subida

1,000

 

Anual

Mensual

1971-1979

1.444,23

120,35

1980

1.348,54

112,38

1981

1.251,32

104,28

1982

1.136,72

94,73

1983

991,72

82,64

1984

875,87

72,99

1985

780,04

65,00

1986

703,13

58,59

1987

635,18

52,93

1988

578,45

48,20

 

Tabla II: Aportaciones para trabajadores que al 31/12/95 no tendrían derecho al premio extraordinario o de constancia o entraron en la empresa con posterioridad a 1.988.

 

2.011

 

Num. De años de antigüedad

Subida

1,000

 

 

Anual

Mensual

1

0,00

0,00

2

0,00

0,00

3

192,63

16,05

4

289,01

24,08

5

385,12

32,09

6 ó más

481,64

40,14

Plan de igualdad de saneamientos de córdoba s.a.

Índice

- Fundamentos del plan de igualdad

- Elaboración y aprobación del plan de igualdad

- Diagnóstico de situación: indicadores y datos analizados

Objetivos y medidas

- Protocolo de actuación ante las posibles situaciones de acoso sexual, acoso por razón de sexo y por acoso moral

* Acciones preventivas

* Principios

* Definición de conceptos

* Procedimiento de actuación

· Procedimiento informal

· Procedimiento formal

- Evaluación y seguimiento: la comisión de igualdad

Fundamentos del plan de igualdad

El Plan de Igualdad Sadeco se inscribe en el marco de su política de responsabilidad social que establece como principio estratégico de la política corporativa y de recursos humanos, la igualdad de oportunidades entre mujeres y hombres, sin discriminar directa o indirectamente por razón de sexo, así como, en el impulso y fomento de medidas para conseguir la igualdad real en cada uno de los ámbitos en que desarrolla su actividad.

Además de dar cumplimiento al compromiso social adquirido por SADECO en el Plan de Empresa 2008-2011, en el que figura el realizar un Plan de Igualdad, el mismo persigue el cumplimiento de la legalidad vigente, al situar la ley en el marco de la negociación colectiva, la promoción de medidas concretas a favor de la igualdad y en los ámbitos en los que desarrolla la actividad la empresa, desde la selección a la promoción, pasando por la política salarial, la formación, las condiciones de trabajo y empleo, la salud laboral, la ordenación del tiempo de trabajo y la conciliación, así como la protección frente a cualquier tipo de acoso; para que sean las partes negociadoras, libre y responsablemente, las que acuerden el contenido.

Para llevar a cabo este propósito se contará con la Representación Legal de los Trabajadores y Trabajadoras, no sólo en el proceso de negociación colectiva, tal y como establece la Ley Orgánica 3/2007, de 22 de marzo, para la igualdad efectiva entre mujeres y hombres, sino en todo el proceso de desarrollo y evaluación de las medidas de igualdad, arbitrándose los correspondientes sistemas de seguimiento.

Elaboración y aprobación del plan de igualdad

El Plan de Igualdad Sadeco constituye el marco de actuación en materia de igualdad para la totalidad de la plantilla de la Empresa.

De acuerdo a la Disposición Transitoria Cuarta de la Ley de Igualdad, el deber de negociar en materia de igualdad dispuesto en el artículo 85 del Estatuto de los Trabajadores, será de aplicación en la negociación subsiguiente a la primera denuncia del convenio que se produzca a partir de la entra en vigor.

Denunciado el Convenio Colectivo de la Empresa Municipal Saneamientos de Córdoba S.A., para los años 2006, 2007 y 2008, con la constitución de la comisión negociadora para el nuevo convenio, se acuerda que la misma, no sólo se limite a realizar las modificaciones necesarias para adaptar el texto del convenio a los nuevos derechos establecidos por la ley, sino a negociar un Plan de Igualdad, con la realización previa del diagnóstico de situación.

La negociación se inicia con la aportación por parte de la empresa de datos desagregados por sexos sobre el acceso a la empresa, las características de la plantilla en cuanto a edad, tipo de contrato, categoría profesional o servicio, retribución, formación, promoción, conciliación, datos ampliados con los solicitados por la Representación Legal de los Trabajadores y Trabajadoras.

Conscientes que para promover la igualdad de oportunidades en la empresa, son de suma importancia las opiniones de todas las trabajadoras y trabajadores de SADECO, se ha procedido a distribuir un cuestionario de opinión a toda la plantilla, al objeto de tener un conocimiento real de la percepción de la misma, en materia de igualdad.

