17363  documentos en la base de datos
Convenios por Federación
♦ FICA
♦ FeSMC
♦ FeSP
 

FUNDACIÓN ANDALUZA FONDO DE FORMACIÓN Y EMPLEO CONVENIO COLECTIVO PARA LOS AÑOS 2007-2009

 

Capítulo I. Disposiciones Generales

Artículo 1. Ámbito Personal y Funcional.

1. El presente Convenio establece y regula las relaciones laborales, condiciones de trabajo y normas sociales de aquellas personas que, por cuenta de la Fundación Andaluza Fondo de Formación y Empleo (en adelante la Fundación), presten sus servicios en régimen laboral dentro del ámbito de organización y dirección de dicha empresa, bajo cualquiera de las modalidades contractuales previstas en la legislación laboral vigente.

2. El personal laboral dependiente de una consignación presupuestaria para el desarrollo de un convenio, acuerdo o programa de carácter extraordinario dentro de la actividad normal y permanente de la Fundación, al igual que el personal docente o profesorado, estarán sujetos a este Convenio Colectivo, excepto a los capítulos IV: Clasificación Profesional y V: Retribuciones, los cuales serán regulados en la Disposición Adicional I del presente Convenio. Dicho carácter extraordinario será previamente informado al Comité Intercentros. En aquellos casos en que estos convenios, acuerdos o programas tengan una reiteración de dos o más temporadas correlativas, se estudiará con dicho Comité, el carácter extraordinario o no de los mismos.

Para establecer la categoría profesional y las retribuciones del personal laboral sujeto a una consignación presupuestaria para el desarrollo de un convenio, acuerdo o programa de carácter extraordinario, la Fundación siempre respetará el principio de igualdad y no discriminación, y serán las siguientes:

i. La categoría profesional de este personal, será determinada en función de las condiciones laborales y objeto del contrato establecidos en convenio, acuerdo o programa de carácter extraordinario y dentro del ámbito de organización de trabajo establecido en el art. 8 del presente Convenio.

ii. Las retribuciones salariales así como los gastos de seguros sociales y retenciones de IRPF deberán ajustarse a la consignación presupuestaria del convenio, acuerdo o programa.

3. Quedan excluidos de este convenio:

a) El personal con contrato de alta dirección.

b) Los y las profesionales cuya relación con la Fundación esté sujeta a contratos regulados por el Derecho Civil o Mercantil.

Artículo 2. Vigencia.

La vigencia del presente convenio será de tres años naturales desde el 1 de enero de 2007 hasta el 31 de diciembre de 2009.

Artículo 3. Ámbito territorial.

El presente convenio se aplicará en todos los centros de trabajo y lugares de trabajo designados por la Fundación.

Artículo 4. Denuncia y prórroga.

1. Cualquiera de las partes firmantes podrá pedir, mediante denuncia notificada por escrito a la otra, la revisión del mismo, con una antelación de dos meses al vencimiento del plazo de vigencia.

Una vez denunciado el convenio, éste se mantendrá en vigor en su totalidad hasta la firma de otro que lo sustituya.

2. De no producirse la denuncia, según lo establecido en el párrafo anterior, este convenio se considerará prorrogado en su totalidad por períodos anuales completos.

Artículo 5. Compensación y absorción.

Las condiciones establecidas en el vigente convenio sustituyen, compensan y absorben las existentes con anterioridad, cualquiera que fuese su naturaleza, origen y denominación.

Éste operará de forma global y en cómputo anual.

Artículo 6. Validez.

Las condiciones establecidas en el presente convenio tienen vigencia individualmente. En el supuesto de que la autoridad judicial anulase algunas de sus cláusulas, ésta tendrá que ser renegociada de nuevo, no afectando a la vigencia el resto de condiciones.

Artículo 7. Comisión Paritaria del Convenio.

1. En el plazo de treinta días a contar desde la firma del presente convenio se constituirá, en el domicilio fiscal de la Fundación, la Comisión Paritaria de interpretación, aplicación y seguimiento para cuantas cuestiones se deriven de lo pactado en este Convenio así como de la legislación vigente que pueda afectar al mismo.

2. La Comisión estará integrada por cuatro vocales, dos en representación de la Fundación y dos en representación de las trabajadoras y trabajadores, que serán las personas que ostenten la presidencia y la secretaría del Comité Intercentros.

La Comisión estará presidida por la persona que represente a la Fundación, que asimismo proporcionará los medios materiales necesarios para la correcta gestión de sus funciones y competencias.

La Comisión podrá designar a una persona que asuma la secretaría, sin voz ni voto, encargada de la gestión administrativa de la misma, que procederá, además, a la redacción del acta de las reuniones que, en su caso, deberán ser firmadas por todas y cada una de las personas componentes.

Cada una de las partes podrá ser asistida por una asesoría, compuesta por dos personas, que tendrán voz, pero no voto.

La Comisión podrá funcionar tanto en pleno como en comisiones, siendo éstas en todo caso de carácter paritario y representativas de las principales organizaciones sindicales con implantación en la Fundación.

3. La Comisión se dotará de un reglamento de funcionamiento que deberá ser aprobado por unanimidad. En él se regulará, al menos, el procedimiento de funcionamiento y las reglas de convocatoria, así como las posibles comisiones específicas que se deseen crear.

Las reuniones de carácter ordinario tendrán lugar una vez cada trimestre, siendo obligatoria la asistencia de las partes a la misma.

La Comisión Paritaria se reunirá con carácter extraordinario, a solicitud de cualquiera de las partes, en el plazo de cuatro días hábiles a contar desde la fecha de la recepción de la solicitud.

Las decisiones de la Comisión Paritaria deberán ser aprobadas por unanimidad, salvo que otra cosa se disponga en el propio reglamento interno.

En caso de discrepancia, ambas partes se obligan a someter las mismas a los procedimientos establecidos en el SERCLA.

4. Las partes firmantes delegan en la Comisión Paritaria para que proceda durante la vigencia del Convenio a su revisión, adaptación, corrección, aclaración o integración de los acuerdos adoptados en el seno de esta Comisión y que supongan mejoras y beneficios para el conjunto de la Fundación. Estos acuerdos serán vinculantes para ambas partes y tendrán la eficacia del Convenio Colectivo. Por la representación legal de las trabajadoras y trabajadores será el Comité Intercentros el que eleve las propuestas a la Comisión Paritaria.

5. La Comisión Paritaria tendrá, al menos, las siguientes competencias:

a) Vigilar la correcta aplicación del articulado del Convenio.

b) Conocer de cuantos conflictos se susciten en la interpretación o aplicación de este convenio. Ambas partes se comprometen a someter este tipo de conflictos colectivos o cuantos otros de este mismo carácter, tanto reglados como no reglados, a la Comisión Paritaria como trámite previo al acceso a la jurisdicción. En su caso, ambas partes se comprometen a utilizar los procedimientos articulados en el SERCLA.

c) Dar conocimiento de los acuerdos adoptados a las partes afectadas.

d) Cuantas otras se le encomienden a lo largo del presente convenio o las partes, en ejercicio de su autonomía colectiva, procediesen a otorgarle.

6. Las funciones y actividades de la Comisión Paritaria no serán obstáculo para que el personal, en el libre ejercicio de sus derechos, puedan acudir en defensa de sus intereses ante las autoridades laborales, administrativas o jurisdiccionales competentes.

No obstante, ambas partes acuerdan que todo el personal podrá someter a la Comisión Paritaria o a la comisión creada en ella a tal efecto cuantas reclamaciones o quejas estimen pertinentes, estando obligada la Fundación, en su caso, a contestarla razonadamente en el plazo de veinte días, salvo supuestos de fuerza mayor.

Capítulo II. Organización Del Trabajo

Artículo 8. Organización del trabajo.

