|
|
JUNTA DE ANDALUCÍA CONSEJERÍA DE EMPLEO Y DESARROLLO TECNOLÓGICO DELEGACIÓN PROVINCIAL SECCIÓN DE ORDENACIÓN LABORAL CÓRDOBA Núm. 3.612 Convenio Colectivo número 1.366 Código de Convenio: 14-0171-2
Visto el Texto del Convenio Colectivo suscrito con fecha 1 de abril de 2004, entre la representación legal de la “Empresa Provincial de Informática, S.A. (EPRINSA)” y sus trabajadores, con vigencia desde el día 1 de enero de 2004 hasta el día 31 de diciembre de 2007, y conformidad a lo establecido en el artículo 90 del Estatuto de los Trabajadores y en el Real Decreto 1.040/1981, de 22 de mayo sobre Registro y Depósito de Convenios Colectivos de Trabajo, esta Autoridad Laboral, sobre la base de las competencias atribuidas en el Real Decreto 4.043/1982, de 29 de diciembre, sobre Traspaso de Funciones y Servicios de la Administración del Estado a la Junta de Andalucía en materia de trabajo, el Decreto del Presidente de la Junta de Andalucía 6/2000, de 28 de abril, sobre reestructuración de Consejerías y el Decreto 244/2000, de 31 de mayo, por el que se regula la estructura orgánica de la Consejería de Empleo y Desarrollo Tecnológico. Acuerda Primero.- Ordenar su inscripción en el Registro correspondiente y su remisión para su depósito al Centro de Mediación, Arbitraje y Conciliación, con comunicación de ambos extremos a la Comisión Negociadora. Segundo.- Disponer su publicación en el BOLETÍN OFICIAL de la Provincia. Córdoba, 21 de abril de 2004.- El Delegado Provincial de Empleo y Desarrollo Tecnológico, Andrés Luque García.
ACTA DE REUNIÓN DE LA MESA NEGOCIADORA DEL V CONVENIO COLECTIVO DE EPRINSA
En la ciudad de Córdoba, siendo las 14´25 horas del 2 de febrero de 2004, se reúne la Mesa Negociadora del V Convenio Colectivo de EPRINSA, al objeto de celebrar sesión previamente convocada.
Asistentes:
En representación de la Empresa:
José María Muñoz Gavilán. Reyes Ruiz Camacho. Miguel Estrada Aguilera.
En representación del Comité de Empresa:
Miguel Cruz Santiago. Gregorio Carrascosa Hidalgo. María Dolores González Caballero.
Orden del día
1º.- Constitución de la Mesa Negociadora. Abierta la sesión se pasa a debatir los puntos incluidos en el Orden del Día. 1º.- Constitución de la Mesa Negociadora. Se acuerda la constitución de la Mesa con la siguiente composición:
En representación de la Empresa:
José María Muñoz Gavilán. Reyes Ruiz Camacho. Miguel Estrada Aguilera. Además podrá asistir a cualquiera de las reuniones la Presidenta, Claudia Zafra. El Abogado de la empresa podrá ser llamado cuando se necesite su asesoramiento legal.
En representación del Comité de Empresa:
Miguel Cruz Santiago. Gregorio Carrascosa Hidalgo. María Dolores González Caballero. Además podrán asistir los restantes miembros del Comité de Empresa a cualquiera de las reuniones que se consideren de especial interés, así como asesores de las distintas secciones sindicales para tratar temas puntuales. Se acuerda que la Secretaria sea María Dolores González Caballero. Se determina que para el día 10 de febrero, será la próxima reunión de la Mesa en la que la parte de la empresa entregará su plataforma al Comité, y a partir de ahí se establecerá un calendario de reuniones. El Comité manifiesta la conveniencia de celebrar dos reuniones semanales. Sin más asuntos que tratar, siendo las 14´35 horas, se da por finalizada la sesión.
ACTA DE LA FIRMA DEL V CONVENIO COLECTIVO DE EPRINSA
En Córdoba, a 1 de abril de 2004, en el domicilio social de EPRINSA, sito en Plaza Gonzalo Ayora, nº 4 A local. Se reúnen, de una parte y en nombre de la Empresa Provincial de Informática, S.A., la Presidenta del Consejo de Administración Dña. Claudia Zafra Mengual, D. José María Muñoz Gavilán y Dña. Reyes Ruiz Camacho. De otra, por la parte social, los miembros del Comité de Empresa D. Miguel Cruz Santiago, D. Gregorio Carrascosa Hidalgo y D. Antonio Javier Reixach Melero por CCOO, Dña. María Dolores González Caballero por UGT y D. Alfonso Javier Rincón Regalón por CSIF que conforman la totalidad del Comité de Empresa. Todos los comparecientes dan por finalizadas las negociaciones del V Convenio Colectivo que regulará las relaciones laborales entre EPRINSA y sus trabajadores, una vez aprobado por el Consejo de Administración en su reunión del 30 de marzo de 2004. Y a tal objeto, se procede por todos los anteriormente relacionados, a la firma del texto del referido Convenio Colectivo, redactado en 33 folios numerados del 1 al 33. Dicho Convenio se incorpora a esta Acta como Anexo 1. Se adopta por unanimidad de los asistentes los siguientes acuerdos: 1º.- Aprobar y firmar el Convenio Colectivo que regulará las relaciones entre la empresa EPRINSA y sus trabajadores, tal como está redactado en el Anexo 1 ya referido. 2º.- Solicitar al Iltmo. Sr. Delegado Provincial de la Consejería de Empleo y Desarrollo Tecnológico de la Junta de Andalucía que ordene la inscripción de dicho acuerdo en el Registro de Convenios de la Delegación que preside, su remisión para depósito del Centro de Mediación, Arbitraje y Conciliación, con notificación de ambos extremos a la Comisión Negociadora, a cuyo efecto se designa como domicilio para recibir notificaciones el de EPRINSA, sito en la Plaza de Gonzalo Ayora nº 4-A Local; así como disponer su publicación en el BOLETÍN OFICIAL de la Provincia. 3º.- Designar en este caso y autorizar al letrado D. Rafael Pérez Molina para que solicite de la autoridad laboral las mencionadas inscripción, remisión y publicación. Y para que conste, firma la presente en el lugar y fecha indicados en su encabezamiento.
V CONVENIO COLECTIVO DE EPRINSA 2004-2007
CONVENIO COLECTIVO QUE HA DE REGIR LAS RELACIONES ENTRE LA EMPRESA PROVINCIAL DE INFORMÁTICA, S.A. (EPRINSA) Y SUS TRABAJADORES/AS DURANTE 2004 A 2007.
Córdoba, 1 de abril de 2004.
Capítulo I. Disposiciones generales.
Artículo 1. Ámbito del Convenio.
1.1. Personal. Regulará las relaciones de todo el personal con la empresa, a excepción de quienes ejerciten poderes inherentes a la titularidad jurídica de la misma, por decisión empresarial, cuya relación será de carácter especial. 1.2. Territorial. El presente convenio afecta a todos los centros de trabajo que la empresa tenga o pueda tener. 1.3. Temporal. La vigencia temporal del presente convenio tendrá una duración desde el 1 de enero de 2004 al 31 de diciembre de 2007. 1.4. Prórroga y denuncia. Se prorrogará de año en año de no mediar denuncia de las partes con una antelación de dos meses. Una vez denunciado y hasta tanto no se logre un nuevo acuerdo, perderán vigencia sus cláusulas obligacionales. 1.5. En el supuesto de que la empresa inicie un expediente de regulación de plantilla, de despido colectivo, suspensión o extinción por causas tecnológicas, económicas o de cualquier otra índole se estará a lo dispuesto en el Estatuto de los Trabajadores, realizándose la citada regulación de mutuo acuerdo con el Comité de Empresa, teniendo especialmente en cuenta, como mérito valorable la antigüedad de cada trabajador, en conformidad con lo que estipule la legislación vigente.
Artículo 2. Cláusula de absorción y compensación.
Operará la compensación y absorción, cuando cualquier trabajador o grupo de trabajadores, en el momento de la entrada en vigor del convenio, disfrute de unas condiciones más favorables que las aquí previstas, en su conjunto y en cómputo anual.
Artículo 3. Unidad e indivisibilidad de las cláusulas del Convenio.
Este Convenio está conformado por un todo indivisible. Sus condiciones se aplicarán en su conjunto y globalmente, de manera que no se podrá invocar una cláusula, prescindiendo del resto.
Capítulo II. Régimen económico.
Artículo 4. Conceptos salariales.