El resultado del diagnostico de situación fue elaborado tras la recogida de información, análisis cuantitativo y cualitativo de los datos, debate interno en diversas reuniones, complementando con formación en perspectiva de género y finalmente la formulación de las propuestas recogida en el presente plan.

El fruto del trabajo realizado es este Plan de Igualdad Sadeco que aprobado de forma unánime el día 13 de mayo de 2009, esperamos contribuya de una forma efectiva desde su ámbito de actuación, a la consecución de la igualdad real de mujeres y hombres.

Diagnóstico de situación: indicadores y datos analizados

El Plan de Igualdad Sadeco se ha diseñado teniendo en cuanta la realidad actual de la Empresa. Por lo tanto, ha sido necesario, como fase previa, la realización de un diagnóstico para detectar y valorar en que aspectos se identificaban carencias en relación a la igualdad entre mujeres y hombres.

Para ello, la Comisión Negociadora ha contado con amplios y concretos datos de partida, desagregados por sexo, relativos a cada una de las materias que forman parte del plan de igualdad, que nos han permitido un conocimiento exhaustivo de la situación comparada de trabajadores y trabajadoras, permitiéndonos lograr más fácilmente un diagnóstico compartido y llegar a un acuerdo sobre los objetivos y medidas a desarrollar.

En concreto han sido objeto de análisis los siguientes aspectos:

Características generales de la empresa:

- (Incluyendo a la Representación Legal de los trabajadores y trabajadoras.)

Características de la plantilla:

- Datos generales.

- Movimientos de personal.

- Responsabilidades familiares.

- Promoción y formación.

Otros datos de la empresa:

- Cultura de la Empresa y Responsabilidad Social Corporativa.

- Política Retributiva.

- Ordenación del tiempo de trabajo y conciliación.

- Comunicación.

- Ayudas y bonificaciones y política social.

- Prevención del acoso sexual, por razón de sexo y moral.

- Riesgos laborales y salud laboral.

Se han tratado de analizar los datos, tanto desde un punto de vista cuantitativo como cualitativo, identificando entre otros, el grado de masculinización o feminización, la existencia de segregación horizontal o vertical, la sobre cualificación masculina o femenina, tratando de visualizar diferencias de condiciones o de situaciones de la plantilla difíciles de percibir a simple vista.

El diagnóstico resultante nos ha permitido identificar:

- La situación de mujeres y hombres en la gestión y organización interna, así como las necesidades y expectativas de la plantilla en materia de igualdad (encuestas de opinión).

- Las competencias y acciones desarrolladas, con el objetivo de detectar oportunidades para asegurar la transversalidad de la igualdad de género, así como el cumplimiento de los requisitos legales.

Los resultados obtenidos nos permiten afirmar que SADECO aplica el principio de igualdad de trato y de oportunidades establecido en la Ley Orgánica 3/2007, de 22 de marzo, para la igualdad efectiva de mujeres y hombres. No obstante, algunos de los resultados obtenidos deberían dar lugar a ciertas medidas de corrección con el fin de incrementar el aprovechamiento de las capacidades de todos los recursos humanos, especialmente de las mujeres que forman parte de su plantilla. Para alcanzar un mayor grado de igualdad de oportunidades entre hombres y mujeres como eje de acción de política de responsabilidad social corporativa de la Empresa.

Los datos más relevantes del diagnóstico previo sobre la situación de mujeres y hombres en SADECO se exponen a continuación:

En la actualidad, la composición de la plantilla fija de la empresa entre hombres y mujeres, posee el equilibrio de proporción que marcan las directrices de la Disposición Adicional Primera de la Ley Orgánica 3/2007 de 22 de marzo, con el objetivo de conseguir la igualdad efectiva de mujeres y hombres “se entenderá por composición equilibrada la presencia de mujeres y hombres de forma que, en el conjunto a que se refiera, las personas de cada sexo no superen el sesenta por ciento ni sean menos del cuarenta por ciento”.

El porcentaje de la plantilla fija de la Empresa según el sexo del 41 % de mujeres y el 59 % de hombres. La evolución de la incorporación de las mujeres a la plantilla de la empresa está aumentando, apreciándose un cambio en la representación porcentual, superando el número de mujeres a hombres en el nuevo personal contratado.