1. La organización del trabajo es facultad y responsabilidad de la Dirección de la Fundación, ajustándose en su ejercicio a lo establecido en la legislación vigente en cada momento y en las disposiciones de carácter interno con que se doten, así como a los cauces de participación establecidos para la representación legal de las trabajadoras y trabajadores.

2. Serán criterios inspiradores de la organización del trabajo:

- La mejora del rendimiento de los servicios.

- La mejora de la calidad del empleo, buscando la profesionalización, la promoción y la formación del personal.

- La valoración de los puestos de trabajo.

- Establecimiento de las medidas necesarias, que permitan realizar el trabajo con las debidas garantías de salud y seguridad laboral.

- La racionalización y mejora de los proceso operativos.

3. Las organizaciones sindicales con implantación en la Fundación participarán con carácter previo en todas aquellas instancias en las que se establezcan o modifiquen condiciones de trabajo.

Artículo 9. No discriminación y respeto a la privacidad del personal.

1. La Fundación se compromete a evitar cualquier discriminación por razón de género, raza, religión, creencias políticas o sindicales, orientación sexual o edad.

2. En la medida de lo posible la Fundación se compromete a fomentar la contratación de colectivos desfavorecidos, según establece la legislación vigente.

3. La Fundación se compromete a posibilitar la conciliación de la vida personal, laboral y familiar de su personal.

4. La Comisión Paritaria podrá conocer de cuantas reclamaciones se presenten relacionadas con cualquier tipo de acoso moral o sexual en el trabajo y, de común acuerdo, adoptar normas básicas de actuación, así como códigos de conducta en esta materia.

Capítulo III. Selección Del Personal, Contratación Y Fomento De Empleo

Artículo 10. Selección e Ingresos de Personal.

1. Dada la naturaleza pública de la Fundación, la selección de personal se realizará bajo los principios generales de publicidad, objetividad, imparcialidad e igualdad de oportunidades, mediante procesos que garanticen una selección basada en el mérito y la capacidad de las personas candidatas.

2. Los pasos que contempla el proceso de selección, de forma sintética, son los siguientes:

0.

Definición del proyecto/necesidad de RRHH/Objetivos, etc.

1.

Diseño y definición del perfil de exigencias (profesiograma)

2.

Reclutamiento

3.

Base de datos

4.

Preselección (C. Vitae…)

5.

Pruebas de selección

6.

Análisis de decisión

7.

Selección de candidaturas

8.

Referencias

9.

Informes

10.

Presentación de candidaturas

11.

Admisión

12.

Comunicación de exclusión

13.

Seguimiento

 3. Cobertura de vacantes de puestos definidos en el organigrama de la Fundación:

a) La vacante se comunicará al Comité de Empresa de la Provincia con 15 días hábiles de antelación y la Fundación estará obligada a publicar en el mismo plazo en el sitio web de la Fundación y en todas la Gerencias Provinciales y Direcciones dicha vacante, de forma que todo el personal quede informado.

La cobertura de dichos puestos de trabajo se llevará a cabo conforme al siguiente orden de prelación:

1. Promoción interna:

2. Oferta genérica al SAE y/o se pondrán anuncios en periódicos.

3. Personas candidatas inscritas en la base de datos de la Fundación, una vez publicitada dicha vacante.

Las personas interesadas en aspirar a la vacante lo solicitarán por escrito a la Dirección de Recursos Humanos en el plazo estipulado en la publicación de la vacante.

La Fundación estará obligada a incluir en el proceso de selección las solicitudes recibidas por parte del personal interno.

Del resultado del proceso será informada la Representación Unitaria.

4. Cobertura de otros puestos.

La Fundación comunicará a la representación legal de los trabajadores y trabajadoras el puesto o plaza a cubrir, las condiciones que deben reunir las personas aspirantes y las características de las pruebas de selección, salvo que la inmediatez de la contratación impida la comunicación, en cuyo caso se efectuará posteriormente en el plazo máximo de 2 días hábiles.

Del resultado del proceso será informada la Representación Unitaria.

5. Para salvaguardar el principio de publicidad, se harán ofertas genéricas al SAE y/o se pondrán anuncios en periódicos para cubrir los puestos de trabajo vacantes en la Fundación.

Artículo 11. Forma de los contratos.

1. Los contratos de trabajo se celebrarán por escrito cuando así se disponga por norma legal o reglamentaria.

2. De conformidad con la legislación laboral vigente, deberá de entregarse una copia básica a la representación unitaria.

3. La representación legal de las trabajadoras y trabajadores deberá conocer por anticipado los diversos modelos de contratos.

Artículo 12. Contrato de obra o servicio determinado.

1. A efectos de este convenio se acuerda considerar como obra o servicio determinado con autonomía y sustantividad propia la realización de actividades ligadas a partidas presupuestarias anuales e inestables de carácter finalista.

2. La Fundación, asumiendo el compromiso de mejora social y laboral intentará, cada vez que sea posible, fomentar la contratación indefinida.

Artículo 13. Contratos eventuales y de interinidad.

Ambas modalidades se regirán por su normativa legal y reglamentaria específica.

Artículo 14. Contrato indefinido para la realización de trabajos fijos discontinuos.

1. Teniendo en cuenta el carácter de indefinido de esta modalidad contractual, estará sujeta a la estabilidad presupuestaria del programa o actividad a desarrollar por el personal, que será la normal actividad de la Fundación, no reuniendo las notas propias de una actividad eventual o con autonomía o sustantividad respecto de la actividad normal de la Fundación.

2. Partiendo de lo referido en el primero de los puntos de este artículo, se podrá utilizar este tipo de contrato para aquellas personas que hayan venido siendo contratadas en intervalos temporales separados, pero reiterados en el tiempo y dotados de cierta homogeneidad.

3. La forma y orden de llamamiento de las personas con esta modalidad de contrato, será la siguiente:

a) La forma del llamamiento será por carta certificada, comunicando el trabajador o trabajadora en el contrato un domicilio de notificaciones y tendrá la obligación de comunicar el cambio de domicilio para poder realizarle los llamamientos.

b) El orden de llamamiento se determinará en base a dos criterios:

Evaluación del desempeño en el puesto (70%).

Antigüedad en el puesto (30%).

4. Se establecerá en el contrato la jornada laboral estimada y su distribución horaria, con una fecha de finalización prevista, según las necesidades de la actividad o programa desarrollado.

5. La Comisión paritaria de Convenio será el órgano encargado de estudiar, definir y proponer a la Dirección General Técnica los escalafones y especialidades del personal fijo discontinuo.

a) Concepto de Escalafón.

Se entiende por Escalafón la agrupación ordenada de personas contratadas fijas discontinuas con arreglo a criterios tales como los puestos a cubrir, las aptitudes profesionales, titulaciones académicas o profesionales, y el contenido principal de la prestación a desarrollar, entre otros.

La definición y configuración de cada uno de los escalafones y de las distintas especialidades profesionales que se reconocerán dentro de cada uno de ellos, será determinada, durante la vigencia del presente convenio, por Acuerdo de la

Comisión Paritaria en atención a los siguientes criterios y necesidades:

1. Objetivos y medios humanos implicados en la ejecución de cada Programa que desarrolle la Fundación.

2. Especialidad profesional de cada persona que pueda ser encuadrado en cada uno de los escalafones y especialidades.

3. Política de la Fundación en materia de conversión de contratos temporales en contratos de trabajo fijo-discontinuo.

El encuadramiento y adscripción a cada escalafón, y en su caso especialidad, será determinada por la Dirección de Recursos Humanos en atención a los criterios regulados en este convenio, la clasificación profesional de cada persona y la acreditación de su especialidad profesional.

A estos efectos, los acuerdos de la Comisión Paritaria en virtud de lo previsto en este artículo, tendrán el mismo valor y eficacia que el presente convenio colectivo.

Artículo 15. Contrato a tiempo parcial con Contrato de Relevo.