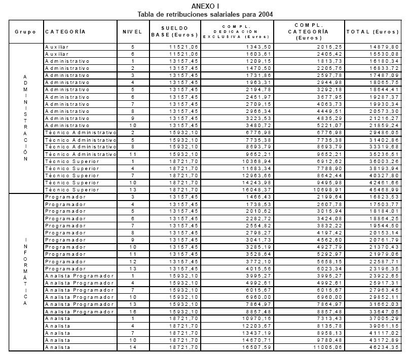
4.1. Los trabajadores de la empresa percibirán sus retribuciones en función de la tabla salarial que se incorpora como Anexo I, por los conceptos de sueldo base, dedicación exclusiva y complemento de categoría. 4.2. La revisión salarial para los años de vigencia del convenio será la del Índice de Precios al Consumo elaborado por el Instituto Nacional de Estadística y se aplicará a todos los conceptos salariales. 4.3. Los pluses, primas, las prestaciones médico-farmacéuticas, ayudas por familiar con minusvalía y las dietas y gastos de desplazamiento serán igualmente revisadas anualmente en dichos porcentajes. 4.4. Dedicación Exclusiva. El concepto «Dedicación exclusiva», será opcional. No obstante se presume que todo el personal está acogido al concepto dedicación exclusiva, por lo que aquel trabajador que desee hacer compatible otro trabajo o actividad remunerada, por cuenta ajena, con la desarrollada en la empresa, deberá solicitarlo por escrito a la gerencia, al objeto de obtener la autorización pertinente, siendo facultad de la gerencia el concederla o no, en atención a la compatibilidad o incompatibilidad del trabajo o actividad remunerada, por cuenta ajena, que se pretenda realizar, previo informe de una comisión designada por la empresa, de la que deberá formar parte un miembro del Comité de Empresa. La dedicación exclusiva implica no poder realizar ningún otro trabajo o actividad remunerada, por cuenta ajena distinta a la de la empresa y una disposición permanente para en caso de necesidad justificada, prestar servicios que eviten la producción de un perjuicio para la empresa, o que pretendan la reparación de un daño producido, tendente a la normalización de la actividad. 4.5. Promoción Económica. Cada trabajador percibirá en concepto de «Antigüedad», el cuatro por ciento de su sueldo base, por cada trienio devengado. Para aquellas categorías que les ha sido incrementado su Sueldo base, los trienios devengados hasta el 31 de diciembre de 1997 se incrementarán en los mismos términos que en los demás conceptos salariales. Los trienios que se devenguen a partir de 1 de enero de 1998 se calcularán en función de los nuevos sueldos base especificados en este Convenio. Las categorías (según la denominación del II Convenio de EPRINSA) afectadas en lo previsto en el apartado anterior son las siguientes: Operario y Responsable Mantenimiento, Auxiliar Gestión, Auxiliar Especializado, Administrativo Gestión, Oficial Gestión, Operadores y Programadores Sénior. 4.6. Gratificaciones Extraordinarias. Igualmente percibirá dos gratificaciones extraordinarias al año, en los meses de junio y diciembre, en las que se comprenderán el sueldo base, la antigüedad, el complemento de categoría y la dedicación exclusiva. 4.7. Pluses. a) Plus de nocturnidad. Se establece un Plus de Nocturnidad, del 45% del sueldo base, para los trabajos que se desarrollen entre las diez de la noche y las seis de la mañana. b) Plus de trabajo en festivos. Se establece un plus de trabajo en festivos, del 45% del sueldo base. Este plus es incompatible con el plus de disponibilidad del personal de sistemas y mantenimiento, así como con la percepción o compensación por horas extraordinarias. c) Plus de secretaria/o de Gerencia. Se establece un plus para el/la trabajador/a que preste el servicio de secretaria de la Gerencia, de 126,45 euros mensuales. d) Plus de disponibilidad de sistemas. Se establece un plus de disponibilidad del personal de sistemas, de 126,45 euros mensuales, para el personal que, designado por la Dirección de la Empresa, a propuesta del Jefe de Sistemas, desarrolle una especial disponibilidad de atención a los equipos informáticos, en el sentido de permanecer en disposición continua a flexibilizar su horario de trabajo según lo establecido en el artículo 18, punto 18.3, para aquellos casos que la dirección encuentre suficientemente justificados. e) Plus de disponibilidad puntual. Se establece un plus de localización del personal de informática, de 30 euros semanales, para el personal que, designado por la Dirección de la Empresa, a propuesta del Jefe de Sistemas, Desarrollo o Internet Multimedia, desarrolle una especial disponibilidad de atención a los equipos o aplicaciones informáticas, en el sentido de permanecer en disposición continua, a flexibilizar su horario de trabajo, de forma puntual (y cuando las circunstancias de la producción lo hagan necesario) y durante un período máximo de 1 semana, para aquellos casos que la dirección encuentre suficientemente justificados. El personal que se encuentre bajo el plus de disponibilidad de sistemas no puede adscribirse simultáneamente al plus de localización. f) Plus de disponibilidad de mantenimiento. Se establece un plus disponibilidad de 126,45 euros mensuales que será percibido por aquel personal que preste sus servicios en Mantenimiento, en base a su disposición continua a flexibilizar su horario de trabajo según lo establecido en el artículo 18, punto 18.3, con independencia de que el departamento de adscripción de este personal sea distinto de Sistemas. g) Plus de turno de tarde. Se establece un plus de turno de tarde de 71,17 euros por mes de trabajo efectivo, o en su caso, la parte proporcional que corresponda al tiempo trabajado. Los importes de todos los pluses anteriores corresponden al primer año de vigencia del presente Convenio.
Artículo 5. Dietas y gastos por desplazamiento.
5.1. Los trabajadores que por orden de la empresa hayan de desplazarse para realizar cualquier trabajo fuera de Córdoba Capital, percibirán las cantidades que se relacionan a continuación, en concepto de manutención y alojamiento. Las dietas por desplazamiento se percibirán tanto fuera como dentro de Córdoba Capital. 5.2. Manutención: a) Dieta completa: Se establece una indemnización a razón de 31 euros diarios en las comisiones de servicio dentro de la provincia de Córdoba y de 44,20 euros para otras provincias. Se percibirá cuando la salida se produzca antes de las 14 horas y el regreso después de las 22 horas. b) Media dieta: Se establece una indemnización a razón de 15,50 euros diarios en las comisiones de servicio dentro de la provincia de Córdoba y de 22,10 euros para otras provincias. Se percibirá cuando habiéndose producido la salida a lo largo de la mañana se produzca el regreso después de las 15 horas, o cuando habiéndose producido la salida después de las 15 horas, se regrese después de las 22 horas. c) En las comisiones de servicio dentro de la provincia, las dietas de manutención se devengarán previa presentación de la factura correspondiente, hasta los límites establecidos. 5.3. Desplazamiento: a) Se establece una indemnización por kilometraje a razón de 0,2376 euros/km., siempre que el desplazamiento se realice con vehículo propio. b) El desplazamiento habrá de realizarse con vehículo propio dentro de la provincia de Córdoba, siempre que éste transcurra por vías acondicionadas para el tráfico rodado. c) Se constituye un fondo de 3.000 euros anuales, destinado a sufragar las reparaciones de los daños que sufran los vehículos en accidentes durante el desplazamiento, siempre que se acrediten con el correspondiente atestado policial, o no siendo posible la obtención del mismo, quede debidamente demostrado y sin ningún género de dudas al respecto, que el suceso se ha producido durante dicho desplazamiento, que haya disponibilidad económica y que no exista una compañía de seguros responsable. Este fondo se revisará anualmente en función del IPC.
Artículo 6. Plus de asistencia.
6.1. Se establece un plus de asistencia con el fin de favorecer la asistencia al trabajo y reducir el índice de absentismo. 6.2. La aplicación efectiva del Plus de Asistencia será de la siguiente forma: a) Se establece como objetivo de absentismo semestral individual el 1,1% sobre el total de horas. b) Los conceptos a considerar en el anterior índice serán los siguientes: Visitas al médico, excepto los reconocimientos anuales, y los días de ausencia por enfermedad, (excluidas bajas por accidentes laborales). c) Los trabajadores que no superen el 1,1% semestral de absentismo percibirán el 100% del Plus en la cuantía que a continuación se determina, en dos pagos en los meses de junio y diciembre. d) Aquellos trabajadores, cuyo índice de absentismo individual semestral se encuentre entre el 1,1% y el 7%, percibirán el 50% del plus, siempre y cuando el índice de absentismo de la Empresa, por este mismo concepto, no supere el 2%. e) Aquellos trabajadores, cuyo índice de absentismo individual semestral supere el 7%, no tendrán derecho a percibir este plus. El cálculo del índice de absentismo de la Empresa no tendrá en cuenta el tiempo de absentismo, a partir del 7%, de estas personas. 6.3. El importe del Plus será único para todas las categorías y ascenderá a 182 euros semestrales. 6.4. El método de cómputo podrá ser modificado de común acuerdo con el Comité de Empresa durante la vigencia del convenio, una vez conocida su efectividad durante su aplicación en el primer año.