El siguiente cuadro representa el total de la plantilla fija por sexo:

 Imagen

 La distribución de la plantilla fija por niveles jerárquicos deja entrever la segregación vertical y horizontal por sexos en cada una de las categorías profesionales. La segregación horizontal hace referencia a la concentración de mujeres y hombres en determinados sectores y puestos tradicionalmente vinculados al empleo femenino o masculino. Por otro lado, la segregación vertical, muestra la proporción de la escala organizacional y niveles específicos de responsabilidad o de puestos por sexos.

Como podemos apreciar en el gráfico, existe una segregación horizontal con mayoría femenina en la clasificación profesional de personal no cualificado. Los puestos que tradicionalmente estaban vinculados al empleo femenino (limpiador/a de colegios y centros municipales) engrosan el porcentaje.

También se aprecia una segregación horizontal con mayoría masculina en mandos intermedios y personal cualificado. En esta última clasificación, se encuentran los puestos que tradicionalmente se encontraban vinculados al empleo masculino (oficial de 1ª cond., oficial de 1ª taller, peones cond.).

Existe una evolución creciente de la incorporación de la mujer a las categorías que componen mandos intermedios y personal cualificado.

La representación femenina es mayoritaria en los niveles más bajos del escalafón y se equilibra en el equipo técnico.

Por último, muestra una segregación vertical masculina en los puestos directivos y de responsabilidad empresarial, siendo la representación femenina del 17 %.

 Imagen

Otro de los puntos estudiados ha sido la representación por sexo en los diferentes servicios de la empresa.

Como se aprecia en el gráfico, la segregación horizontal a nivel general por servicios es sólo mayoritariamente femenina en limpieza de colegios y centros municipales, el resto de los servicios está representado por mayoría masculina. En el servicio de mantenimiento, sanidad y plagas y taller no existe representación femenina. La cualificación y capacitación de estos servicios ha sido tradicionalmente desarrollada por hombres. Además, en las promociones tanto internas como externas realizadas por la empresa en categorías cualificadas del servicio de taller y mantenimiento, en ninguna ocasión ha participado en las convocatorias alguna mujer.

 Imagen

 El análisis de la promoción del personal, presenta participación equilibrada tanto de hombres como de mujeres en las convocatorias internas de la empresa.

Además, la mayoría de las promociones adjudicadas a las mujeres, se desarrollan dentro de las categorías cualificadas pero de menor grado de responsabilidad, siendo los hombres, los que obtienen las plazas de categorías cualificadas o de responsabilidad.

Es importante destacar que en la mayoría de las plazas situadas en los escalafones superiores de la tabla, la solicitud por parte de las mujeres es menor.

Por último, la evolución de la adjudicación de plazas en las convocatorias realizadas en los últimos cinco años, muestra un mayor número de mujeres en las dos últimas convocatorias, principalmente en ocupaciones tradicionalmente masculinas, aunque dicha promoción no se asemeja al porcentaje total de plantilla de la empresa por sexo.

Los nombramientos provisionales en categorías superiores durante la época estival, presenta una proporción equilibrada en mandos intermedios, aunque en el resto de las categorías existe una mayoría de hombres que acceden a dichos nombramientos, siendo destacable la evolución ascendente de la presencia femenina.

El tipo de contrato en la Empresa, ha sido otro de los indicadores medidos. El contrato fijo, evoluciona de forma creciente en el colectivo femenino y el contrato eventual evidencia un aumento considerable de la incorporación de la mujer en la empresa.

El diagnóstico de situación, no muestra discriminación alguna en cuanto al área de retribuciones. Igual retribución para un mismo puesto de trabajo, con independencia de que su desempeño sea realizado por un trabajador o por una trabajadora.

No obstante, se constató, que determinados servicios o puestos prestados mayoritariamente por mujeres, tienen atribuidas una compensación salarial comparativa inferior al resto.

Por último, las mujeres tienen una mayor participación en los cursos de formación que los hombres. El 57 % de las personas asistentes son mujeres.

Objetivos y medidas acceso al empleo

Objetivo

Incorporar al enfoque de género en la política de selección de personal para garantizar la igualdad efectiva entre mujeres y hombres en el acceso al empleo, potenciando la presencia equilibrada en los grupos profesionales como en las áreas y puestos a cubrir.

Medidas

- se revisará la utilización del lenguaje en la denominación y la descripción de los puestos a cubrir, empleando términos no sexistas.

- Elaboración de un protocolo no sexista aplicable a las entrevistas a puestos de trabajo vacantes en SADECO que evite recabar datos discriminatorios e irrelevantes.