Las personas trabajadoras de edades comprendidas entre 60 y 63 años que deseen acogerse voluntariamente a un Contrato de Trabajo a tiempo parcial, con una reducción de jornada del 85%, que les permita acceder a la jubilación parcial, deberán comunicarlo a la Fundación para que ésta inicie los trámites correspondientes ante la Administración de la Seguridad Social. Una vez concedida la autorización correspondiente, se procederá a formalizar el Contrato a tiempo parcial.

La realización de las horas anuales reducidas se prestarán en jornadas completas y como máximo en tres períodos determinados del año, que no podrán coincidir en la primera quincena de enero, mes de agosto, y en la segunda quincena de diciembre. Los períodos de trabajo se fijarán a requerimiento de la Fundación y con comunicación a la persona afectada con al menos un mes de antelación a la fecha de incorporación.

Quien se acoja a este Contrato recibirá como remuneración el 15% de todos los conceptos salariales en cómputo anual, la totalidad de la Ayuda Escolar y la parte proporcional del Complemento de Productividad en función del trabajo efectivo, manteniéndose los beneficios sociales y el alta en el Seguro de Vida hasta la fecha de jubilación total.

La Fundación cubrirá esta jubilación parcial con un Contrato Temporal de relevista a tiempo completo, basándose en los criterios de orden acordados para el personal eventual, siendo su salario el establecido para su categoría en el presente Convenio.

Artículo 16. Período de Prueba.

1. El período de prueba se formalizará por escrito en todos los contratos de trabajo.

2. Su duración será variable según los puestos de trabajo a cubrir y, en ningún caso, podrán exceder del tiempo fijado en la siguiente escala:

Categoría Profesional: Dirección, Mandos y Mandos intermedios: 3 meses

Categoría Profesional: Personal Técnico: 1 mes.

Categoría Profesional: Personal Administrativo: 15 días.

Categoría Profesional: Personal de Apoyo: 15 días.

Artículo 17. Ceses voluntarios.

1. Los trabajadores y trabajadoras que deseen cesar voluntariamente en el servicio de la Fundación vendrán obligados a ponerlo en conocimiento de la misma, cumpliendo los siguientes plazos de preaviso:

Categoría Profesional: Dirección, Mandos y Mandos Intermedios: 2 meses.

Categoría Profesional: Personal Técnico: 30 días.

Categoría Profesional: Personal Administrativo: 15 días.

Categoría Profesional: Personal de Apoyo: 15 días.

2. El incumplimiento de la obligación de preavisar con la referida antelación, dará derecho a la Fundación a descontar de la liquidación la persona trabajadora una cuantía equivalente al importe del salario diario por cada día de retraso en el aviso.

3. Habiendo avisado con la referida antelación, la Fundación estará obligada a liquidar al finalizar dicho plazo, los conceptos fijos que puedan ser calculados al momento habitual de pago.

Capítulo IV. Clasificación Profesional

Artículo 18. Definición de Grupos y Escalas de Nivel.

1. Las categorías profesionales, niveles y retribuciones correspondientes para todo el personal son las aprobadas por la Presidencia del Patronato de la Fundación Andaluza Fondo de Formación y Empleo.

2. La Dirección de Recursos Humanos continúa trabajando en el diseño y desarrollo del Plan de Recursos Humanos, cuyo objetivo final es la implantación de un Modelo de Gestión por Competencias para la Fundación. Se encuentran definidos los puestos de trabajo de las Gerencias Provinciales, dando como resultado el catálogo de los perfiles de puestos de las mismas. Igualmente, se está finalizando el análisis de los puestos de la Dirección General Técnica, que concluirá con la definición de los puestos de trabajo de toda la organización.

Actualmente se está llevando a cabo el diseño de un Sistema de Evaluación del Desempeño de las Unidades Organizativas que permitirá completar el despliegue del modelo y equilibrar las necesidades de la organización con los deseos, expectativas y el potencial de sus personas trabajadoras.

Previo a la implantación del Modelo de Gestión por Competencias, se hace un Plan de Comunicación y de Formación para el conjunto del personal de la Fundación con el objetivo de explicar, sensibilizar y conseguir la participación activa de todo el personal en la implantación y éxito del Modelo.

El Comité Intercentros recibirá información periódica sobre el diseño y desarrollo del Modelo de Gestión por Competencias.

Capítulo V. Retribuciones

Artículo 19. Estructura salarial.

1. El salario del personal acogido al presente Convenio estará formado por los siguientes conceptos:

- Salario Base.

- Antigüedad.

- Complemento de productividad.

- Pagas Extraordinarias.

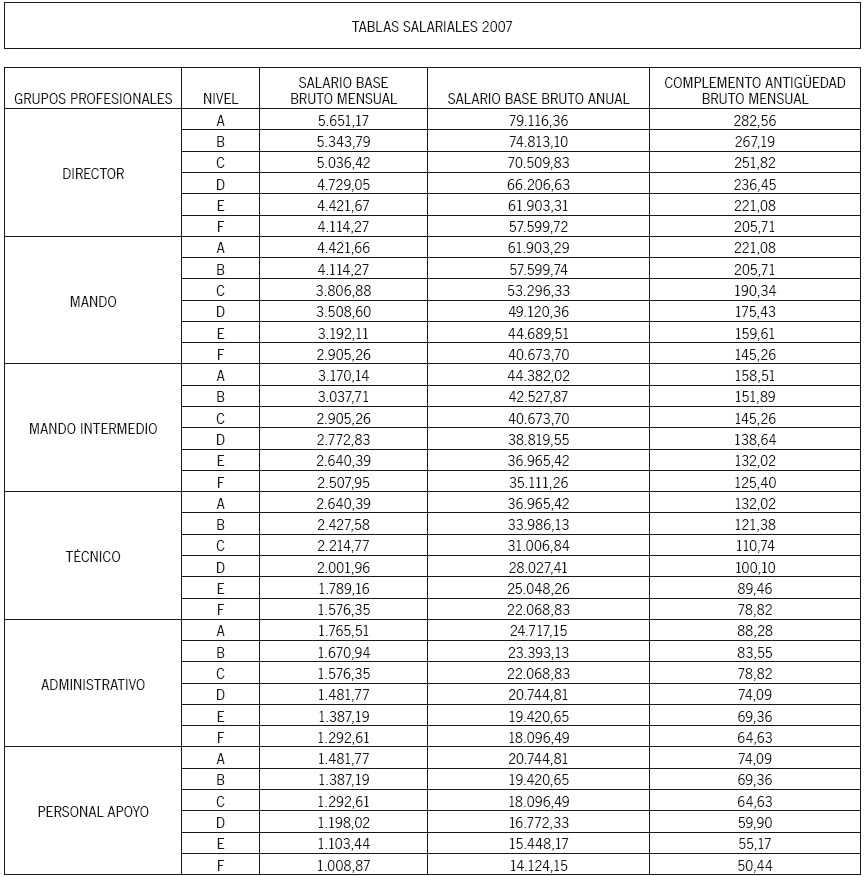
2. Salario base: será el que se especifica con carácter mensual, para cada grupo en las tablas salariales, que figuran en el anexo I del presente Convenio.

3. Antigüedad: se abonará para todas las Escalas de Nivel de las diferentes Categorías profesionales la cantidad que resulte de aumentar el 5% al Salario Base de dichas escalas por cada 3 años de trabajo efectivo en la empresa.

4. Complemento de productividad: Para la vigencia del presente Convenio se establece para cada persona con más de 1 año de antigüedad un complemento de productividad no consolidable en las tablas salariales, en función del resultado alcanzado por la Fundación, atendiendo al siguiente desglose:

- Hasta 400.000 euros: 150 € brutos.

- A partir de 400.001 euros: 1% del salario bruto anual de cada trabajador y trabajadora, sin que el resultado de la aplicación de este porcentaje pueda ser inferior a 160 € brutos.

Este complemento se abonará en el primer trimestre del año.