Capítulo III. Clasificación profesional.
Artículo 7. Categorías Profesionales.
7.1. Las categorías profesionales de la empresa son las que junto con los salarios correspondientes a cada una de ellas se relacionan en el Anexo I. No obstante, la empresa cuando las circunstancias lo aconsejen, podrá reestructurar los servicios, creando nuevas categorías profesionales. 7.2. Según consta en dicho Anexo I, dentro de cada categoría profesional, existen los niveles en él relacionados, a los que estará adscrito el personal, en función de la formación, experiencia, dedicación, capacitación, productividad y rendimiento en el desempeño del puesto de trabajo. Los niveles inferiores en Auxiliar Administrativo, Administrativo, Oficial de Mantenimiento y Programador que vayan quedando sin personal adscrito, por efecto de la aplicación del ajuste de categorías a que se refiere el punto 9.2, irán desapareciendo. La Empresa podrá establecer nuevos niveles superiores a los actualmente existentes en cada categoría.
Artículo 8. Grupos Profesionales.
8.1. Grupos profesionales: Se constituyen cuatro grupos profesionales en la empresa. Mantenimiento, Administración, Cartografía-Topografía e Informática. Se entiende por grupo profesional el que agrupe unilateralmente las aptitudes profesionales, titulaciones y contenido general de la prestación. Podrá incluir tanto diversas categorías profesionales como distintas funciones o especialidades profesionales. 8.2. Definición de categorías. Las funciones de cada categoría son las siguientes: 8.2.1. Grupo Mantenimiento. a) Oficial de Mantenimiento: Es el trabajador que, bajo la dirección de un superior, y conocimientos de electricidad, fontanería y mecánica en general, tiene a su cargo el cuidado, entretenimiento y buen funcionamiento en general de las máquinas e instalaciones existentes en el centro de trabajo. Será también su misión realizar las reparaciones posibles con los medios con que cuente la empresa, debiendo siempre buscar la mayor economía y rendimiento. De igual forma realizará funciones de carga y descarga, almacenamiento y control de inventario (Hardware y Software), clasificación de material, empaquetado, transporte de mercancías, conducción de vehículos, trabajos simples de reprografía, encuadernado, etiquetado de CD’s, instalaciones integrales de redes informáticas de voz/datos y repartidores de comunicaciones, coordinar y supervisar trabajos de empresas exteriores, controlar el sistema de alarmas y accesos a las sedes, funciones de plena competencia (estudio, informe, propuesta, gestión, coordinación y control) sobre el sector de Mantenimiento de la empresa, pudiendo tener a su cargo otros trabajadores, coordinar grupos organizados de trabajadores, y otras similares. 8.2.2. Grupo Cartografía-Topografía. a) Delineante de Cartografía-Topografía: Es el trabajador que con conocimientos básicos en el manejo–utilización de Cartografía topografía, (Estación total, GPS) y avanzados en herramientas CAD, auxilia al técnico de Cartografía-Topografía, tanto en el campo como en el gabinete, en todas las actividades relacionadas con: el mantenimiento, la actualización, el control de calidad y la distribución de nuestras bases cartográficas. También realizará trabajos de digitalización, escaneado, trazado etc., así como su participación activa en la formación impartida, atención a los distintos usuarios técnicos y demás tareas propias de su profesión. b) Técnico de Cartografía-Topografía: Es el trabajador que, bajo la dependencia directa de un superior, además de realizar las funciones descritas en la categoría anterior, desarrolla otras de plena competencia, como: Asesoramiento técnico, estudios, informes y demás trabajos relacionados con el entorno CAD, y las nuevas tecnologías aplicadas al territorio. También es el responsable de la formación impartida y de la copia de seguridad del Departamento, permitiendo un fácil acceso y uso de nuestros fondos cartográficos. Tiene a su cargo a delineantes de cartografía-topografía. c) Técnico Superior: Es el trabajador que con dependencia directa de la dirección de la empresa, tiene bajo su responsabilidad directa esta área de la actividad, realizando funciones de estudio, informe, propuesta, gestión, coordinación, control, asesoramiento y dirección. 8.2.3. Grupo Administración. a) Administrativo: Es el trabajador que, bajo la dirección de un superior, realiza funciones de carácter administrativo, contabilidad y otras similares no complejas, pudiendo elaborar propuestas de resolución de expedientes. Trabajos de archivo, atención al público, mensajería, telefonía, traslado de documentación y enseres, labores de secretaría, ensobrado, encuadernado, empaquetado, fotocopiado, escaneado y mecanografiado de documentos, mecanización de datos, información a proveedores y clientes (tanto personal como telefónica), gestión de almacén, registro de documentos, tramitación de expedientes, propuestas de resolución de expedientes simples, gestión de caja, envío y recepción de mercancías y documentación, elaboración de presupuestos y facturas a clientes, funciones de archivo de cartografía, escaneo, reproducción, digitalización, reprografía de planos, distribución cartográfica, actualización gráfica de los callejeros turísticos y mapas temáticos, gestión de programas especializados y gestión de cobros y pagos, teniendo iniciativa para resolver las dificultades que surjan en el desempeño de su cometido. Será necesaria la capacidad de manejo de aplicaciones informáticas de ofimática simples. Podrá tener a su cargo otros empleados, a los que dirigirá e instruirá en su labor. b) Técnico de Administración: Es el trabajador que, bajo la dependencia directa de un superior, realiza funciones de plena competencia (estudio, informe, propuesta, gestión, coordinación y control) sobre un sector de la actividad de la empresa o trabajos técnicos especializados. Puede tener a su cargo a otros empleados. c) Técnico Superior: Es el trabajador que bajo los criterios de dirección de la empresa, realizará funciones de estudio, informe, propuesta, asesoramiento, dirección y coordinación de nivel superior. 8.2.4. Grupo Informática. a) Programador: Es el trabajador cuya función consiste en desarrollar y mantener software con las herramientas cuyo empleo se haya decidido por la empresa y en cualquier entorno informático definido; soporte de sistemas y consultoría dentro de los niveles propios de su cualificación, así como el entretenimiento y atención de los sistemas informáticos, tanto a nivel central como periférico. En caso necesario, realizará asimismo el traslado del material informático sobre el que haya de realizar alguna actuación, así como la realización de análisis sencillos. Los programadores encuadrados en los niveles altos de esta categoría (12 y 13) serán los que, preferentemente, podrán asumir responsabilidades de coordinación de equipos, normalmente de forma temporal o en ausencia del superior encargado de ello. Aquellos programadores encargados de funciones formativas desarrollarán las siguientes funciones adicionales: Diseñar, impartir y evaluar el proceso formativo del curso ciñéndose a la materia impartida y colaborar en la realización de funciones de tutoría telefónica con el alumnado. Todo ello con arreglo a las instrucciones recibidas, y siendo responsables del buen uso que se haga de los equipos, máquinas y herramientas del aula o taller durante la impartición de los cursos. b) Analista-Programador: Es el trabajador que, además de desarrollar funciones de programador, desempeña funciones de análisis, estudio de soluciones informáticas y diseño. Realizará igualmente funciones de consultoría dentro de los niveles propios de su cualificación, pudiendo tener a su cargo otros empleados a los que dirigirá e instruirá en su labor. Aquellos analistas-programadores encargados de funciones formativas desarrollarán, además de las propias de los analistas-programadores con su mismo destino, las siguientes funciones: Coordinación con los distintos departamentos y organización del aula o taller. Todo ello bajo la dependencia directa de un superior. c) Analista: Es el trabajador que desempeña funciones de análisis, diseño y programación complejos, consultoría, estudio, informe, propuesta, asesoramiento, dirección y coordinación de nivel superior en el ámbito informático, siempre bajo los criterios de la Dirección de la empresa.
Capítulo IV. Selección y promoción del personal.
Artículo 9. Promoción de Personal.