- Se revisarán las prácticas de comunicación existentes, incorporando un lenguaje neutro a los procedimientos de difusión de puestos vacantes, notas internas y externas de la empresa y cualquier comunicado a la prensa, con el establecimiento de pruebas objetivas y adecuadas a los requerimientos del puesto ofertado que contribuya a posibilitar el equilibrio entre los hombres y mujeres de SADECO.

- Potenciar la presencia equilibrada en los tribunales que resuelvan las convocatorias de acceso al empleo.

- Información específica a las mujeres de las convocatorias de puestos que tradicionalmente hayan estado ocupados por hombres.

Formación

Objetivo

Apoyar la integración de la perspectiva de género en la planificación y desarrollo de los programas de formación y en cumplimiento de principios y valores destinados a fomentar la igualdad real entre hombres y mujeres.

Medidas

- Incluir un módulo con el contenido del Plan de Igualdad, en cada una de las acciones formativas que se impartan por SADECO, a fin de potenciar la formación en igualdad de oportunidades al conjunto de su plantilla.

- Facilitar a toda la plantilla el acceso y participación en las acciones formativas en condiciones de igualdad de oportunidades de manera que potencien habilidades y competencias de hombres y mujeres por igual.

- Programar acciones formativas específicamente dirigidas a facilitar la promoción a puestos de responsabilidad o a categorías profesionales del sexo subrepresentado.

- Siempre que las características del trabajo lo permitan, aumentar el desarrollo de acciones formativas en horario laboral o con una fórmula mixta (parte en horario laboral y parte fuera del mismo) para facilitar la asistencia a personas con responsabilidades familiares.

- Formación específica en igualdad de oportunidades para mandos intermedios en cuanto a la aplicación de la legalidad vigente en materia de igualdad.

Promoción

Objetivo

Garantizar que la promoción del personal se ajuste a criterios de igualdad aplicando procedimientos de carácter objetivo basados en principios de mérito y capacidad, y de adecuación de la persona al puesto de trabajo, extendiendo estos principios a la clasificación profesional y desarrollo del personal.

Medidas

- Potenciar la participación de mujeres en los tribunales de promoción.

- Potenciar la presencia equilibrada de ambos sexos en las categorías profesionales.

- Formación específica en materia del género e igualdad de oportunidades a las personas responsables de evaluar las posibilidades de promoción, con el fin de garantizar que se realice esta labor de manera objetiva, sin estereotipos de género que pudieran condicionar las elecciones y evaluaciones de los candidatos y candidatas.

- Informar, formar y motivar a las mujeres para que participen en los procesos de promoción profesional en aquellos puestos en las que se encuentran subrepresentadas.

- Establecer medidas de acción positiva en las bases de la promoción interna, para que, a igualdad de mérito y capacidad, tengan preferencia las mujeres para el ascenso a puestos, categorías, grupos profesionales o niveles retributivos en los que están infrarepresentadas.

- Informar, formar y motivar a las mujeres para que participen en procesos de promoción profesional.

- Impulsar la promoción para que la misma no se traduzca en una mayor dificultad para la conciliación con la vida personal y familiar, desde el respeto a derechos y procedimientos establecidos en el convenio colectivo.

Política retributiva

Objetivo

Mantener un sistema retributivo equilibrado e igualitario para todo el personal. El diagnóstico de situación en materia de igualdad de oportunidades y de trato entre mujeres y hombres en SADECO, no muestra discriminación alguna en cuanto al área de retribuciones.

Igual retribución para un mismo puesto de trabajo con independencia de que su desempeño sea realizado por un trabajador o por una trabajadora.

No obstante, se constató que determinados servicios o puestos prestados mayoritariamente por mujeres tienen atribuida una compensación salarial comparativa inferior al resto.

Medidas

- Establecer como medida de acción positiva, incrementos adicionales para eliminar discriminaciones salariales, en el caso que se detecten.

- Regular una estructura retributiva clara y transparente, a fin de facilitar su control antidiscriminatorio, mediante una definición y valoración de puestos de trabajo.

Ordenación del tiempo de trabajo y conciliación

Objetivo

Sensibilizar, formar e informar a toda la plantilla, especialmente al personal masculino para que asuma el sentido de corresponsabilidad en las obligaciones familiares y reparto equilibrado de tareas como un derecho y un deber.

Medidas

- Campaña de sensibilización, información y formación dirigida a la plantilla en la que se expliquen todos los permisos relacionados con la conciliación de la Ley de Igualdad y el Convenio Colectivo visualizando la posibilidad del disfrute por ambas partes.