En el período de vigencia del presente convenio, el complemento de productividad será sustituido progresivamente en función de la implantación del sistema de incentivos, según la evaluación del desempeño del personal, bajo el modelo de Gestión por Competencias de la Fundación.

5. Pagas extraordinarias: Se establecen 2 gratificaciones extraordinarias consistentes en 30 días de su salario base, antigüedad y complementos salariales pagaderos en los meses de junio y noviembre.

Aquellas personas que tengan un contrato parcial percibirán sus retribuciones anuales brutas en proporción al tiempo de trabajo de cada uno de ellas.

Tendrán derecho a la parte proporcional de las retribuciones, en relación al tiempo realmente trabajado, el personal que durante la vigencia del presente Convenio ingrese o cese en la empresa.

Artículo 20. Forma de pago.

El abono de las retribuciones salariales se hará mediante transferencia bancaria a la cuenta que cada persona trabajadora determine, por meses vencidos, y dentro de los cinco primeros días de cada mes.

Artículo 21. Incremento Salarial y Revisión Salarial.

1. Incremento Salarial: el incremento salarial anual durante el período de vigencia del presente Convenio Colectivo, será el resultante de aplicar a las tablas salariales vigentes en la Fundación, los siguientes porcentajes:

Para el año 2007:

0,3%.

Para el año 2008:

3,4%.

Para el año 2009:

3,4%.

 

Las cuantías resultantes serán consolidables en las tablas.

Además, dicho porcentaje será de aplicación a los conceptos económicos de carácter social recogidos en el presente Convenio, en orden a la actualización de las cuantías referidas.

2. Revisión Salarial: durante la vigencia del presente Convenio, las retribuciones se incrementarán anualmente según las previsiones contenidas en la Ley de Presupuestos Generales de la Junta de Andalucía. En caso de que el Índice de Precios al Consumo (IPC), registrara a 31 de diciembre del año de referencia, un incremento superior al de las previsiones, se revisarán las retribuciones incrementándolas en dicha diferencia porcentual. En este caso, la revisión salarial tendrá carácter retroactivo a 1 de enero de ese año, abonándose dicha diferencia retributiva durante el primer trimestre del año siguiente.

Artículo 22. Salidas, viajes y dietas.

1. Las trabajadoras y trabajadores que por motivos de necesidad y orden de la Fundación, tengan que efectuar viajes o desplazamientos por motivos de una actividad laboral específica, devengarán una dieta mínima de acuerdo con las normas internas de:

- Dieta completa: 50 €.

Siendo la distribución como sigue:

- Comida: 22,40 €.

- Cena: 19,09 €.

- Otros: 8,51 €.

Comida: Se abonará cuando la salida sea por la mañana y el regreso sea posterior a las 15,00 horas.

Cena: Se abonará cuando saliendo de viaje a cualquier hora se regrese después de las 21,30 horas.

Otros: se abonará como gasto en los casos en los que sea necesario un desplazamiento en un radio igual o superior a 40 kilómetros.

2. En el caso de superar la cantidad diaria de 50 € habrá que justificar el gasto con las facturas correspondientes, que nunca podrán superar la cantidad de 90 €.

3. Para el grupo profesional de Mandos, la cantidad máxima a justificar será de 120 €.

4. Los desplazamientos se realizarán en transporte ajeno (autobús, tren, etc.) presentando el justificante de pago: ticket, factura, etc. o en transporte propio. Asimismo se abonarán los billetes de peaje y aparcamiento en aquellos casos que proceda.

Transporte ajeno:

- Coche de alquiler tarifa B.

- Avión clase turista.

- Tren clase turista.

Transporte propio: 0,24 por kilómetro recorrido.

Alojamiento: cuando por motivos de trabajo sea necesario alojarse fuera de la población habitual se hará en hoteles de 3 estrellas. En caso de imposibilidad, se ampliará la categoría del alojamiento a 4 estrellas.

5. Las dietas de los desplazamientos al extranjero se incrementarán un 20% respecto a todos los conceptos expuestos en los párrafos anteriores.

Artículo 23. Anticipos.

Todo el personal que lo solicite, y siempre que la tesorería lo permita, tendrá derecho a solicitar un anticipo sobre sus retribuciones del mes en curso, que será detraído en la nómina o las nóminas siguientes al de su concesión, o mediante retención del total de la cuantía solicitada en la siguiente paga extraordinaria que le corresponda.

Capítulo VI. Tiempo De Trabajo

Artículo 24. Jornada Laboral

Todas el personal afectado por el presente Convenio tendrán una jornada laboral de 1.610 horas anuales para el año 2007.Del mismo modo ambas partes acuerdan que a partir del 1 de enero de 2008 el personal afectado por el presente Convenio tendrá una jornada laboral máxima de 1.595 horas anuales, y a partir del 1 de enero de 2009 tendrán una jornada laboral máxima de 1.580 horas anuales.

Artículo 25. Calendario Laboral.

1. El calendario Laboral, se acordará en cada Gerencia con la Representación Unitaria durante el período comprendido entre el 15 de Noviembre y el 15 de diciembre de cada año, en función de las características y necesidades de cada centro. En aquella o aquellas Gerencias en que pasado este período no se hubiese llegado a acuerdo, la Dirección de Recursos Humanos en función de dichos criterios, elaborará los referidos calendarios, informando de forma preceptiva al Comité Intercentros.

2. Los calendarios tendrán una vigencia anual y serán objeto de la publicidad necesaria, en orden al general conocimiento por las trabajadoras y trabajadores de la Fundación.

Deben contener, al menos, los siguientes datos: distribución de la jornada laboral, horario de trabajo, vacaciones, turnos de personal y descansos, días festivos, así como todas aquellas circunstancias previsibles que puedan tener incidencia en la organización de la actividad y, consecuentemente, en el contenido de dicho calendario.

Artículo 26. Horario.

1. El horario de la jornada diaria y calendario, será fijado mediante el procedimiento descrito en el apartado primero del artículo anterior. Se establece en todo caso como horario de inicio de la actividad las 8 de la mañana.

Para el establecimiento de la jornada y calendario, se atenderán los siguientes criterios, siempre que el normal desarrollo de la actividad lo permita:

- La conciliación de la vida personal, familiar y laboral.

- Del 15 de junio al 15 de septiembre el horario será de jornada continua matinal.

2. Los turnos de trabajo establecidos conjuntamente con el horario y calendario anual, tendrán una duración anual salvo que las necesidades propias de la actividad aconsejaran lo contrario. No obstante, cualquier cambio de turno que se pueda originar motivado por otras razones que no sean las de necesidades de la propia actividad durante el año natural habrá de someterse a la negociación previa de la Representación Unitaria con la Gerencia o Dirección correspondiente.

Artículo 27. Horas extraordinarias.

1. Las partes firmantes acuerdan que las horas extraordinarias de producirse se reducirán al mínimo indispensable, no superando en ningún caso las 50 horas anuales.

2. La prestación de trabajos en horas extraordinarias será voluntaria, salvo aquellas destinadas a prevenir o reparar siniestros u otros daños extraordinarios y urgentes, sin perjuicio de su retribución como horas extraordinarias.

3. Las horas extraordinarias efectivas que fueran necesarias realizar por periodos punta y estas fueran imprevisibles, o que su no realización produzca grave quebranto en la actividad, serán solicitadas al propio trabajador o trabajadora de forma justificada por la persona Superior Jerárquica o Funcional de la Fundación, realizándose una estimación, de mutuo acuerdo entre el trabajador o trabajadora y la persona Superior Jerárquica o Funcional, del número de horas que se pudieran precisar para la ejecución de las tareas encomendadas que dan originen a la realización de dichas horas extraordinarias.

La persona superior Jerárquica o Funcional atendiendo criterios de necesidad de realización de las mismas, las autorizará y extenderá un parte de horas compensadas el día hábil siguiente al de la realización.