9.1. La Empresa dispondrá del mecanismo de promoción interna como medida de estímulo, motivación e incentivación permanente de los trabajadores, favoreciendo la competitividad, el rendimiento, la autoformación y la responsabilidad como claves para la mejora constante de la eficiencia y productividad de la empresa, y por consiguiente su rentabilidad, así como la necesidad de ir cubriendo mediante promoción profesional las exigencias organizativas, y por tanto, de puestos con mayor responsabilidad, que vaya demandando la actividad de la empresa. 9.2. Al margen de lo anterior, se efectuará el ajuste de categorías recogido en el Anexo II a lo largo de la vigencia de este Convenio.
Artículo 10. Selección de Personal.
10.1. Cuando la empresa realice nuevas contrataciones, se llevarán a cabo con aplicación de los principios de publicidad, igualdad, mérito y capacidad. A tal efecto se constituirá un Tribunal de Selección de la que formará parte un miembro del Comité de Empresa, con los mismos derechos y obligaciones que el resto de los componentes. 10.2. Bolsa de Trabajo. Al finalizar cada proceso de selección, la dirección de la empresa podrá establecer la constitución de una bolsa de trabajo para atender sustituciones, trabajos extraordinarios, así como para cubrir las bajas y ampliaciones de plantilla que se puedan producir durante su vigencia. La bolsa de trabajo se regirá por un reglamento consensuado con el Comité de Empresa.
Capítulo V. Contratación temporal.
Artículo 11. Estabilidad en el Empleo.
La empresa se compromete a estudiar la posibilidad de que todo el personal que preste sus servicios en Eprinsa con contrato temporal, y con una antigüedad mínima de dos años, pueda adquirir la condición de fijo de plantilla.
Artículo 12. Período de prueba.
El acceso a la empresa en las ampliaciones de plantilla se realizará, cuando lo permita la legislación vigente, preferentemente mediante contrato temporal, que en su caso, derivará a relación laboral indefinida. Cuando no sea posible la contratación temporal, se establecerá un período de prueba de un año para todo el personal de nuevo ingreso en la empresa con contrato indefinido. Durante su transcurso, la resolución de la relación laboral podrá producirse a instancia de empresa o trabajador. La situación de incapacidad temporal interrumpe el período de prueba.
Capítulo VI. Organización del trabajo.
Artículo 13. Organización y racionalización del trabajo.
La organización general del trabajo en la Empresa, de acuerdo con las disposiciones legales vigentes, es facultad de la Gerencia de la misma, con sometimiento a las decisiones del Consejo de Administración, sin perjuicio de los derechos y facultades de audiencia e información reconocidos a los trabajadores en los artículos 40, 41 y 64.1 del R.D. Legislativo 1/1995, de 24 de marzo, en el presente Convenio, y en las demás normas o acuerdos de aplicación. Su racionalización tenderá siempre a la simplificación del trabajo y mejora de métodos y procesos, al establecimiento de la plantilla de personal y relación de puestos de trabajo concretos y a la mejora de las condiciones de prestación de los servicios y de los propios trabajadores.
Artículo 14. Mejora de la Competitividad.
14.1. Las partes firmantes de este Convenio reconocen la necesidad de conseguir una continuada mejora de la competitividad en todos los estamentos directos como indirectos del proceso productivo y alcanzar las máximas cotas de calidad total en todos los procesos de gestión, técnicos y administrativos, para conseguir un alto nivel de satisfacción de nuestros clientes. La Empresa aportará los medios necesarios para conseguir estos objetivos, mejorando su organización, efectuando las inversiones que económicamente sean justificables, así como cuantas medidas vayan encaminadas a su logro. Por su parte, los trabajadores aportarán sus ideas y su esfuerzo personal. Para dar cumplimiento a este artículo se articula el siguiente sistema de incentivos. 14.2. Sistema de incentivos. 14.2.a. Prima de coordinación de equipos: Se establece una prima de coordinación de equipos, de 600 euros anuales, a devengar trimestralmente, para aquellos trabajadores que, no siendo Jefes de Departamento, sean designados por la dirección de la empresa para la coordinación de equipos de personas en torno a una tarea o proyecto corporativo. Esta prima dejará de percibirse cuando el trabajador deje de ejercer dicha responsabilidad. 14.2.b. Prima de cumplimiento de objetivos: Se establece una prima de cumplimiento de objetivos, de 400 euros anuales por trabajador, que se abonarán anualmente, basada en un sistema fijado por la dirección de la empresa, en el que, con carácter anual, se marcarán unos objetivos concretos, medibles y alcanzables a cumplir por toda la empresa, así como la ponderación de cada uno de ellos. Por tanto, la prima será percibida siempre que se consiga el porcentaje de cumplimiento anual de cada objetivo, y en proporción al peso que le corresponda a cada uno de los mismos. Esta prima entrará en funcionamiento a partir del año 2005, empleando el 2004 para determinar los parámetros de partida. Su regulación práctica se recogerá en un reglamento, consensuado con el comité de empresa, en el que se determinará el mecanismo para acordar el número de objetivos y su contenido, sus parámetros de medida, porcentajes de cumplimiento y ponderación de cada objetivo. Este reglamento debe quedar aprobado antes de diciembre de 2004, en caso de que el reglamento no haya sido aprobado antes de esa fecha, la Presidencia de la Empresa dictará dicho Reglamento que habrá de ser ratificado por el Consejo de Administración.
Artículo 15. Afianzamiento de la calidad.
Las partes firmantes de este Convenio reconocen la importancia de alcanzar las máximas cotas de calidad en los procesos de gestión, técnicos y administrativos, para conseguir que el servicio final resultante tenga plenas garantías de competitividad y satisfacción de nuestros clientes. Todos los trabajadores de la Empresa son responsables de la calidad del trabajo que desarrollan. Es por ello que deberán utilizar los recursos disponibles, cumplir las normas, manuales y procedimientos de calidad establecidos, cada cual en función de su nivel de responsabilidad y con la formación e información adecuadas. Entre las responsabilidades que afectan a todos los trabajadores en la realización de sus respectivos trabajos en relación con el afianzamiento de la calidad, con independencia de las que pueda acordar en cada momento la empresa, son las siguientes: a) Comprobar, antes de iniciar el trabajo, que todos los materiales, herramientas, documentos y medios necesarios para la correcta realización del trabajo están disponibles y exentos de defectos que puedan perturbar el máximo nivel de calidad exigido. b) Cuando se detecte alguna anomalía en los medios disponibles, para la realización del trabajo en óptimas condiciones de calidad, se pondrá en conocimiento del jefe inmediato o persona con autoridad para subsanar las deficiencias detectadas. c) Realizar las operaciones de verificación o comprobación asignadas específicamente a su responsabilidad, utilizando los procedimientos, medios y demás documentación aplicable, así como cumplimentar y firmar los registros de calidad o identificación personal de los trabajos que necesiten este requisito. d) Sugerir a sus mandos inmediatos las medidas necesarias para evitar desviaciones en los objetivos marcados, o sobre aspectos mejorables en la calidad durante el desarrollo del trabajo encomendados.
Artículo 16. Movilidad funcional.
Se permite plenamente dentro del mismo grupo profesional. Así mismo será plenamente factible entre categorías equivalentes. Se entiende por categoría profesional equivalente, aquella cuyos conocimientos y experiencia profesional permite realizar las principales funciones de otra de la misma categoría y en la misma empresa, incluso aunque existiera necesidad de procesos simples de formación.
Artículo 17. Teletrabajo.
La Empresa podrá pactar a nivel individual con cada trabajador, la realización de funciones propias de la actividad fuera de sus instalaciones, mediante el sistema de teletrabajo, sin que tenga necesariamente que ser de aplicación en este supuesto lo establecido en el art. 18.1 de este Convenio Colectivo, y siempre que no contradiga la legislación laboral vigente. En caso de que la empresa considere necesario establecer un sistema de teletrabajo, de manera colectiva, para algún departamento o unidad organizativa de la misma, deberá negociar su regulación práctica con los representantes de los trabajadores.
Capítulo VII. Tiempo de trabajo.
Artículo 18. Jornada Laboral.