- Identificar las necesidades de conciliación de la plantilla para ajustar las estrategias de la Empresa a las mismas, insertando en las encuestas de clima laboral preguntas referentes a medidas de conciliación.

- Mediante entrevista personal, identificar las necesidades de conciliación de la plantilla en relación con las personas que soliciten la aplicación de alguna medida conciliadora.

- Procurar gestionar los tiempos de trabajo, siempre que las necesidades del servicio lo permitan, para que se ajusten los objetivos a las necesidades de conciliación del personal.

Comunicación

Objetivo

Promover la información como vía de sensibilización de la plantilla en igualdad de oportunidades y en determinados aspectos en los que es necesario seguir insistiendo para lograr un cambio de mentalidad al respecto.

Medidas

- Incluir en el Convenio Colectivo de la Empresa como parte de su articulado “el principio de igualdad” expresando el compromiso con la igualdad de oportunidades y de trato entre trabajadoras y trabajadores, como una de las prioridades de la Empresa.

- Difundir el Plan de Igualdad, haciendo llegar su contenido a todo el personal mediante una copia del mismo, acciones formativas e informativas.

- Evitar el uso del lenguaje sexista, tanto en la comunicación escrita como en la verbal y en la visual, revisando, corrigiendo y vigilando sistemáticamente tanto el uso interno como externo del lenguaje, integrando un lenguaje inclusivo de igualdad en la imagen corporativa y en la comunicación interna y externa de la Empresa, memorias, estadísticas, así como cualquier otra documentación institucional.

- Integrar la perspectiva de género en las herramientas informáticas de la gestión de información que permita desagregar los datos por sexos a fin de evaluar el progreso de las medidas contempladas en el Plan de Igualdad.

- Establecer canales de información permanentes que permitan difundir e integrar la igualdad de oportunidades en la Empresa. (buzón de sugerencias. Tablón de anuncios, revista, etc.)

Prevención del acoso sexual, por razón de sexo y moral

Objetivo

Promover las conductas que eviten cualquier tipo de acoso en la empresa, arbitrando procedimientos específicos para su prevención y para dar cauce a las denuncias o reclamaciones que puedan formular quienes hayan sido objeto del mismo.

Medidas

- Elaboración de una declaración de principios con el objetivo de mostrar el compromiso, conjuntamente asumido por la Dirección y Representación legal de los trabajadores y trabajadoras, para la prevención y eliminación de cualquier tipo de acoso y posterior difusión a la plantilla.

- Creación de un protocolo de actuación para la regulación del acoso, incluyendo su definición, un procedimiento de sanción, actuación y medidas sancionadoras, así como distribución de copia del mismo a todos los trabajadores y trabajadoras.

- Campaña de sensibilización de la plantilla sobre el acoso, incluyendo en los programas de formación acciones relativas a esta materia para todo el personal y especialmente a aquellas personas de la empresa de la empresa que tengan personal a su cargo, así como la distribución de material divulgativo.

- Dotar a la Comisión Paritaria del Convenio o a la Comisión de Igualdad, de competencias para velar por el cumplimiento de la normativa establecida creando la figura del Agente de Igualdad.

Ayudas, bonificaciones y política social

Objetivo

Mejorar las condiciones sociales actuales.

Medidas

- Campaña informativa sobre todas las ayudas sociales recogidas en el Convenio Colectivo, así como, estudio de la ampliación de las mismas a través de la negociación colectiva.

Riesgos laborales y salud laboral

Objetivo

Garantizar el derecho que asiste a trabajadoras y trabajadores por igual a un ambiente de trabajo libre de intimidaciones y discriminaciones y sin riesgo para su salud, especialmente las que se refieren a las necesidades específicas de la mujeres en el ámbito laboral derivadas de las situaciones de embarazo y lactancia.

Medidas

- Potenciar la salud laboral de manera global y en concreto la relacionada con la condición sexual de la mujer en periodo de gestación y lactancia.

- Informar y sensibilizar a los responsables de la necesidad de velar por la adaptación del puesto de trabajo de las mujeres en estado gestacional de conformidad con la legislación vigente.

- Elaborar y hacer pública una declaración de principios en materia de acoso moral, sexual o por razón de sexo en el ámbito laboral.

- Desarrollar y hacer público un protocolo de actuación que regule el acoso sexual, el acoso por razón de sexo y el acoso moral, incluyendo su definición, ámbito de aplicación, actuación y medidas sancionadoras.