Dichas horas extraordinarias se compensarán con una hora de descanso por cada hora extraordinaria trabajada, dentro de los tres meses siguientes a su realización a elección del trabajador o trabajadora. Las horas extraordinarias se compensarán con dos horas de descanso por cada hora extraordinaria trabajada en el caso de que dichas horas extraordinarias se realicen en días festivos o no laborables, dentro de los tres meses siguientes a su realización a elección del trabajador o trabajadora.

Artículo 28. Vacaciones.

1. El régimen de vacaciones anuales retribuidas de todo el personal será de 22 días laborables.

2. Las vacaciones podrán disfrutarse preferentemente entre los meses de junio y septiembre, ambos inclusive, si bien el período ordinario normalizado será el mes de agosto.

3. Aquéllas personas que no lleven en la empresa el tiempo necesario para el disfrute pleno de este derecho les corresponderá la parte proporcional al tiempo realmente trabajado.

4. La retribución de vacaciones será la que se disfrute mensualmente.

5. El calendario de vacaciones estará confeccionado por la Dirección de la Fundación antes del 30 de mayo de cada año, salvo excepciones que atiendan a situaciones de necesidad de producción y al buen cumplimiento de la actividad.

6. En el caso que se produjese una situación de Incapacidad Temporal por contingencia común o profesional una vez comenzado el disfrute de las vacaciones, tal circunstancia no interrumpirá el período vacacional ni dará derecho a incremento del mismo, excepción hecha del permiso por maternidad o paternidad.

No obstante si alguna de las dos situaciones, enfermedad o accidente, originara un ingreso hospitalario fehacientemente justificado, éste interrumpiría el período vacacional hasta el alta hospitalaria, momento en el cual comenzaría a contar de nuevo el período de vacaciones.

Capítulo VII. Conciliación De La Vida Personal, Familiar Y Laboral

Artículo 29. Permisos, Licencias y Reducciones de Jornada por motivos familiares.

1. Todo el personal tiene derecho a permisos retribuidos en los casos que a continuación se especifican. Éstos han de ser solicitados con carácter previo y debidamente justificados tras su disfrute, salvo casos excepcionales debidamente acreditados.

a) Por matrimonio o unión de hecho: 15 días naturales a contar desde el día siguiente a la celebración del evento.

b) Por nacimiento, adopción o acogimiento de hijos e hijas: 2 días naturales.

c) Por matrimonio de un familiar en primer o segundo grado por consanguinidad: 1 día, el de la celebración.

d) Por hospitalización o enfermedad grave, intervención quirúrgica o fallecimiento de un o una familiar hasta el 2º grado de afinidad o consanguinidad: 2 días naturales, si se produce dentro de la localidad de residencia del trabajador o trabajadora y 4 días naturales si requiere un desplazamiento superior a 80 kilómetros.

e) Por el fallecimiento de padres/madres o hijos/hijas: 2 días laborables, si se produce dentro de la localidad de residencia de la persona trabajadora, y 4 días laborables si requiere un desplazamiento superior a 80 kilómetros.

f) Por traslado de domicilio habitual: 1 día natural si se produce dentro de la localidad, 2 días naturales si incluye desplazamiento de localidad, pero dentro de la misma provincia, y 3 días naturales si se produjera en distinta localidad perteneciente a distinta provincia.

g) Por el tiempo indispensable, para el cumplimiento de un deber de carácter público y personal, en los términos que recoge el artículo 37 del Estatuto de los Trabajadores.

h) Para realizar funciones sindicales o de representación en los términos establecidos legalmente o en este convenio.

i) Por el tiempo indispensable para la realización de exámenes prenatales y técnicas de preparación al parto, cuando éstos deban realizarse dentro de la jornada de trabajo.

j) Libre disposición: cuatro días para el año 2007 y seis días para el año 2008 y 2009. Estos serán considerados de trabajo efectivo; su disfrute se solicitará por escrito a la Gerencia o Dirección correspondiente con carácter previo y una antelación mínima de 72 horas. Estos días en ningún caso se podrán unir al período vacacional. En caso de concurrencia de varias personas en la solicitud de un mismo día la Gerencia o Dirección correspondiente velará por el adecuado mantenimiento del servicio.

2. Protección a la Maternidad.

- La empleada en estado de gestación tendrá derecho a que, por la dirección de Recursos Humanos y Evaluación de la Fundación o por la entidad de prevención correspondiente, se estudie si el trabajo que realiza puede afectar a su estado.

- En los casos de toxicidad, contagio, peligrosidad o penosidad, desde que se inicie el embarazo, se designará el puesto de trabajo y las funciones que puede desempeñar.

- Se establece un permiso por maternidad de 16 semanas.

Este permiso se ampliará dos semanas a partir del año 2008.

Asimismo, en caso de parto múltiple, o nacimiento, adopción o acogida de hijos o hijas con discapacidad el referido permiso se amplía en dos semanas más.

- Los trabajadores o trabajadoras por lactancia de un hijo o hija menor de 12 meses, tendrán derecho a una hora de ausencia del trabajo, que podrán dividir en dos fracciones. La mujer, por su voluntad, podrá sustituir este derecho por una reducción de jornada en 1 hora con esta misma finalidad o acumular dicho permiso a la baja por maternidad en jornadas laborales completas. Este derecho podrá ser ejercido por el padre o la madre, en caso de que ambos trabajen, y siempre que demuestren que no es utilizado por el otro progenitor o progenitora al mismo tiempo.

- En los casos de parto prematuro y en aquéllos en que, por cualquier otra causa, el neonato deba permanecer hospitalizado a continuación del parto, el periodo de suspensión podrá computarse, a instancia de la madre, o en su defecto del otro progenitor, a partir de la fecha del alta hospitalaria.

Se excluyen de dicho cómputo las seis semanas posteriores al parto, de suspensión obligatoria del contrato de la madre.

- Quienes por razón de guarda legal tengan a su cuidado un o una menor de ocho años en régimen de acogida o una persona con discapacidad física, psíquica o sensorial, que no desempeñe una actividad retribuida, tendrá derecho a una reducción de jornada hasta un máximo de un 50%, con una disminución máxima de un 33,33% de su salario.

Tendrán este mismo derecho quienes deban cuidar a un familiar hasta el 2º grado por consanguinidad o afinidad, que por razones de edad, accidente o enfermedad no pueda valerse por sí mismo y que no desempeñe actividad retribuida.

Si dos o más personas trabajadoras de la Fundación generasen este derecho por el mismo causante, las gerencias y/o direcciones correspondientes podrán limitar su ejercicio simultáneo por razones justificadas en el adecuado funcionamiento de la organización.

La Fundación y la Representación Unitaria manifiestan su compromiso de tomar como punto de referencia sobre la regulación de los distintos tipos de dependencia, en el presente convenio colectivo y en los sucesivos, la Ley 39/2006, de 14 de diciembre, de Promoción de la Autonomía Personal y Atención a las personas en situación de Dependencia, y la normativa de desarrollo.

- En lo no acordado en los párrafos anteriores, se aplicará lo dispuesto en la Ley 39/1999, de 5 de noviembre, para promover la conciliación de la vida familiar y laboral de las personas trabajadoras, la Ley 39/2006, de 14 de diciembre, de Promoción de la Autonomía Personal y Atención a las personas en situación de Dependencia, la Ley Orgánica 3/2007, de 22 de marzo, para la igualdad efectiva de mujeres y hombres, y la normativa de desarrollo.

3. Protección a la Paternidad.

El padre tendrá derecho al disfrute de un permiso de 13 días retribuidos. En caso de disfrute a tiempo parcial, por acuerdo con la Fundación, dicho permiso tendrá una duración total de 26 días.

4. El personal con un año consecutivo como mínimo de servicio, tendrá derecho, si las necesidades de la actividad lo permiten, a permisos sin retribución, con una duración mínima de 15 días en cada caso, siempre que su duración acumulada no exceda de tres meses cada dos años. Las licencias serán concedidas dentro del mes siguiente al de la solicitud.