18.1. Jornada laboral. La jornada laboral queda establecida en 35 horas semanales, preferentemente en jornada continuada de 8 a 15 horas y de lunes a viernes, siempre a salvo de lo pactado en los arts. 4 y 19 de este Convenio. No obstante, la empresa cuando por criterios de organización así lo requiera, podrá establecer distintos turnos de trabajo o la jornada partida. 18.2. Horario flexible. Se flexibiliza el horario de la jornada laboral entre las 7´30 y las 9´00 horas para la entrada y desde las 14´30 y las 16´00 horas para la salida, teniendo que cumplir con el cómputo de horas semanales establecido, siempre que se garantice el funcionamiento normal de todos los grupos y departamentos entre las 8´00 y las 15´00 horas. La adhesión a cualquier tipo de horario por parte del trabajador tendrá que ser autorizada expresamente por la empresa, y puede ser modificada en función de las necesidades organizativas de la misma. La empresa se compromete a estudiar los casos de trabajadores con hijos en edad no superior a 10 años, que soliciten que su horario se amplíe hasta las 9´30 para la entrada y hasta las 16´30 para la salida, siempre y cuando acrediten que la entrada al colegio de sus hijos se produce entre las 9 y las 9´30 y las necesidades organizativas de la empresa no lo impidan. 18.3. Personal de los departamentos de Sistemas. El personal adscrito al departamento de Sistemas está excluido de la aplicación de este artículo, habida cuenta que aunque habitualmente realizará su jornada al igual que el resto del personal, en determinadas ocasiones, y por necesidades del servicio, habrá de realizar su jornada laboral en días distintos a los anteriormente indicados, en cuyo caso disfrutará sus correspondientes descansos en días diferentes de sábados y domingos, sin que por ello la empresa tenga que abonarle ninguna cantidad distinta de la abonada al resto del personal, ni en concepto de horas extraordinarias, puesto que siempre se trataría de la jornada ordinaria de 35 horas semanales, y ello sin perjuicio de que este personal perciba los pluses que le correspondan en virtud de lo establecido en el art. 4º, concretamente el plus de trabajo en festivos. 18.4. Desayuno. Todo el personal de la empresa disfrutará de un descanso durante su jornada de treinta minutos para desayuno, que se computarán como tiempo de trabajo efectivo.
Artículo 19. Horas Extraordinarias.
19.1. Queda prohibida la realización de horas extraordinarias por parte de los trabajadores, en consideración de la situación actual del desempleo y al objeto de fomentar la contratación en la Empresa, si la carga de trabajo lo hace necesario, con las excepciones siguientes: a) Horas extraordinarias por fuerza mayor: Serán aquellas que haya que realizar para evitar en los posibles siniestros, circunstancias o daños extraordinarios o averías ya producidas. b) Horas extraordinarias estructurales: Se consideran las que haya que realizar en períodos punta de producción, ausencias imprevistas de trabajadores u otras circunstancias de carácter estructural derivadas de la naturaleza del trabajo de que se trate. 19.2. No se tendrán en cuenta a efectos del cómputo como tales, ni a efectos de la duración máxima de la jornada ordinaria laboral, el exceso de las trabajadas para prevenir o reparar siniestros, averías u otros daños extraordinarios o urgentes, sin perjuicio de considerarlas como extras. Podrán realizarse incluso en período nocturno en los supuestos anteriores o en caso de actividades especiales debidamente justificadas. La empresa podrá optar entre abonar las horas extraordinarias al mismo valor de la ordinaria o compensarlas por tiempos equivalentes de descanso retribuido. Las realizadas desde las diez de la noche a las seis de la mañana o en festivos experimentan un incremento o compensación del 50% sobre el valor de la hora ordinaria, o el mismo incremento en tiempo efectivo, si la empresa optara por compensarlas con descanso.
Artículo 20. Permisos y licencias.
20.1. Los permisos establecidos en el art. 23.1.a) del Estatuto de los Trabajadores serán retribuidos. 20.2. Otros permisos: Además de los permisos contemplados en el art. 37.3 del RDL 1/95, de 24 de marzo, que aprueba el Texto Refundido de la Ley del Estatuto de los Trabajadores, todo trabajador de la empresa tendrá derecho: a) A un día de permiso retribuido (el de la celebración), para el supuesto que contraigan matrimonio civil o religioso, sólo los padres, hijos o hermanos. b) A un día de permiso retribuido por cambio de domicilio dentro de la misma localidad y a dos naturales, si el cambio se produce en localidad distinta. c) Se eleva a tres días naturales de permiso retribuido, el supuesto de nacimiento de hijo y fallecimiento de padres, cónyuge o pareja de hecho inscrita en registro municipal e hijos. Al menos uno de los días recogidos en este punto, habrá de ser laborable. d) Los trabajadores que cursen estudios oficiales podrán disfrutar de un día (el del examen) para concurrir a pruebas presenciales, hasta un máximo de cinco días al año, sin perjuicio del derecho que le reconoce el Estatuto de los Trabajadores al respecto. e) A cuatro días de asuntos propios. f) 15 días naturales en caso de inscripción como pareja de hecho en el registro municipal. g) A un día de permiso retribuido, por operación sin pernoctación de familiar hasta el segundo grado de consanguinidad. 20.3. Permisos por Navidad, Semana Santa y Feria de Mayo: Además del período vacacional anual, los trabajadores tendrán derecho a disfrutar, sin perjuicio de las fiestas nacionales autonómicas y locales, dos días de permiso en Navidad, un día en Semana Santa y un día en la Feria de Mayo, todo ello según el sistema de turnos que fije la empresa, en atención a sus necesidades. Los trabajadores podrán disfrutar el día de Feria de Mayo de Córdoba o la del pueblo de la provincia de residencia. A tal efecto la Dirección de Recursos Humanos, una vez aprobado el presente Convenio, abrirá un plazo para que los interesados expresen su elección. Hasta el 31 de diciembre de cada año, los trabajadores podrán comunicar el cambio de día de permiso a disfrutar. 20.4. Permisos recuperables: Se establece un período de 30 horas anuales de permiso que pueden ser solicitadas por los trabajadores, por intereses particulares, con un preaviso de 24 horas, y por un máximo diario de 5 horas. Una vez concedido será recuperable, en función de las necesidades de la empresa y en la fecha y modo que indique la dirección.
Artículo 21. Vacaciones.
21.1. El período anual de vacaciones de treinta días naturales será disfrutado a lo largo de todo el año (1 de enero a 31 de diciembre en turnos). El calendario estará elaborado antes del 1 de abril de cada año. Para la elaboración del calendario primará la organización del trabajo y las necesidades del servicio, por lo que en atención a dichas circunstancias podrá ser alterado. 21.2. El Plan de vacaciones se adecuará a lo siguiente: a) Período preferente: Las vacaciones deberán disfrutarse preferentemente en el mes de agosto. b) Períodos vacacionales: Las vacaciones anuales podrán disfrutarse en un sólo período, en dos períodos de 15 días o en cualquier otra fracción a elección del trabajador y condicionadas a las necesidades del servicio. Cuando las vacaciones se distribuyan en más de un período a lo largo del año, el trabajador tendrá derecho a disfrutar al menos 15 días de dichas vacaciones durante los meses de Julio y Agosto. Igualmente, y con el objetivo de facilitar la coordinación de los servicios, se procurará que los períodos vacacionales se inicien los días 1 y 16 de cada mes. c) Disfrute de las vacaciones. Las vacaciones deberán ser disfrutadas en el año natural. No obstante, si por necesidades de la Empresa y de conformidad con el trabajador, no se hubiesen disfrutado, se podrán disfrutar con posterioridad al 31 de diciembre. 21.3. Cuando el trabajador disfrute sus vacaciones en más de un período, se considerará el total de las mismas como de 22 días laborables a efectos de cómputo. 21.4. Las vacaciones se interrumpirán en caso de hospitalización del trabajador y mientras dure ésta, pudiendo disfrutar las mismas a continuación de producirse el alta y en todo caso dentro del año natural. 21.5. Se tendrá derecho al disfrute de las vacaciones tras el período de licencia por gestación, siempre que no se hayan disfrutado previamente y dentro del año natural. 21.6. Del período de vacaciones que corresponda a cada trabajador no pondrá en ningún caso descontarse los permisos o licencias que por otras causas se le concedan durante el año. 21.7. En ningún caso se podrá compensar el disfrute efectivo de las vacaciones, con retribuciones de cualquier tipo, con excepción de los trabajadores que cesen en la empresa en el transcurso del año.
Artículo 22. Licencias Extraordinarias.
22.1. El personal afectado por el presente convenio podrá disfrutar de licencias extraordinarias no retribuidas por un período de uno a tres meses. El trabajador que la obtenga no podrá solicitarla nuevamente hasta transcurrido un año desde la concesión de la anterior. Podrá dar por terminada la licencia antes del período para la que fue concedida. 22.2. El tiempo de duración de estas licencias no se computará a ningún efecto. 22.3. La concesión, que se realizará siempre que no afecte a la organización de la empresa y a la libre discreción de la empresa, se efectuará obligatoriamente por escrito dirigido al interesado, en el que se hará constar su nombre y apellidos, categoría, puesto de trabajo y fechas de comienzo y terminación de la licencia otorgada. 22.4. Al finalizar el permiso el trabajador se reintegrará automáticamente a la plaza que tuviera asignada, no siendo necesaria solicitud por su parte ni requerimiento de la empresa.