Protocolo de actuación ante las posibles situaciones de acoso sexual, acoso por razón de sexo y por acoso moral.

Toda persona trabajadora tiene derecho a ser tratada con dignidad en un ambiente de trabajo libre de intimidaciones y discriminaciones.

El acoso laboral atenta contra la dignidad y la libertad sexual de las personas y entraña un riesgo para la integridad moral y la salud psíquica y física. Además, afecta negativamente al trabajo y favorece el absentismo laboral.

En cumplimiento del artículo 48 de la Ley de Igualdad, la Dirección de SADECO así como los Representantes de los Trabajadoras y Trabajadores, se comprometen a promover las condiciones de trabajo que eviten cualquier tipo de acoso, arbitrar procedimientos específicos para su prevención y dar cauce a las denuncias o reclamaciones, así como negociar cuantas medidas sean necesarias para prevenir tales conductas, sensibilizando a los trabajadores y trabajadoras de la Empresa, mediante campañas informativas y acciones de formación.

Para ello, la comisión negociadora ha elaborado un protocolo de actuación para reglamentar los procedimientos a seguir en los casos que se plantea acoso (sexual, por razón de sexo o moral).

Los principios en los que el protocolo se basa son la prevención, la eficacia y la efectividad de los procedimientos, así como la celeridad y confidencialidad de los trámites.

Igualmente, las partes confieren al agente de igualdad, como figura mediadora o asesor confidencial, entre otras funcione, la recepción de las denuncias sobre acoso, el asesoramiento para el seguimiento e investigación de los casos denunciados y la puesta en marcha de medidas de sensibilización y prevención de cualquier tipo de acoso.

En cualquier caso, siendo conscientes de que la existencia de un procedimiento para tratar las denuncias de acoso, debe ser un componente más, pero no el único, de la estrategia para enfrentarse al problema, el objetivo primordial que la partes firmantes se marcan es el de la prevención mediante el cambio de comportamientos y actitudes sexistas que generen un ambiente proclive a este tipo de actuaciones.

Acciones Preventivas

La Ley de Igualdad en la exposición de motivos alude a la necesidad de “una acción normativa dirigida a combatir todas las manifestaciones aún subsistentes de discriminación, directa o indirecta, por razón de sexo y a promover la igualdad real entre hombres y mujeres”, incorporando a la persecución y sanción de las infracciones por discriminación, un nuevo carácter preventivo de esas conductas discriminatorias e incluyendo entre los derechos laborales de las trabajadoras y trabajadores, la protección frente al acoso sexual y al acoso por razón de sexo.

Desde la Dirección de la Empresa y como acciones encaminadas a prevenir situaciones de acoso, se fomentarán medidas encaminadas a evitarlas, tales como:

- Creación de este protocolo de actuación para la regulación del acoso, incluyendo su definición, un procedimiento de prevención, actuación y de medidas sancionadoras.

- Comunicación a todos los trabajadores y trabajadoras de la Empresa de este Protocolo, del cual se les facilitará una copia, con el objetivo de mostrar el compromiso conjunto por la Dirección y la Representación Legal de los Trabajadores y Trabajadoras, para la prevención y eliminación de cualquier tipo de acoso.

- Comunicación efectiva de la declaración de principios a toda la plantilla, incidiendo en la responsabilidad de cada una de las partes en garantizar un entorno laboral exento de acoso, fomentando de esta manera un clima en el que este no pueda producirse.

- Poner en marcha campañas de sensibilización de la plantilla sobre el acoso sexual y el acoso por razón de sexo y moral, así como incluir esta materia en los programas de formación que deberán ser dirigidos a todo el personal y especialmente a aquellas personas de la empresa que tengan personal a su cargo; así como establecer canales de información permanentes sobre la integración de la igualdad de oportunidades en la Empresa (buzón de sugerencias, sección “igualdad de oportunidades” en revista y tablón de anuncios) asegurando el acceso a los mismos de todo el personal.