Artículo 30. Excedencias.

1. Se concederá excedencia forzosa, que dará derecho a la conservación del puesto y al cómputo de la antigüedad de su vigencia, por la designación o elección para un cargo público que imposibilite la asistencia al trabajo.

2. Asimismo se concederá excedencia forzosa a los cargos electivos a nivel local, provincial, autonómico o estatal de organizaciones políticas o sindicales.

3. El reingreso deberá ser solicitado dentro del mes siguiente al cese en el cargo público o función sindical.

4. Se podrá conceder excedencia voluntaria a quienes con un año de servicio así lo soliciten. Ésta será por un plazo mínimo de 4 meses y no superior a cinco años, no computándose el tiempo que dure la situación a ningún efecto. Este derecho sólo podrá ser ejercitado otra vez por la misma persona si han transcurrido cuatro años desde el final de la anterior excedencia.

5. El reingreso deberá solicitarse por escrito, con antelación mínima de un mes a la terminación de la excedencia voluntaria.

6. En relación al reingreso, si no existiera vacante en el grupo profesional del trabajador o trabajadora, y sí en uno inferior, la persona excedente podrá ocupar esta plaza con el salario a ella correspondiente, hasta que se produzca una vacante en su grupo profesional o no reingresar hasta que se produzca dicha vacante.

7. Se tendrá derecho a excedencia por cuidados de familiares por un período no superior a 2 años para el cuidado de familiares que no puedan valerse por si mismos y no desempeñen actividad retribuida, hasta 2º grado de consanguinidad o afinidad, que dará derecho a la conservación del puesto y al cómputo de la antigüedad de su vigencia. El período de duración de esta excedencia podrá disfrutarse de forma fraccionada.

8. Se tendrá derecho a excedencia para atender el cuidado de cada hija o hijo, por un periodo no superior a 3 años, tanto cuando lo sea por naturaleza, como por adopción, o en los supuestos de acogimiento, tanto permanente como preadoptivo, aunque éstos sean provisionales, a contar desde la fecha de nacimiento o, en su caso, de la resolución judicial o administrativa. El período de duración de esta excedencia podrá disfrutarse de forma fraccionada.

Capítulo VIII. Formación Profesional

Artículo 31. Formación Continua

1. La Fundación, consciente de la importancia de la Formación Continua, máxime cuando la actividad principal de la misma comprende, entre otras cosas, la formación y cualificación de profesionales para dar respuesta a las demandas del mercado laboral, elaborará con el Comité Específico de Formación (de carácter paritario), cada año y tras realizar la detección de necesidades de formación del personal de la Fundación en el último trimestre del año, un Plan de Formación Continua a medida, seleccionando para ello a los proveedores de formación que ofrezcan mayor calidad en los servicios y un precio ajustado. Se articularán las medidas necesarias que permitan concurrir a las convocatorias anuales para solicitar subvenciones a este fin desde la Fundación Tripartita.

La Formación Continua se impartirá en un 50% en tiempo de trabajo y el otro 50% en tiempo libre del trabajador o de la trabajadora.

2. Una vez elaborado el Plan de Formación continua, la Fundación y el Comité Especifico de Formación, establecerán los criterios de selección de las personas participantes.

Artículo 32. Formación Profesional.

1. La Fundación reconoce el derecho de los trabajadores y las trabajadoras al disfrute de los permisos retribuidos necesarios para concurrir a exámenes finales o eliminatorios de materias para la obtención de un título académico o profesional oficial. Estos permisos retribuidos no podrán ser más de doce al año, ni más de tres durante el mismo período de tiempo para cada asignatura o bloque temático. Una misma asignatura o bloque temático de un mismo curso sólo generará este derecho durante tres años consecutivos. Dichos permisos sólo abarcarán el tiempo indispensable para la realización de la prueba, siempre que éste no pueda realizarse fuera del horario laboral. La utilización de estos permisos deberá ser preavisada con un mínimo de quince días.

La Fundación procurará igualmente, dentro de la medida de lo posible, proporcionar nuevos permisos retribuidos para la realización de otras pruebas para este mismo tipo de cursos que excedan de las reconocidas en el anterior párrafo.

2. La Fundación reconoce el derecho de las personas trabajadoras a adaptar la jornada de trabajo cuando se curse con regularidad estudios para la obtención de un título académico o profesional. Este derecho no deberá ser utilizado fraudulentamente, por lo que la dirección de Recursos Humanos podrá exigir al final del año académico o del mencionado curso, partes de asistencia a dichos cursos u otras pruebas que demuestren el aprovechamiento real del mismo.

3. Becas. El personal con más de un año de antigüedad podrá solicitar anualmente una asignación del 50% del coste de la matrícula de estudios reglados (Formación Superior y de  Postgrado). Estas dos ayudas tienen una serie de características y para adquirirlas hay que reunir una serie de requisitos:

- Se tratan o bien de becas de carrera, para obtener una diplomatura y/o licenciatura o bien de ayudas para estudios de postgrado, es decir de especialización después de haber cursado una licenciatura o diplomatura.

- Debe estar relacionado y ser beneficioso para el puesto de trabajo que desempeña la persona solicitante en la Fundación.

- Sólo se pagará el 50% del coste total del curso, una vez que se presente en la Dirección de Recursos Humanos justificante de haber abonado dicho curso, el programa de contenidos y una carta explicando la conveniencia de realizarlo.

- Se irán otorgando por orden de llegada de las solicitudes y siempre que cumplan todos los requisitos expuestos en los puntos anteriores hasta agotar el presupuesto aprobado.

- Una vez que se haya acabado el curso se deberá presentar en la Dirección de Recursos Humanos justificante de haber superado satisfactoriamente dicho curso.

El tope máximo que se abonará por cada solicitud de ayuda será de 2.200 €, para que puedan beneficiarse el mayor número de trabajadores y trabajadoras de la Fundación.

Capítulo IX. Salud Laboral Y Medio Ambiente

Artículo 33. Prevención de Riesgos Laborales.

1. La Fundación asume la obligación de garantizar la seguridad y salud de sus trabajadores y trabajadoras mediante el Servicio de Prevención Propio. La planificación y las medidas de actuación preventivas constituyen sus elementos básicos siendo responsabilidad del área de Recursos Humanos.

2. A estos efectos la dirección del Servicio de Prevención Propio realizará una planificación de la actividad preventiva mediante evaluaciones constantes de los posibles riesgos y una política preventiva integrada en todos los niveles funcionales de la organización.

3. La Fundación reconoce expresamente los derechos de información y formación y cuantos otros reconocen la Ley de Prevención de Riesgos Laborales y sus normas generales y específicas de desarrollo.

4. En toda esta actuación se contará con la participación de la representación legal de las trabajadoras y trabajadores, en virtud de lo establecido en la Ley 35/1995, de 8 de noviembre, y según los establecido con las facultades definidas en el artículo 36 de la citada Ley, el delegado o delegada de Personal o miembro de Comité de Empresa será la persona designada como Delegado o Delegada de Prevención, salvo acuerdo en contrario adoptado por la Comisión paritaria cumpliendo los requisitos de los arts. 87 y siguientes del Estatuto de los Trabajadores.

Artículo 34. Vigilancia de la Salud.

La Fundación dispone de un Servicio de Prevención Propio y ha concertado la Vigilancia de la Salud y la Higiene Industrial con la Mutua de Accidentes de Trabajo FREMAP.

En lo que respecta a la Vigilancia de la Salud y para dar respuesta a las obligaciones que emanan del art. 22 de la Ley 31/1995 de PRL, el contrato formalizado con FREMAP contempla la realización de distintos tipos de reconocimientos:

1. Reconocimiento Inicial por incorporación de personal nuevo: serán realizados en un plazo de 15 días desde la contratación y siempre que la duración de su contrato sea superior a 6 meses.