Artículo 23. Excedencias.
23.1. La excedencia podrá ser voluntaria o forzosa. La forzosa, que dará derecho a la conservación del puesto y al cómputo de la antigüedad de su vigencia, se concederá por la designación o elección para un cargo público que imposibilite la asistencia al trabajo. El reingreso deberá ser solicitado dentro del mes siguiente al cese en el cargo público. 23.2. El trabajador con al menos una antigüedad en la empresa de un año tiene derecho a que se le reconozca la posibilidad de situarse en excedencia voluntaria por un plazo no menor a dos años y no mayor a cinco. Este derecho sólo podrá ser ejercitado otra vez por el mismo trabajador si han transcurrido cuatro años desde el final de la anterior excedencia. 23.3. Los trabajadores tendrán derecho a un período de excedencia de duración no superior a tres años para atender al cuidado de cada hijo, tanto cuando lo sea por naturaleza, como por adopción, o en los supuestos de acogimiento, tanto permanente como preadoptivo, a contar desde la fecha de nacimiento o, en su caso, de la resolución judicial o administrativa. También tendrán derecho a un período de excedencia, de duración no superior a un año, los trabajadores para atender al cuidado de un familiar, hasta el segundo grado de consanguinidad o afinidad, que por razones de vejez, accidente, enfermedad o discapacidad no pueda valerse por sí mismo, y no desempeñe actividad retribuida. La excedencia contemplada en el presente apartado constituye un derecho individual de los trabajadores, hombres o mujeres. No obstante, si dos o más trabajadores de la misma empresa generasen este derecho por el mismo sujeto causante, el empresario podrá limitar su ejercicio simultáneo por razones justificadas de funcionamiento de la empresa. Cuando un nuevo sujeto causante diera derecho a un nuevo período de excedencia, el inicio de la misma dará fin al que, en su caso, se viniera disfrutando. El período en que el trabajador permanezca en situación de excedencia conforme a lo establecido en este apartado será computable a efectos de antigüedad y el trabajador tendrá derecho a la asistencia a cursos de formación profesional, a cuya participación deberá ser convocado por el empresario, especialmente con ocasión de su reincorporación. Durante el primer año tendrá derecho a la reserva de su puesto de trabajo. Transcurrido dicho plazo, la reserva quedará referida a un puesto de trabajo del mismo grupo profesional o categoría equivalente. 23.4. Asimismo podrán solicitar su paso a la situación de excedencia en la empresa los trabajadores que ejerzan funciones sindicales de ámbito provincial o superior mientras dure el ejercicio de su cargo representativo. 23.5. El trabajador excedente conserva sólo un derecho preferente al ingreso en las vacantes de igual o similar categoría a la suya que hubiera o se produjeran en la empresa. 23.6. La situación de excedencia podrá extenderse a otros supuestos colectivamente acordados, con el régimen y los efectos que allí se prevean.
Capítulo VIII. Acción social.
Artículo 24. Complemento en caso de baja.
En los supuestos de que un trabajador pase a la situación de Incapacidad Temporal derivada de enfermedad o accidente, durante el período en que permanezca en dicha situación, percibirá un complemento a cargo de la empresa hasta alcanzar el 100% de sus emolumentos, excluidos los conceptos extrasalariales. En los supuestos de baja/permiso por maternidad/paternidad y baja por riesgo en el embarazo en los que la prestación directa del INSS sea inferior a la retribución mensual del/la trabajador/a, se aplicará igualmente este complemento hasta alcanzar el 100% de sus emolumentos.
Artículo 25.- Prestaciones médico-farmacéuticas.
25.1. Los trabajadores tendrán derecho, junto con sus beneficiarios en materia de Seguridad Social, a las siguientes ayudas: 25.2. En la aplicación práctica de este artículo, habrá de tenerse en cuenta lo siguiente: a) En caso de que el peticionario solicite la adquisición de unas gafas y unas lentillas, se le concederá solamente una de ambas. b) En el supuesto de solicitar gafas de cerca y de lejos y bifocales, solo tendrá derecho el trabajador a percibir el importe que le corresponda por una de ellas. c) El trabajador, para graduarse la vista podrá acudir, bien a los facultativos de la Seguridad Social y/ o a cualquier facultativo u óptico titulado. d) Siempre se exigirá factura detallada y cuantificada, expedida por facultativo colegiado o establecimiento especializado. Para gafas, lentillas o cristales se deberá aportar copia del informe acreditativo de la necesidad de la misma, que podrá ser emitido por facultativo especialista o por especialista de establecimiento óptico. En el supuesto de facturas de radiografías, se deberán especificar y cuantificar separadamente de otras asistencias recibidas, y el trabajador percibirá el cincuenta por ciento. 25.3. Ningún/a trabajador/a podrá percibir más de 557 euros/ año en concepto de prestaciones médico-farmacéuticas. 25.4. La ocultación de datos, falsedad u omisión de la documentación requerida darán lugar a la denegación de la modalidad de ayuda solicitada o pérdida de la concedida, con la devolución, en este último caso, de las cantidades indebidamente percibidas, con independencia de las responsabilidades a que hubiera lugar.
Artículo 26. Otras mejoras sociales.
26.1. Bolsa de Estudios. Se crea una bolsa de estudios de 6.010.12 euros anuales, que serán aportadas por la empresa. A tal efecto y para determinar su destino y aplicación se constituirá una Comisión formada por iguales miembros designados por la empresa y Comité de Empresa. 26.2. Ayuda por hijos con minusvalía. Se establece una ayuda complementaria de 150 euros mensuales por hijo o tutelado con minusvalía en porcentaje superior al treinta por ciento, que se halle a cargo del trabajador y tenga reconocida legalmente dicha condición. 26.3. Anticipos reintegrables. Todo trabajador con contrato indefinido, tendrá derecho a disfrutar un anticipo de hasta dos mensualidades (sueldo base, antigüedad, complemento de categoría y dedicación exclusiva) a devolver en un período máximo de 14 meses, o hasta la finalización de la relación laboral, si ésta es inferior.
Artículo 27. Seguro de vida e invalidez.
27.1. La empresa se obliga a concertar un seguro de vida para que en el caso de que un trabajador durante su relación laboral fallezca en accidente de trabajo, sus herederos perciban una cantidad a tanto alzado de 24.040,48 euros. 27.2. En el caso de que sea declarado en situación de invalidez permanente total o absoluta derivada de accidente de trabajo, percibirá una cantidad a tanto alzado de 48.080.96 euros. 27.3. El pago de la prima de este seguro corresponde a la empresa.
Artículo 28. Defensa Jurídica.
Eprinsa facilitará defensa jurídica a todos aquellos trabajadores que sean atropellados, agredidos o denunciados por razón de su trabajo, en cuantas actuaciones judiciales pudieran producirse.
Capítulo IX. Derechos sindicales.
Artículo 29. Derechos y Garantías Sindicales.
29.1. Secciones sindicales. Se reconoce el derecho de las organizaciones sindicales con afiliación en la empresa a crear secciones sindicales, pudiendo por ello, los trabajadores afiliados a cada sindicato, elegir un delegado sindical, el cual tendrá las mismas garantías que los miembros del comité de empresa, todo ello de acuerdo con la legislación vigente. 29.2. Garantías. Los miembros del comité de empresa y los delegados sindicales tendrán las siguientes garantías: a) Apertura de expediente contradictorio en el supuesto de sanciones por faltas graves o muy graves, en el que serán oídos aparte del interesado, el comité de empresa. b) Prioridad de permanencia en la empresa o centro de trabajo, respecto de los demás trabajadores, en los supuestos de suspensión o extinción por causas tecnológicas o económicas. c) No ser despedido ni sancionado durante el ejercicio de sus funciones ni dentro del año siguiente a la expiración de su mandato, salvo en caso de que ésta se produzca por revocación o dimisión, siempre que el despido o sanción se base en la acción del trabajador en el ejercicio de su representación, sin perjuicio por tanto de lo establecido en el art. 54 del RDL 1/95, de 24 de marzo, que aprueba el Texto Refundido de la Ley del Estatuto de los Trabajadores. Asimismo no podrá ser discriminado en su promoción económica o profesional, en razón precisamente, del desempeño de su representación. d) Expresar colegiadamente con libertad, sus opiniones en las materias concernientes, pudiendo publicar y distribuir, sin perturbar el normal desenvolvimiento del trabajo, publicaciones de interés laboral o social, comunicándolo a la empresa. e) Disponer de un crédito de horas mensuales retribuidas y computadas anualmente, para el ejercicio de las funciones de representación, de acuerdo con la escala establecida en el art. 68 del RDL 1/95, de 24 de marzo, que aprueba el Texto Refundido de la Ley del Estatuto de los Trabajadores. Las horas podrán ser acumulables en uno o varios de los miembros del Comité y Delegados Sindicales, en los términos previstos en el último párrafo del citado precepto. En el supuesto que un miembro del Comité de Empresa también fuera Delegado Sindical éste acumularía las horas de ambos cargos.