Principios

a) La Dirección de SADECO manifiesta su preocupación y compromiso en evitar y resolver los supuestos de cualquier tipo de acoso (sexual, por razón de sexo o moral), y a tales efectos, expresa su deseo de que todos los trabajadores y trabajadoras de la empresa sean tratados con dignidad, no permitiéndolos o tolerándolos.

b) Los representantes de los Trabajadores y Trabajadoras se comprometen a contribuir en la prevención de tales conductas mediante la sensibilización de la plantilla y la información a la Dirección de la Empresa de las conductas o comportamientos que tuvieran conocimiento y pudieran propiciarlo.

c) Todos los Trabajadores y trabajadoras tienen la responsabilidad de ayudar a crear un entorno laboral en el que se respete la dignidad de todos y todas. Por su parte, las personas encargadas de cada departamento o servicio, deberán garantizar que no se produzcan situaciones de acoso a los trabajadores y trabajadoras bajo su responsabilidad.

d) La identificación de las personas responsables de atender a quienes formulen una queja o una denuncia.

e) Tratamiento reservado de las denuncias de hechos que pudieran ser constitutivas de cualquier clase de acoso (sexual, por razón de sexo o moral), sin perjuicio de lo establecido en la normativa del Régimen Disciplinario.

Definición de conceptos

La normativa vigente determinará las definiciones de acoso sexual, acoso por razón de sexo y acoso moral en el momento de su aplicación.

Acoso sexual

Constituye acoso sexual en el trabajo cualquier comportamiento, verbal o físico, de naturaleza sexual que sea indeseado por parte de la persona objeto de dicho comportamiento y tenga el propósito o produzca el efecto de atentar contra la dignidad de una persona, en particular cuando se crea un entorno intimidatorio, degradante u ofensivo, mediante actitudes, manifestaciones o comentarios inapropiados.

Acoso por razón de sexo

Constituye acoso por razón de sexo, todo comportamiento realizado en función del sexo de una persona, con el propósito o el efecto de atentar contra su dignidad y crear un entorno intimidatorio, degradante u ofensivo, así como cualquier trato adverso o efecto negativo que se produzca en una persona como consecuencia de la presentación por su parte de una queja, reclamación, denuncia, demanda o recurso, destinados a impedir y a exigir el cumplimiento efectivo del principio de igualdad entre hombres y mujeres.

El condicionamiento de un derecho o de una expectativa de derecho, a la aceptación de una situación constitutiva de acoso sexual o por razón de sexo, se considera también como acto discriminatorio por razón de sexo.

Acoso moral o mobbing

Se entiende por acoso moral, la agresión repetida o persistente por una o más personas durante un tiempo prolongado, ya sea verbal, psicológica, o física, en el lugar de trabajo o en conexión con el trabajo, que tiene como finalidad la humillación, el menosprecio, el insulto, la coacción o la discriminación de la víctima (aislamiento, rechazo o prohibición de comunicación, la degradación intencionada en las condiciones del puesto de trabajo, la violencia verbal).

Procedimiento de actuación

El objeto de este protocolo es establecer un procedimiento de actuación a seguir cuando se den conductas que puedan suponer acoso sexual, acoso por razón de sexo y acoso moral en el ámbito de la organización y dirección de la Empresa.

El procedimiento deberá procurar la protección suficiente de la víctima en cuanto a su seguridad y salud, teniendo en cuenta las posibles consecuencias tanto físicas como psicológicas y prestando especial atención a las circunstancias laborales que rodeen al presunto/a agredido/a.

Se establecen, por tanto, dos cauces que podrán seguir el trabajador o trabajadora que considere que ha sido objeto de acoso para presentar su denuncia, siempre en un entorno confidencial y urgente. La persona supuestamente agredida deberá ponerlo en conocimiento de la instancia correspondiente, por cualquiera de los dos procedimientos que se indican a continuación, sin perjuicio de la utilización paralela por parte de la victima de las vías administrativas o judiciales.

Procedimiento Informal

El objetivo del procedimiento informal será el resolver el problema extraoficialmente, en atención a que en la mayoría de los casos lo que se pretende es que la conducta indeseada cese. En primer lugar y como trámite extraoficial, se valorará la posibilidad de seguir un procedimiento informal, en virtud del cual el propio afectado/a explique claramente a la persona que muestra el comportamiento indeseado que dicha conducta no es bien recibida, que es ofensiva e incómoda y que interfiere en su trabajo, a fin de que cese de la misma.

Dicho trámite extraoficial podrá ser llevado a cabo, si el trabajador o trabajadora así los decide, por el Agente de Igualdad, como asesor mediador de dicho expediente y en todo caso previa presentación de denuncia a la Dirección de la Empresa.

Procedimiento Formal

El procedimiento formal se iniciará con la presentación de una denuncia en la que figurará un listado de incidentes, lo más detallado posible, por el trabajador o trabajadora que sea objeto de acoso.

La persona a la que irá dirigida la denuncia será, a elección del trabajador o trabajadora, el/la Director/a de Recursos Humanos o al/a la Director/a Gerente de la Empresa.