2. Reconocimiento periódico: serán realizados cada dos años y se realizarán de acuerdo a los protocolos específicos elaborados por el Grupo de Trabajo de Salud Laboral de la Comisión de Salud Pública del Consejo Interterritorial del Sistema Nacional de Salud.

En un primer momento, el colectivo objeto de este tipo de reconocimiento serán las personas usuarias de PVD y conductores y conductoras, de acuerdo al procedimiento correspondiente.

El personal restante, que a priori se inscribe en puestos de trabajo de los centros de formación especializada, serán reconocidos una vez que sean realizadas las Evaluaciones de Riesgos de sus centros de trabajo.

3. Reconocimiento por asignación de nuevas tareas: serán realizados cuando una persona cambie a un puesto de trabajo con nuevos riesgos.

4. Reconocimiento por baja prolongada: el servicio Médico de FREMAP citará a la persona al recibir el alta médica por Incapacidad Temporal por contingencia común o profesional, de una baja superior a dos meses o tres bajas reiteradas de corta duración en un período de dos meses.

5. Evaluación de la salud de las trabajadoras en situación de embarazo, parto reciente o lactancia siempre que las condiciones de trabajo puedan influir en la salud de la trabajadora o del feto.

En algunos casos, situación poco probable por la naturaleza de la actividad de la Fundación, las condiciones de trabajo pueden tener un efecto negativo sobre la salud de la mujer embarazada o el feto. Algunos casos que podrían darse son: manipulación de cargas, posturas forzadas, radiaciones (soldadura), estrés térmico («trabajo en la calle en meses de verano»), trabajos en altura (utilización de escaleras de mano).

En tales casos, la persona superior jerárquico y/o funcional deberá asignar a la trabajadora tareas exentas de tales riesgos, y se deberá comunicar al Servicio de Prevención las nuevas actividades que le han sido asignadas para controlar tales riesgo, con el objeto de que FREMAP valore la pertinencia o no de una exploración de salud.

6. Evaluación de la salud de aquellas personas trabajadoras especialmente sensibles a ciertos riesgos.

Este tipo de reconocimientos no va a ser frecuente, porque la naturaleza de los riesgos de la Fundación no es fácil que sean susceptibles de provocar una mayor probabilidad de ocurrencia de daño por determinadas características personales o estado biológico conocido, aunque se tengan en alta a trabajadores o trabajadoras que tienen reconocida alguna discapacidad física, psíquica o sensorial (referencia al art. 25.1 de la Ley 31/1995).

Artículo 35. Medio Ambiente (ISO 14001-2004).

A efectos de contribuir en la mejora del medio ambiente y en el respeto a la naturaleza, las partes firmantes acuerdan aplicar un sistema de aseguramiento de la norma UNE-EN-ISO 14001-2004, así como cuantas medidas corrijan usos que lesionen la salud laboral y el equilibrio ecológico.

Artículo 36. Seguro Colectivo.

1. Se acuerda la contratación de una póliza de seguros colectiva de accidentes/vida para la totalidad de las empleadas y empleados de la Fundación, renovable anualmente y con los capitales asegurados, según las siguientes cuantías para el año 2007:

Muerte natural: 30.900 €.

Invalidez absoluta y permanente derivada de enfermedad común: 30.900 €.

Muerte por accidente de trabajo: 37.080 €.

Invalidez absoluta y permanente por accidente de trabajo: 37.080 €.

Enfermedad profesional: 30.900 €.

Muerte por accidente de circulación: 37.080 €.

El incremento para los años 2008 y 2009, será el establecido en el artículo 21 del presente Convenio Colectivo.

2. A cada trabajadora y trabajador se le hará entrega del boletín de suscripción donde habrá de especificar a las personas beneficiarias de la póliza de seguros. De la misma forma se le hará entrega de una copia de la póliza de seguros.

3. La entrada en vigor de las pólizas contratadas se producirán a los 30 días a partir de la entrada en vigor del presente Convenio Colectivo, y durarán hasta tanto sea sustituido por el siguiente.

4. La Comisión Paritaria estudiará el proceso de implantación de una póliza de cobertura para los vehículos que complementen los riesgos derivados del uso de vehículos utilizados como herramientas de trabajo.

Artículo 37. Baja por Incapacidad temporal derivada de Enfermedad, Riesgo durante el embarazo o accidente.

1. En concepto de compensación económica derivada de las situaciones enunciadas, la Fundación completará las prestaciones económicas que perciba el personal afectado con cargo a la Seguridad Social o entidad aseguradora de accidentes de trabajo, en la cuantía necesaria para alcanzar la retribución total que hubiera percibido de encontrarse activo.

Es decir, se completarán las retribuciones salariales hasta alcanzar el 100% desde el primer día de la situación de Baja.

Esta circunstancia además de la obligación legal, determina que la entrega de los partes acreditativos de la situación de Baja se realice en el plazo de 72 horas y los partes de Alta en el plazo de 24 horas.

2. Las partes acuerdan a través del Comité Intercentros se articularán las medidas necesarias para mantener el absentismo en niveles razonables que permitan un alto grado de productividad. A este respecto el servicio de prevención propio junto con los delegados de prevención serán garantes del buen uso y hacer del complemento de Incapacidad Temporal, articulando cuantas medidas sean necesarias para tal fin, con la autorización expresa de la Fundación y de la Representación Unitaria.

Artículo 38. Ayuda Escolar y Guardería.

1. Se establece para las trabajadoras y trabajadores con mas de un año de antigüedad que tengan a su cargo hijas o hijos de 0 a 4 años, la posibilidad de solicitar una ayuda mensual de 30,90 euros, por cada hijo o hija que tengan a su cargo.

2. Se establece para las trabajadoras y trabajadores con mas de un año de antigüedad que tengan a su cargo hijas o hijos de 5 a 17 años, la posibilidad de solicitar una ayuda anual de 154,50 euros, por cada hijo o hija que tengan a su cargo.

Este concepto se abonará en la nómina correspondiente al mes de septiembre.

El incremento para los años 2008 y 2009, será el establecido en el artículo 21 del presente Convenio Colectivo.

Artículo 39. Acción Sindical en la Empresa.

1. El personal acogido al presente Convenio, no podrá ser despedido, sancionado, discriminado, ni causarle ningún tipo de perjuicio por razón de su afiliación o no, política o sindical, en el marco del pleno respeto a los derechos y libertades que la Constitución garantiza.

2. La Representación Unitaria ostenta la representación del conjunto de trabajadoras y trabajadores afectados por el presente Convenio, sin perjuicio de la representación que corresponde a las secciones sindicales, según la normativa laboral vigente, respecto de sus propios afiliados y afiliadas.

3. La Representación Unitaria dispondrá de 25 horas mensuales durante la vigencia del presente Convenio. En aquellas Gerencias y/o Direcciones correspondientes en que dicha Representación tenga derecho a un crédito horario superior, se estará a lo establecido en la legislación vigente. Quedan excluidas del crédito horario las que correspondan a reuniones convocadas por la Fundación, Negociación Colectiva, Comisión Paritaria, Comité Intercentros y citación de Organismos Oficiales.

4. De acuerdo con lo establecido en la Legislación Laboral vigente se le entregará a la Representación Unitaria, copia básica de los contratos que deban celebrarse.

5. Asimismo, la Representación Unitaria gozará de una protección que se extiende, desde el momento de la proclamación como candidato o candidata, hasta 24 meses después del cese en sus funciones como miembro de la referida Representación Unitaria.

6. Con el fin de facilitar la actividad de la Representación Unitaria, la Fundación facilitará una zona del centro desde la que informar a las empleadas y empleados, así como el derecho a reunión fuera de horas de trabajo y con la presencia de cargos sindicales, toda vez que lo comuniquen por escrito a la empresa previa visita al centro.