Capítulo X. Seguridad y salud en el trabajo.
Artículo 30. Consideraciones Generales.
La normativa sobre prevención de riesgos generales, está constituida por la Ley 31/1995 de 8 de noviembre, de Prevención de Riesgos Laborales, así como por los RR.DD. que desarrollan la misma. De la normativa anteriormente especificada, entenderá y pondrá en práctica, el Comité de Seguridad y Salud, que será el órgano facultado para ello, con las excepciones reservadas a la Empresa, a los Delegados de Prevención y a la negociación colectiva.
Artículo 31. Designación de trabajadores para el desempeño de la Actividad Preventiva.
La empresa designará un trabajador al objeto de llevar a cabo las actividades de prevención, el cual dispondrá del tiempo necesario para ello, y gozará de las mismas garantías que la Ley aplica a los Delegados de Prevención, cuando la empresa lo estime conveniente, la designación del trabajador, podrá recaer en un Delegado de Prevención. La complementación de la labor preventiva en la empresa, se realizará con el Servicio de Prevención (Servicio Médico de Empresa) que la empresa estime oportuno.
Artículo 32. Vigilancia de la Salud.
La Empresa garantizará a los trabajadores a su servicio la vigilancia periódica de su estado de salud en función de los riesgos inherentes al trabajo previo consentimiento de los mismos. De este carácter voluntario sólo se exceptuarán, previo informe del Comité de Empresa, aquellos supuestos en los que la realización de los reconocimientos sea imprescindible para evaluar los efectos de las condiciones de trabajo sobre la salud de los trabajadores o para verificar si el estado de salud del trabajador puede constituir un peligro para el mismo, para los demás trabajadores o para otras personas relacionadas con la empresa o cuando así este establecido en una disposición legal en relación con la protección de riesgos específicos y actividades de especial peligrosidad. En caso de personal de nuevo ingreso, se exigirá un reconocimiento médico previo a la incorporación a la empresa. Los reconocimientos médicos se llevarán a cabo respetando siempre el derecho a la intimidad y a la dignidad de la persona del trabajador y la confidencialidad de toda la información relacionada con su estado de salud. Los resultados de los mismos serán comunicados a los trabajadores afectados. Los datos relativos a la vigilancia de la salud de los trabajadores no podrán ser usados con fines discriminatorios ni en perjuicio del trabajador. El acceso a la información médica de carácter personal se limitará al personal médico que realice el reconocimiento, sin que pueda facilitarse a la empresa o a otras personas sin consentimiento expreso del trabajador. No obstante lo anterior, la empresa y las personas u órganos con responsabilidades en materia preventiva serán informados de las conclusiones que se deriven de los reconocimientos efectuados en relación con la aptitud del trabajador para el desempeño del puesto de trabajo o con la necesidad de introducir o mejorar las medidas de protección y prevención, a fin de que puedan desarrollar correctamente sus funciones en materia preventiva. El reconocimiento médico anual se realizará mediante un diseño basado en el análisis de riesgos, bien sean éstos laborales o genéricos para una mejor protección de la salud y prevención de la enfermedad de todos los trabajadores. Dado el tipo de trabajo realizado en la empresa en la mayoría de los casos con Pantallas de Visualización de Datos (PVD), se realizarán reconocimientos médicos obligatorios para determinar la aptitud visual antes de ocupar el puesto de trabajo y cuando aparezcan trastornos que pudieran deberse a este tipo de trabajo, y el reconocimiento médico anual se realizará en función de los riesgos potenciales mediante las oportunas pruebas especificas. Por indicación del Servicio Médico, dicho reconocimiento podrá incluir un estudio oftalmológico especializado. A tenor de lo previsto en el art. 25 de la Ley de Prevención de Riesgos Laborales, por motivos de salud, previo informe en positivo del Servicio Médico y a solicitud del interesado, la empresa podrá proceder a cambios (provisionales o definitivos, según cada caso), en el puesto de trabajo, en razón de una disminución de la capacidad psico-física del trabajador.
Artículo 33. Trabajos en Pantallas de Visualización de Datos (PVD).
Dado el elevado grado de utilización de las PVD en la Empresa, se adoptarán las medidas necesarias para que la utilización por los trabajadores de equipos con pantallas de visualización no suponga riesgos para su seguridad o salud o, si ello no fuera posible, para que tales riesgos se reduzcan al mínimo. En cumplimiento del art. 3 del R.D. 488/1997, de 14 de abril, sobre disposiciones mínimas de seguridad y salud relativas a trabajos con PVD, la empresa deberá evaluar los riesgos para la seguridad y salud de los trabajadores, teniendo en cuenta en particular los posibles riesgos para la vista y los problemas físicos y de carga mental, así como el posible efecto añadido o combinado de los mismos. La evaluación se realizará tomando en consideración las características propias del puesto de trabajo y las exigencias de la tarea y entre éstas, especialmente, las siguientes: a) El tiempo promedio de utilización diaria del equipo. b) El tiempo máximo de atención continúa a la pantalla requerido por la tarea habitual. c) El grado de atención que exija dicha tarea. Si la evaluación pone de manifiesto que la utilización por los trabajadores de equipos con pantallas de visualización supone o puede suponer un riesgo para su seguridad o salud, la empresa adoptará las medidas técnicas u organizativas necesarias para eliminar o reducir el riesgo al mínimo posible. En particular, deberá reducir la duración máxima del trabajo continuado en pantalla, organizando la actividad diaria de forma que esta tarea se alterne con otras o estableciendo las pausas necesarias cuando la alternancia de tareas no sea posible o no baste para disminuir el riesgo suficientemente.
Capítulo XI. Comisión paritaria.
Artículo 34. Comisión Paritaria.
34.1. Se constituye una Comisión Paritaria, formada por tres miembros a designar por el Comité de Empresa y otros tres a designar por la Gerencia. 34.2. Su misión será: a) La interpretación del contenido normativo del Convenio, b) La mediación y conciliación en todo conflicto individual o colectivo que surja entre la empresa y sus trabajadores, siendo obligatorio como consecuencia de ello, que previamente a interponer cualquier reclamación individual o plural contra la empresa, o contra los trabajadores, se solicite la mediación y conciliación ante la Comisión Paritaria. 34.3. La Comisión Paritaria deberá reunirse al efecto en un plazo de siete días a partir de la petición de mediación y conciliación, que habrá de haber sido admitida por el Comité de Empresa o por la Dirección de la Empresa.
Capítulo XII. Régimen disciplinario.
Artículo 35. Principios de Ordenación.
35.1. Las presentes normas de régimen disciplinario persiguen el mantenimiento de la disciplina laboral, aspecto fundamental para la normal convivencia, ordenación técnica y organización de la empresa, así como para la garantía y defensa de los derechos e intereses legítimos de trabajadores y empresa. El régimen disciplinario se aplicará siempre con respeto a los principios de presunción de inocencia e indubio pro-operario. 35.2. Las faltas, siempre que sean constitutivas de un incumplimiento laboral culpable del trabajador, podrán ser sancionadas por la Dirección de la empresa de acuerdo con la graduación que se establece en el presente Capítulo. 35.3. Toda falta cometida por los trabajadores se clasificará en leve, grave o muy grave. 35.4. La falta, sea cual fuere su calificación, requerirá comunicación escrita y motivada de la empresa al trabajador y al Comité de Empresa. 35.5. Las faltas leves prescribirán a los diez días; las graves, a los veinte días, y las muy graves, a los sesenta días a partir de la fecha en que la empresa tuvo conocimiento de su comisión y, en todo caso, a los seis meses de haberse cometido. Dichos plazos quedarán interrumpidos por cualquier acto propio del expediente instruido en su caso.
Artículo 36. Graduación de faltas.