La denuncia dará lugar a la apertura de un expediente contradictorio y nombramiento de Instructor/a por la Dirección, para que de conformidad con el régimen disciplinario regulado en el Convenio Colectivo de la Empresa, se practique cuantas diligencias se estimen necesarias a fin de dilucidar la veracidad de los hechos acaecidos.

En cualquier caso, los/as responsables de la tramitación adoptarán las medidas oportunas para lograr el pleno respeto a los principios de contradicción, igualdad y defensa de los/as implicados/as en la denuncia.

Hasta que el asunto quede resuelto y siempre que haya indicios suficientes de la existencia de acoso, la Empresa podrá establecerse cautelarmente, la separación de la víctima y su presunta persona acosadora.

La constatación de la existencia de acoso, dará lugar a la imposición de las sanciones prevista en el Convenio Colectivo.

Evaluación y seguimiento del plan: la comisión de igualdad

Las partes firmantes del Plan de Igualdad acuerdan la constitución de la Comisión de Igualdad, como órgano paritario, para interpretar el contenido del Plan y evaluar el grado de cumplimiento del mismo, de los objetivos marcados y de las acciones programadas, a fin de promover la igualdad de oportunidades y de trato entre mujeres y hombres en la organización, conforme a la legislación vigente y con el compromiso de la responsabilidad social corporativa de la Empresa.

Dicha Comisión estará formada por un total de ocho miembros, designados/as cuatro por la Empresa y otros/as cuatro por el Comité de Empresa. Podrá participar un asesor/a por cada parte, los/as cuales tendrán voz pero no voto.

Esta Comisión se reunirá con carácter ordinario una vez al año al objeto de planificar y programar las acciones a desarrollar, realizar su seguimiento y evaluar su impacto, y con carácter extraordinario cuando sea necesario a instancias de cualquiera de las partes.

Funciones de la Comisión de Igualdad

a) Interpretar el Plan de Igualdad.

b) Seguimiento y evaluación de las diferentes medidas programadas.

c) Elaborar propuestas para la confección integral del Plan de Igualdad.

d) Promover dispositivos que faciliten la igualdad de mujeres y hombres en la organización.

e) Asesorar en materia de igualdad en el ámbito de la Empresa.

f) Promover las conductas que eviten cualquier tipo de acoso en la Empresa, arbitrando procedimientos específicos para su prevención.

El artículo 46 de la Ley Orgánica para la igualdad efectiva de mujeres y hombres, establece que los planes de igualdad fijaran los concretos objetivos de igualdad a alcanzar, las estrategias y prácticas a adoptar para su consecución, así como, el establecimiento de sistemas eficaces de seguimiento y evaluación de los objetivos fijados.

El seguimiento del Plan nos permitirá comprobar la consecución de los objetivos propuestos para cada acción y conocer el proceso de desarrollo, con el objetivo de introducir otras medidas si fueran necesarias o corregir posibles desviaciones.

La evaluación con el objeto de conocer el grado de cumplimiento de los objetivos del plan, a efecto de analizar su desarrollo en relación a la necesidad de continuidad de las acciones planteadas, identificando las nuevas necesidades que requieran acciones, para fomentar y garantizar la igualdad de oportunidades en la empresa de acuerdo con el compromiso adquirido.

D. Ignacio Ruiz Soldado, Director-Gerente. D. Antonio Delgado Eslava, Director Dpto. Económico. Dª Ana Herrador Martínez, Directora Dpto. RR.HH. D. Francisco Cabrera García, Director Dpto. Servicios Técnicos. D. Jesús Diz Pérez, Director Dpto. Servicios Operativos. D. Enrique Flores Ruiz, Director Dpto. Sanidad y Plagas. D. Juan Revilla Álvarez, Director del CMC. D. Juan A. Grande Alanzabe, Presidente Comité de Empresa. Dª Mª Carmen Fernández Jiménez, CC.OO. Dª Juana Murillo Serrano, CC.OO. Dª Purificación Cañero Mejías, CC.OO. D. Antonio Rodríguez Barranco, CC.OO. D. Francisco Fernández Gómez, C.G.T. D. Antonio Porcel López, C.T.A. D. Antonio Expósito Cendan, C.T.A. Dª Sonia Muñoz Ruiz, U.G.T. Dª Mª Teresa Pérez Lidón, Secretaria.

 Imagen

Imagen

Imagen

Imagen

Imagen