7. Se creará un Comité Intercentros para participar en representación de las trabajadoras y trabajadores en:

- El control y seguimiento de los objetivos económicos.

- Análisis de la política de empleo y formación interna.

- La regulación de la situación contractual del profesorado.

- La definición de los grupos profesionales y Escalas de Nivel.

- La realización de estudios y encuestas que permitan mejorar la conciliación de la vida personal familiar y laboral de las empleadas y empleados.

- Y en general la vigilancia de lo pactado en este convenio.

Este Comité Intercentros sustituye al creado en virtud del anterior Convenio Colectivo, se mantendrá hasta la firma del Convenio próximo y estará compuesto por un representante de las trabajadoras y trabajadores de cada Gerencia.

8. Se creará una Comisión Permanente que se podrá reunir para coordinarse entre los diferentes centros de trabajo con representación social.

9. La Fundación financiará las reuniones así como todos los gastos originados para la preparación, negociación y seguimiento del Convenio.

Capítulo XII. Régimen Disciplinario

Artículo 40. Normas generales.

1. Las faltas cometidas por el personal de la Fundación estarán clasificadas como: leves, graves y muy graves.

2. Estas infracciones o falta podrán ser sancionadas por la dirección de la Fundación, no siendo consideradas como tales, la negativa a ejecutar órdenes que clara, manifiesta y palmariamente vulneren lo establecido en el presente Convenio o supongan una infracción del mismo tipo de nuestro Ordenamiento Jurídico.

Artículo 41. Faltas leves.

Son faltas leves:

a) Las faltas de puntualidad, hasta tres días, dentro del mismo mes, sin causa justificada.

b) La no presentación en la Fundación del parte de baja por enfermedad, dentro del plazo de 72 horas, a no ser que se compruebe la imposibilidad de hacerlo.

c) La negligencia en la conservación de materiales, documentación, locales y demás bienes de la Fundación.

d) La incorrección leve con cualquier persona sea compañera, superior, subordinada y con el público o clientes.

e) Cualesquiera otras violaciones de las obligaciones laborales que no puedan considerarse graves o muy graves.

Artículo 42. Faltas graves.

Se considerarán faltas graves:

a) La reincidencia, en desobediencia, a lo ordenado por superiores, dentro de las atribuciones de su cargo.

b) La falta de asistencia, hasta dos días, dentro del mismo mes, sin causa justificada.

c) Las faltas notorias de respeto y consideración con cualquier persona sea compañera, superior subordinada y con el público o cliente.

d) El abuso de autoridad.

e) El abandono, sin causa justificada, del puesto de trabajo.

f) La simulación de enfermedad.

g) La inobservancia de medidas de seguridad que supongan un riesgo grave para él o ella o para otras compañeras y compañeros.

h) La reincidencia de tres faltas leves en seis meses.

i) El daño voluntario en la conservación de locales, materiales, documentos y otros bienes de la Fundación.

j) El incumplimiento voluntario del rendimiento laboral, legalmente exigible.

k) Cualquier otro incumplimiento que suponga un perjuicio grave para la Fundación, su patrimonio o la convivencia dentro de la misma.

Artículo 43. Faltas muy graves.

Se considerarán faltas muy graves:

a) La reincidencia en la comisión de faltas graves en seis meses.

b) La disminución voluntaria y continuada en el rendimiento laboral, legalmente exigible.

c) Las ofensas verbales o físicas a cualquier persona sea compañera, superior o subordinada o a familiares con los que éstas convivan.

d) La embriaguez habitual o toxicomanía siempre que repercutan en la actividad laboral, para sí o para otro/a.

e) El hurto o robo a los empleados y empleadas, a la Fundación o a clientes.

f) La reincidencia en el abuso de autoridad.

g) El acoso sexual o moral a superiores, a cualquier persona sea compañera, superior o subordinada, y la violación del derecho a la intimidad de las empleadas y empleados.

h) La obstaculización al ejercicio de libertades públicas o a los derechos sindicales, así como la adopción de acuerdos manifiestamente ilegales que causen perjuicio grave a la Fundación.

i) La violación de la buena fe.

j) El incumplimiento de las normas de seguridad y salud laboral causando un riesgo grave tanto para sí como para clientes o para otros compañeros y compañeras.

k) Cualquier otro incumplimiento que suponga un perjuicio muy grave para la Fundación, su patrimonio o la convivencia dentro de la misma.

Artículo 44. Régimen de sanciones.

Según la gravedad y circunstancias de las infracciones y faltas cometidas, las sanciones que podrán aplicarse, serán las siguientes:

a) Sanciones por faltas leves.

- Amonestación por escrito.

- Suspensión de empleo y sueldo de 1 a 5 días.

b) Sanciones por faltas graves.

- Suspensión de empleo y sueldo de 6 a 30 días.

c) Sanciones por faltas muy graves.

- Suspensión de empleo y sueldo de 31 a 90 días.

- Despido.

Artículo 45. Procedimiento sancionador

1. La dirección de la Fundación comunicará a la persona interesada y a solicitud de la misma a la representación legal de las trabajadoras y trabajadores cuando ello no sea directamente exigible en virtud de la normativa vigente, el Pliego de Cargos mediante nota interior, con expresión de los hechos imputados, falta cometida y posible sanción a aplicar.

2. A la vista del Pliego de Cargos, la persona interesada dispondrá de un plazo de 15 días para efectuar las alegaciones que considere oportunas y que pueden contribuir a su defensa.

3. Practicadas las pruebas y oídas las alegaciones de la persona interesada, la Dirección de Recursos Humanos, en el plazo de tres días hábiles, trasladará a la Dirección General Técnica de la Fundación una propuesta de resolución, en la que se hará constar los antecedentes, las declaraciones por escrito, tanto del trabajador o trabajadora como de las personas testigos, si las hubiere, graduación de la falta y sanción aplicable, así como copia del expediente instruido.

4. La Dirección General Técnica de la Fundación a la vista del expediente, impondrá la sanción correspondiente, la cual será comunicada al trabajador o trabajadora y a su representación legal.

Disposiciones Adicionales

Disposición Adicional I. Personal laboral del art. 1.2.

A) Para establecer la categoría profesional y las retribuciones del personal laboral sujeto a una consignación presupuestaria para el desarrollo de un convenio, acuerdo o programa de carácter extraordinario, la Fundación siempre respetará el principio de igualdad y no discriminación, y serán las siguientes:

1. La categoría profesional de este personal será determinada en función de las condiciones laborales y objeto de contrato establecidas en el convenio, acuerdo o programa de carácter extraordinario y dentro del ámbito de organización de trabajo establecido en el art. 8 del presente Convenio.

2. Las retribuciones salariales así como los gastos de seguros sociales y retenciones de IRPF deberán ajustarse a la consignación presupuestaria del convenio, acuerdo o programa.

B) Para el Personal Docente o Profesorado, serán las siguientes:

1. Las vías de Financiación que establecerán la retribución salarial serán las siguientes:

a) Subvenciones para la Formación Profesional Ocupacional (FPO).

b) Subvenciones para la Formación Continua (FORCEM).

c) Otras Subvenciones.

d) Contratación directa con clientes (Formación a medida a empresas).

2. La retribución del Personal Docente o profesorado sujeto a subvenciones, así como el personal sujeto a condiciones especificas del cliente, vendrá determinada por su regulación específica, que en el caso de contratación directa con clientes, el precio/hora del Personal Docente se establecerá según mercado.

3. Para disfrutar de las ayudas establecidas en el artículo 38 del presente convenio correspondientes a ayuda escolar y guardería, el personal docente o profesorado tendrá que acumular 12 meses o más de contrato efectivo y continuado en la Fundación.

4. El artículo 33 Vigilancia de la Salud, afectará sólo aquellas personas cuyo contrato tenga una duración estimada de, al menos, 6 meses.

Imagen