36.1. Faltas leves. Se considerarán como faltas leves: a) La impuntualidad no justificada en la entrada o en la salida del trabajo de tres a cinco ocasiones cometidas en el período de un mes. b) La inasistencia injustificada al trabajo de un día durante el período de un mes. c) La no comunicación con la antelación previa debida de la inasistencia al trabajo por causa justificada, salvo que se acreditase la imposibilidad de la notificación. d) El abandono del puesto de trabajo sin causa justificada siempre que ello no hubiera causado riesgo a la integridad de las personas o de las cosas, en cuyo caso podrá ser calificado, según la gravedad, como falta grave o muy grave. e) La desatención y falta de corrección acreditada en el trato con el público cuando no perjudiquen gravemente la imagen de la empresa. f) Los descuidos en la conservación del material que produzcan deterioros leves del mismo. g) La falta de aseo y limpieza personal cuando pueda afectar al proceso productivo o a la prestación del servicio, y siempre que, previamente, hubiere mediado la oportuna advertencia de la empresa. 36.2. Faltas graves. Se considerarán como faltas graves: a) La impuntualidad no justificada en la entrada o en la salida del trabajo de seis a nueve ocasiones en un mes. b) La simulación de enfermedad o accidente, sin perjuicio de lo previsto en la letra d) del número 3. c) La suplantación de otro trabajador, alterando los registros y controles de entrada y salida al trabajo. d) La desobediencia a las órdenes e instrucciones de trabajo, incluidas las relativas a las normas de seguridad e higiene, así como la imprudencia o negligencia en el trabajo, salvo que de ellas derivasen perjuicios graves a la empresa, causaren averías a las instalaciones, maquinarias y, en general, bienes de la empresa o comportasen riesgo de accidente para las personas, en cuyo caso serán consideradas como faltas muy graves. e) La falta de comunicación a la empresa de los desperfectos o anormalidades observados en los útiles, herramientas, vehículos y obras a su cargo, cuando de ello se hubiere derivado un perjuicio grave a la empresa. f) La realización de actividades particulares con el empleo de útiles, herramientas, maquinaria, vehículos y, en general, bienes de la empresa para los que no estuviere autorizado o para usos ajenos a los del trabajo encomendado. g) El quebrantamiento o la violación de secretos de obligada reserva que no produzca grave perjuicio para la empresa. h) La ejecución deficiente y voluntaria de los trabajos encomendados, siempre que de ello no se derivase perjuicio grave para las personas o las cosas. i) La disminución voluntaria del rendimiento normal en el trabajo de manera no repetida. j) Las ofensas de palabras proferidas o de obra cometidas contra las personas, dentro del centro de trabajo, cuando revistan acusada gravedad. k) La reincidencia en la comisión de tres faltas leves, aunque sea de distinta naturaleza ó 2 dos faltas leves de igual naturaleza, siempre que hubiere mediado sanción distinta de la amonestación verbal, en el trimestre último. 36.3. Faltas muy graves. Se considerarán como faltas muy graves: a) La impuntualidad no justificada en la entrada o en la salida del trabajo en más de 9 ocasiones durante el período de un mes. b) La inasistencia injustificada al trabajo durante 3 días consecutivos durante un período de un mes. c) El fraude, deslealtad o abuso de confianza hacia la empresa, o en las gestiones encomendadas, o la apropiación, hurto o robo de bienes propiedad de la empresa, de compañeros o de cualesquiera otras personas dentro de las dependencias de la empresa. d) La simulación de enfermedad o accidente o la prolongación de la baja por enfermedad o accidente con la finalidad de realizar cualquier trabajo por cuenta propia o ajena. e) El quebrantamiento o violación de secretos de obligada reserva que produzca grave perjuicio para la empresa. f) La embriaguez habitual o toxicomanía si repercute negativamente en el trabajo, siempre que el trabajador no se someta a procedimientos rehabilitadores. g) La realización de actividades que impliquen competencia desleal a la empresa. h) La disminución voluntaria y continuada en el rendimiento del trabajo normal o pactado. i) La inobservancia de los servicios de mantenimiento en caso de huelga. j) El abuso de autoridad ejercido por quienes desempeñan funciones de mando. k) Las conductas graves vejatorias y ofensivas que atenten contra la dignidad, creencia o sexualidad de las personas. l) La reiterada no utilización de los elementos de protección en materia de seguridad e higiene, debidamente advertida. ll) Las derivadas de los apartados 1.d) y 2), l) y m) del presente artículo, cuando el abandono hubiese causado riesgo a la integridad de las personas o de las cosas, cuando de la ejecución deficiente se derivase perjuicio grave para las personas o las cosas, y cuando las ofensas, ya sean de palabra o de obra, revistan acusada gravedad. n) Toda actuación que suponga discriminación por razón de raza, sexo, religión, lengua, opinión, lugar de nacimiento, vecindad o cualquier otra condición o circunstancia personal o social. m) La reincidencia o reiteración en la comisión de faltas graves, considerando como tal aquella situación en la que, con anterioridad al momento de la comisión del hecho, el trabajador hubiese sido sancionado dos o más veces por faltas graves, aun de distinta naturaleza, durante el período de un año.
Artículo 37. Sanciones.
37.1. Las sanciones máximas que podrán imponerse por la comisión de faltas enumeradas en el artículo anterior son las siguientes: a) Por falta leve: Amonestación verbal o escrita y suspensión de empleo y sueldo de un día. b) Por falta grave: Suspensión de empleo y sueldo, de dos a quince días. c) Por falta muy grave: Suspensión de empleo y sueldo de dieciséis días a tres meses. Y despido disciplinario. 37.2. En la aplicación de estas sanciones se atenderá al mayor o menor grado de responsabilidad del que cometa la falta y la repercusión del hecho en los demás trabajadores y en la Empresa.
Artículo 38. Procedimiento sancionador.
38.1. Para la imposición de una sanción por falta leve, no se requerirá la instrucción de expediente disciplinario, y será preciso que exista previamente una propuesta motivada. De dicha propuesta se dará traslado al trabajador o trabajadores afectados y al Comité de Empresa, para que en el término de dos días formulen las alegaciones que estimen convenientes. Concluido el trámite anterior, la Dirección de la empresa dictará la resolución que proceda, en el plazo máximo de un mes, debiendo comunicarla por escrito al trabajador o trabajadores afectados y al Comité de Empresa. 38.2. Será preceptivo expediente disciplinario contradictorio para la imposición de cualquier tipo de sanción por falta grave o muy grave. No obstante la empresa podrá, en casos excepcionales, adoptar las medidas cautelares que estime oportunas. 38.2. a) El expediente se iniciará por orden de la Gerencia cuando se tuviera conocimiento por cualquier medio de la concurrencia de hechos que pudieran ser constitutivos de falta. b) Acordada la apertura del expediente, se iniciará la instrucción del mismo por parte de la Dirección de Recursos Humanos que concluirá con la propuesta de archivo del mismo o la elaboración de un Pliego de cargos que contendrá necesariamente lo siguiente: - Persona imputada. - Descripción clara y precisa de los hechos que se imputan y la fecha de su comisión. - Calificación provisional de los hechos como falta grave o muy grave. - Plazo de alegaciones y propuesta de pruebas. Este plazo será de cinco días para las faltas graves y diez para las muy graves. c) Notificación del Pliego de cargos al interesado, Comité de Empresa y Delegados Sindicales, para alegaciones y propuesta de pruebas que se estimen pertinentes. d) Transcurrido el plazo de alegaciones, de haberse propuesto medios de prueba y entenderse necesaria su práctica, se abrirá un plazo de cinco días para su realización. e) Concluida la fase de instrucción se elaborará informe por la Dirección de Recursos Humanos dirigido a la Gerencia, conteniendo los hechos que se consideren probados, su calificación, normas legales aplicadas y las demás circunstancias que se consideren necesarias para la determinación de la sanción correspondiente. f) La Gerencia elaborará la propuesta de resolución del expediente que se someterá a la aprobación del órgano competente de acuerdo con las determinaciones de los Estatutos Sociales. g) La resolución del expediente se notificará al interesado, Comité de Empresa y Delegados Sindicales. h) A petición fundada de los interesados, podrá acordarse por la Gerencia la ampliación de los plazos señalados anteriormente. 38.3. a) La tramitación del expediente disciplinario interrumpe la prescripción de las faltas. b) La denegación de la práctica de pruebas deberá motivarse en el expediente. c) El Comité de Empresa tendrá acceso al expediente en cualquier momento. d) Los expedientes deberán resolverse en el plazo máximo de un mes para faltas graves, y tres meses para las muy graves, siempre desde su apertura. De no hacerse así quedarán sobreseídos. e) Los plazos de días a que se hace referencia en el presente artículo corresponden a días hábiles.
.jpg)
.jpg)
.jpg)
.jpg)
.jpg)
|